Fiche de mathématiques
> >

BTS SIO Métropole 2015

Epreuve obligatoire U21

Partager :


Durée : 2 heures


Coefficient 2


Le(La) candidat(e) doit traiter tous les exercices. L'usage des calculatrices est autorisé.
7 points

exercice 1


BTS SIO metropole 2015 : image 2

BTS SIO metropole 2015 : image 6
5 points

exercice 2


BTS SIO metropole 2015 : image 5
8 points

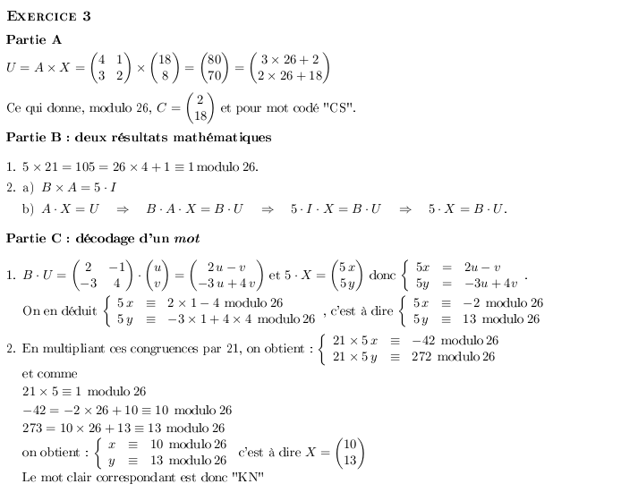
exercice 3


BTS SIO metropole 2015 : image 4

BTS SIO metropole 2015 : image 7

BTS SIO metropole 2015 : image 1

BTS SIO metropole 2015 : image 3





Eléménents de correction

Partager :
BTS SIO metropole 2015 : image 8

BTS SIO metropole 2015 : image 10

BTS SIO metropole 2015 : image 9
Publié le
ceci n'est qu'un extrait
Pour visualiser la totalité des cours vous devez vous inscrire / connecter (GRATUIT)
Inscription Gratuite se connecter
Merci à
matheuxmatou
/
malou Webmaster
pour avoir contribué à l'élaboration de cette fiche


Vous devez être membre accéder à ce service...

Pas encore inscrit ?

1 compte par personne, multi-compte interdit !

Ou identifiez-vous :


Rester sur la page

Inscription gratuite

Fiches en rapport

parmi 1768 fiches de maths

Désolé, votre version d'Internet Explorer est plus que périmée ! Merci de le mettre à jour ou de télécharger Firefox ou Google Chrome pour utiliser le site. Votre ordinateur vous remerciera !