Fiche de mathématiques
> >

Produit scalaire

Cinq exercices simples pour commencer

Partager :
5 exercices pour débuter produit scalaire : image 7

5 exercices pour débuter produit scalaire : image 9

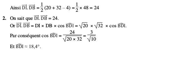
5 exercices pour débuter produit scalaire : image 12

5 exercices pour débuter produit scalaire : image 11






5 exercices pour débuter produit scalaire : image 10

5 exercices pour débuter produit scalaire : image 13

5 exercices pour débuter produit scalaire : image 1

5 exercices pour débuter produit scalaire : image 5

5 exercices pour débuter produit scalaire : image 2

5 exercices pour débuter produit scalaire : image 3

5 exercices pour débuter produit scalaire : image 4

5 exercices pour débuter produit scalaire : image 8

Publié le
ceci n'est qu'un extrait
Pour visualiser la totalité des cours vous devez vous inscrire / connecter (GRATUIT)
Inscription Gratuite se connecter
Merci à
malou Webmaster
pour avoir contribué à l'élaboration de cette fiche



Mentions légales - Retrouvez cette page sur l'île des mathématiques
© digiSchool 2026

Vous devez être membre accéder à ce service...

Pas encore inscrit ?

1 compte par personne, multi-compte interdit !

Ou identifiez-vous :


Rester sur la page

Inscription gratuite

Fiches en rapport

parmi 1768 fiches de maths

Désolé, votre version d'Internet Explorer est plus que périmée ! Merci de le mettre à jour ou de télécharger Firefox ou Google Chrome pour utiliser le site. Votre ordinateur vous remerciera !