Fiche de mathématiques
> >

BTS SIO Métropole 2014

Epreuve facultative

Partager :

Durée 2 heures

Coefficient 2

BTS SIO Facultatif Métropole 2014 et son corrigé : image 5

BTS SIO Facultatif Métropole 2014 et son corrigé : image 4

BTS SIO Facultatif Métropole 2014 et son corrigé : image 1

BTS SIO Facultatif Métropole 2014 et son corrigé : image 2

BTS SIO Facultatif Métropole 2014 et son corrigé : image 3





Elements de correction

Partager :
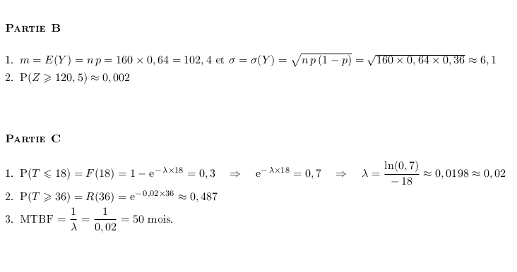
BTS SIO Facultatif Métropole 2014 et son corrigé : image 8

BTS SIO Facultatif Métropole 2014 et son corrigé : image 6

BTS SIO Facultatif Métropole 2014 et son corrigé : image 7
Publié le
ceci n'est qu'un extrait
Pour visualiser la totalité des cours vous devez vous inscrire / connecter (GRATUIT)
Inscription Gratuite se connecter
Merci à
matheuxmatou
/
malou Webmaster
pour avoir contribué à l'élaboration de cette fiche


Vous devez être membre accéder à ce service...

Pas encore inscrit ?

1 compte par personne, multi-compte interdit !

Ou identifiez-vous :


Rester sur la page

Inscription gratuite

Fiches en rapport

parmi 1760 fiches de maths

Désolé, votre version d'Internet Explorer est plus que périmée ! Merci de le mettre à jour ou de télécharger Firefox ou Google Chrome pour utiliser le site. Votre ordinateur vous remerciera !