Fiche de mathématiques
> >

DNB 2025 Amérique du Nord

Mathématiques

Partager :


Durée : 2 heures


DNB 2025 Amérique du Nord : image 8


20 points

exercice 1

DNB 2025 Amérique du Nord : image 10

DNB 2025 Amérique du Nord : image 14


20 points

exercice 2

DNB 2025 Amérique du Nord : image 13

DNB 2025 Amérique du Nord : image 11


20 points

exercice 3

DNB 2025 Amérique du Nord : image 7

DNB 2025 Amérique du Nord : image 4


20 points

exercice 4

DNB 2025 Amérique du Nord : image 9

DNB 2025 Amérique du Nord : image 3


20 points

exercice 5

DNB 2025 Amérique du Nord : image 12

DNB 2025 Amérique du Nord : image 15

DNB 2025 Amérique du Nord : image 2

DNB 2025 Amérique du Nord : image 5

DNB 2025 Amérique du Nord : image 6

DNB 2025 Amérique du Nord : image 1






DNB 2025 Amérique du Nord

Mathématiques

Partager :


20 points

exercice 1



 \bullet {\white w}  Situation 1

On a 20 boules vertes sur un total de 40 boules, toutes indiscernables au toucher. On est en situation d'équiprobabilité.

La probabilité est égale à  P=\dfrac{20}{40}=\dfrac 12 .

 \bullet {\white w}  Situation 2

 1050=2\times 3\times 5^2\times 7 

 \bullet {\white w}  Situation 3

Une augmentation de  14\%  correspond à un coefficient multiplicateur de  1,14 .

L'article après augmentation va donc coûter :  25\times 1,14=28,50  euros.

 \bullet {\white w}  Situation 4

Le coefficient d'agrandissement est de  2,5 .

Les aires vont être multipliées par  2,5^2 .

l'aire du polygone 2 est égale à :  7,5\times 2,5^2=46,875\text{ cm}^2 .

 \bullet {\white w}  Situation 5

DNB 2025 Amérique du Nord : image 20


a.   La moyenne des tailles des élèves est égale à :

 \overline m = \dfrac{152\times 2+157\times 4+160\times 2+162\times 5+165\times 2+170\times 4+174\times 6+180\times 5}{2+4+2+5+2+4+6+5}=167,2 

b.   L'effectif total est de  30    élèves.

 30  est un nombre pair. La médiane va être la moyenne entre la 15e et la 16e valeur. La 15e valeur est 165, la 16e valeur est 170.

La médiane est égale à :  m=\dfrac{165+170}{2}=167,5 .

20 points

exercice 2



DNB 2025 Amérique du Nord : image 19


1.   Le triangle ABC est rectangle au point B ; l'hypoténuse est donc  [AC]. 

D'après le théorème de Pythagore, on a :  AC^2=AB^2+BC^2 .

On en déduit :  AB^2=AC^2-BC^2  soit  AB=50^2-30^2=2~500-900=1~600 

Une distance étant un nombre positif, on en déduit que :  AB=\sqrt{1~600}=40\text{ m.} 

2.   Les droites  (DE)  et  (BC)  sont toutes deux perpendiculaires à la même droite  (EB) . Elles sont donc parallèles entre-elles, et  (DE) // (BC) .

3.   Considérons les triangles  ADE  et  ABC .

Les points  E, A, B  d'une part et  D, A, C  sont alignés dans le même ordre.

De plus  (DE) // (BC) .

D'après le théorème de Thalès, appliqué dans une configuration papillon, on a :

 \dfrac{AE}{AB}=\dfrac{AD}{AC}=\dfrac{DE}{BC} 

On en déduit :  \dfrac{AD}{AC}=\dfrac{DE}{BC}  soit  \dfrac{70}{50}=\dfrac{DE}{30} .

Faisons un produit en croix :  70\times 30=50\times DE  soit en divisant les deux membres par  50 ,

 DE=\dfrac{70\times 30}{50}=42\text{ m.} 

4.   Calculons la longueur  EM  dans le triangle  EMD. 

Le triangle  EMD   est rectangle en  E . On connaît l'angle  \widehat M  et la longueur opposée à cet angle.

Utilisons la tangente de l'angle  \widehat M .

 \tan \left(\widehat{EMD}\right)=\dfrac{DE}{EM}  soit  \tan (60^\circ) =\dfrac{42}{EM} .

On en déduit :  EM=\dfrac{42}{\tan (60^°)}\approx 24,2\text{ m.} 

5.   Calculons l'aire du triangle  AMD  .

On ne connaît pas la longueur de la base  [AM]  relative à la hauteur  [ED]. 

Calculons la longueur  EA  en reprenant les résultats de la question 3. 

 \dfrac{AE}{AB}=\dfrac{AD}{AC}=\dfrac{DE}{BC} 

On en déduit que :  \dfrac{AE}{AB}=\dfrac{AD}{AC}  ce qui donne :  \dfrac{AE}{40}=\dfrac{70}{50} . Par un produit en croix, on obtient :  AE=\dfrac {40\times 70}{50}=\dfrac{2~800}{50}=56 \text{ m.} 

On sait que  EM\approx 24,2\text{ m.} 

Or :  AM=EA-EM\approx 56-24,2  soit  AM\approx 31,8\text{ m.} 

L'aire du triangle  AMD  est égale à :  \mathcal A=\dfrac{AM\times ED}{2}  ; remplaçons :

 \mathcal A\approx \dfrac{31,8\times 42}{2}  soit environ  667,8\text{ m}^2\,. 

20 points

exercice 3



On considère les deux programmes de calcul suivants :

DNB 2025 Amérique du Nord : image 18


1.   On utilise le programme A. Le nombre choisi est  4 . On le multiplie par  3  , on trouve  12 . On ajoute  15 , on trouve  27  ;

on divise le résultat par  3 , on trouve  9  et enfin, on soustrait le nombre départ qui était  4 , on obtient  5 .

2.   On utilise à nouveau le programme A.

Le nombre choisi est maintenant  -2 . On le multiplie par  3 , on trouve  -6 . On ajoute  15 , on trouve  9  ; on divise ce résultat par  3 , on trouve  3  et enfin on soustrait le nombre de départ qui était  -2 , on obtient  3-(-2)=5 .

3.   Montrons que le programme A donne toujours le même résultat.

Pour cela, on appelle  x  le nombre choisi au départ.

On mulitplie  x  par  3 , cela donne  x\times 3  qui peut encore s'écrire  3x . Ajoutons  15 , cela donne  3x+15 .

Divisons par  3 , cela donne  x+5 .

Retranchons le nombre de départ qui était  x , cela donne  (x+5)-x=5 .

Conclusion : le programme de calcul A donne toujours le même résultat qui est le nombre  5 .

4.   On utilise le programme B.

Le nombre choisi est  10 . Si je soustrais  1 , j'obtiens  9  ; et si je soustrais  6  au nombre de départ j'obtiens  4 .

On multiplie ces deux résultats, cela donne :  9\times 4=36 . On ajoute  5 , cela donne  36+5=41 .

5.   Cherchons les nombres pour lesquels les programmes A et B fournissent le même résultat.

Appelons  x  les nombres cherchés.

 {\white w}\checkmark {\white w}  On sait que le programme A va donner pour résultat la valeur  \boxed{5} .

 {\white w}\checkmark {\white w}  Déterminons le résultat du programme B si le nombre donné au départ est également  x .

Si on soustrait  1  au nombre  x , on obtient  x-1 .

Si on soustrait le nombre  6  au nombre  x , on obtient  x-6 .

Multiplions ces deux quantités, cela donne :  (x-1)(x-6) .

Ajoutons  5 , on obtient par le programme B :  \boxed{(x-1)(x-6)+5} .

 {\white w}\checkmark {\white w}  Les programmes A et B doivent donner le même résultat :

Pour cela :  (x-1)(x-6)+5=5  ;

On retranche  5   aux deux membres, on obtient  (x-1)(x-6)=0 .

Un produit de facteurs est nul équivaut à dire que chacun des facteurs peut être nul.

 (x-1)(x-6)=0  équivaut à dire  x-1=0  ou  x-6=0 

Soit :  x=1  ou  x=6 .

Les deux programmes donnent le même résultat pour deux valeurs de départ qui sont  1  et  6 .

20 points

exercice 4



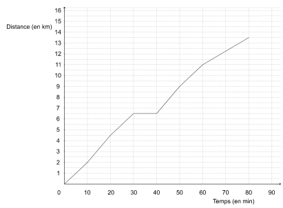
DNB 2025 Amérique du Nord : image 21


1.   La représentation graphique de la distance par rapport au temps n'est pas une droite, donc le temps et la distance parcourue par Malo ne sont pas proportionnels.

2.   A la lecture du graphique, la distance parcourue par Malo au bout de  20  minutes est :  4,5\text{ km.} 

3.   A la lecture du graphique, pour faire les 9 premiers kilomètres, Malo a mis  50  minutes.

4.   Malo a parcouru  13,5  km en  80  minutes.

 80  minutes représentent  60+20  minutes soit une heure pleine plus  \dfrac 13  d'heure, soit au total  (1+\dfrac 13)  h.

Sa vitesse moyenne est égale à :  v=\dfrac{d}{t}=\dfrac{13,5}{1+\frac 13}=10,125  km/h soit un peu plus de  10  km/h.

5.   Louise et Hillal ont couru sur le même parcours de  13,5  km. Louise a une vitesse régulière égale à  12  km/h et Hillal a une vitesse régulière égale à  10  km/h.

a.   Comme elles sont parties en même temps et que Louise va plus vite, c'est Louise qui arrive en premier sur la ligne d'arrivée.

b.   Le temps mis par Louise est :  t_1=\dfrac{13,5}{12}=1,125 \text{ h} . 

Le temps mis par Hillal est :  t_2=\dfrac{13,5}{10}=1,35\text{ h }. 

(soit Hillal va donc arriver :  1,35 \text{ h} -1,125 \text{ h}   après Louise soit  0,225 \text{ h}  après Louise.

Et en  0,225 \text{ h }  Hillal va devoir parcourir :  d=v\times 0,225=2,25\text{ km .}  20 points

exercice 5



Partie 1 : les motifs

1.   Script 1 : dessin 2

Script 2 : dessin 1

2.   B - C - A

Attention aux valeurs des angles ! Après les  30  premiers pas, le lutin doit tourner de  180-60  soit  120^\circ  pour se retrouver en position de "monter" sur le second côté du losange.

DNB 2025 Amérique du Nord : image 16


Partie 2 : le script principal

3.   Le lutin démarre au point  (-200\,,\,0) .

4.   Si le nombre aléatoire qui sort est 1 ou 2, le lutin va dire "perdu". La capture d'écran n° 3 est possible.

Si le nombre aléatoire qui sort est 3, on obtient la capture n° 2 (6 dessins identiques séparés de 60 pas).

5.   Un seul nombre donne le bon résultat parmi 3 nombres possibles, la probabilité est donc de  \dfrac 13  .

6. a.  La fréquence d'apparition de l'affichage "Voici le dessin" est de :  \dfrac{40}{100}  soit  0,4 .

b.   Le résultat est différent car une probabilité est une valeur théorique. Il faudrait lancer encore davantage le programme pour que la fréquence se rapproche davantage de la probabilité.

Merci à malou pour avoir élaboré cette fiche.
Publié le
ceci n'est qu'un extrait
Pour visualiser la totalité des cours vous devez vous inscrire / connecter (GRATUIT)
Inscription Gratuite se connecter
Merci à
malou Webmaster
/
malou Webmaster
pour avoir contribué à l'élaboration de cette fiche


Vous devez être membre accéder à ce service...

Pas encore inscrit ?

1 compte par personne, multi-compte interdit !

Ou identifiez-vous :


Rester sur la page

Inscription gratuite

Fiches en rapport

parmi 1760 fiches de maths

Désolé, votre version d'Internet Explorer est plus que périmée ! Merci de le mettre à jour ou de télécharger Firefox ou Google Chrome pour utiliser le site. Votre ordinateur vous remerciera !