Fiche de mathématiques
> >

Bac sciences mathématiques (série A et B) - Maroc 2019 - Rattrapage

Partager :

INSTRUCTIONS GENERALES


Les exercices peuvent être traités selon l'ordre choisi par le candidat.

L'usage de la calculatrice n'est pas autorisé.
L'usage de la couleur rouge n'est pas autorisé.

COEFFICIENT : 9

DURÉE : 4HEURES



Bac (A et B) Maroc 2019 (rattrapage) : image 1
Bac (A et B) Maroc 2019 (rattrapage) : image 2
Bac (A et B) Maroc 2019 (rattrapage) : image 5

Bac (A et B) Maroc 2019 (rattrapage) : image 4
Bac (A et B) Maroc 2019 (rattrapage) : image 3





Bac (A et B) Maroc 2019 (rattrapage)

Partager :



3,5 points

exercice 1

Soit alpha un nombre complexe non nul.

I.  On considère dans C l'équation d'inconnue z  :  (E_\alpha):z^2-\text{i}\alpha \sqrt{3} z-\alpha ^2=0.

1. a)  Vérifions que le discriminant de   (E_\alpha)  est  \Delta=\alpha ^2.

\Delta=(-\text{i}\alpha \sqrt{3})^2-4\times1\times(-\alpha ^2) \\\phantom{\Delta}=-3\alpha ^2+4\alpha ^2 \\\phantom{\Delta}=\alpha ^2 \\\\\Longrightarrow\boxed{\Delta=\alpha ^2}

1. b)  Résolvons dans C l'équation  (E_\alpha).

Les solutions de l'équation  (E_\alpha)  sont :

z_1=\dfrac{\text{i}\alpha \sqrt{3}+\alpha}{2}=\dfrac{(\text{i}\sqrt{3}+1)\alpha }{2}=\dfrac{1+\text{i}\sqrt{3} }{2}\alpha \\\\z_2=\dfrac{\text{i}\alpha \sqrt{3}-\alpha}{2}=\dfrac{(\text{i}\sqrt{3}-1)\alpha }{2}=\dfrac{-1+\text{i}\sqrt{3} }{2}\alpha
Par conséquent, l'ensemble S des solutions de  (E_\alpha)  est  \boxed{S=\left\lbrace\dfrac{1+\text{i}\sqrt{3} }{2}\alpha\,;\,\dfrac{-1+\text{i}\sqrt{3} }{2}\alpha\right\rbrace}

2.  Posons  \alpha=|\alpha|\,\text{e}^{\text{i}\lambda}\ \ \ \ (\lambda\in\R).

\begin{matrix}z_1=\dfrac{1+\text{i}\sqrt{3}}{2}\,\alpha\ \ \ \ \ \ \ \ \ \ \ \ \ \ \ \ \  \\\\=\left(\dfrac{1}{2}+\text{i}\dfrac{\sqrt{3} }{2}\right)\alpha\ \ \ \ \ \ \ \ \  \\\\=\left(\cos(\dfrac{\pi}{3})+\text{i}\sin(\dfrac{\pi}{3})\right)\alpha \\\\=\text{e}^{\frac{\text{i}\pi}{3}}\times|\alpha|\,\text{e}^{\text{i}\lambda}\ \ \ \ \ \ \ \ \ \ \ \ \  \\\\=|\alpha|\,\text{e}^{\text{i}\lambda+\frac{\text{i}\pi}{3}}\ \ \ \ \ \ \ \ \ \ \ \ \ \ \ \  \\\\=|\alpha|\,\text{e}^{\text{i}(\lambda+\frac{\pi}{3})}\ \ \ \ \ \ \ \ \ \ \ \ \ \ \ \end{matrix}\begin{matrix}|\\|\\|\\|\\|\\|\\|\\|\\|\\|\\|\\|\\|\\|\\|\\ \end{matrix}   \begin{matrix}z_2=\dfrac{-1+\text{i}\sqrt{3}}{2}\,\alpha\ \ \ \ \ \ \ \ \ \ \ \ \ \ \ \ \  \\\\=\left(-\dfrac{1}{2}+\text{i}\dfrac{\sqrt{3} }{2}\right)\alpha\ \ \ \ \ \ \ \ \  \\\\=\left(\cos(\dfrac{2\pi}{3})+\text{i}\sin(\dfrac{2\pi}{3})\right)\alpha \\\\=\text{e}^{\frac{\text{i}2\pi}{3}}\times|\alpha|\,\text{e}^{\text{i}\lambda}\ \ \ \ \ \ \ \ \ \ \ \ \  \\\\=|\alpha|\,\text{e}^{\text{i}\lambda+\frac{\text{i}2\pi}{3}}\ \ \ \ \ \ \ \ \ \ \ \ \ \ \ \  \\\\=|\alpha|\,\text{e}^{\text{i}(\lambda+\frac{2\pi}{3})}\ \ \ \ \ \ \ \ \ \ \ \ \ \ \ \end{matrix}
D'où les deux racines de l'équation  (E_\alpha)  sont  \boxed{z_1=|\alpha|\,\text{e}^{\text{i}(\lambda+\frac{\pi}{3})}\ \ \text{et}\ \ z_2=|\alpha|\,\text{e}^{\text{i}(\lambda+\frac{2\pi}{3})}\ \ \ \ (\lambda\in\R)}

II.  Supposons que le plan complexe est rapporté à un repère orthonormé direct  (O\,;\,\vec{u}\,,\,\vec{v}).
Soient les points  \Omega\,,M_1  et M_2  d'affixes respectives  \alpha\,,z_1=\dfrac{1+\text{i}\sqrt{3}}{2}\,\alpha\ \text{et}\ z_2=\dfrac{-1+\text{i}\sqrt{3}}{2}\,\alpha 
et soit  R  la rotation de centre O  et d'angle  \dfrac{\pi}{3}.

1. a)  Soient les points  M  et  M'  d'affixes respectives  z_M  et  z_{M'}  tel que  R(\Omega)=M  et    R(M_1)=M'.
En utilisant l'écriture complexe de la rotation de centre O  et d'angle  \dfrac{\pi}{3} , nous obtenons :

\begin{matrix}M=R(\Omega)\Longleftrightarrow z_M=\text{e}^{\frac{\text{i}\pi}{3}}\alpha \\\\\phantom{M=R(\Omega)MMM}\Longleftrightarrow z_M=\text{e}^{\frac{\text{i}\pi}{3}}\times|\alpha|\,\text{e}^{\text{i}\lambda} \\\\\phantom{M=R(\Omega)MM}\Longleftrightarrow z_M=|\alpha|\,\text{e}^{\text{i}\lambda+\frac{\text{i}\pi}{3}}  \\\\\phantom{M=R(\Omega)MMi}\Longleftrightarrow z_M=|\alpha|\,\text{e}^{\text{i}(\lambda+\frac{\pi}{3})}  \\\\\phantom{=R(\Omega)i}\Longleftrightarrow z_M=z_1 \\\\\phantom{M=R(\Omega)m}\Longleftrightarrow \boxed{R(\Omega)=M_1}\end{matrix}\ \ \begin{matrix}|\\|\\|\\|\\|\\|\\|\\|\\|\\|\\|\\|\\ \end{matrix}  \begin{matrix}M'=R(M_1)\Longleftrightarrow z_{M'}=\text{e}^{\frac{\text{i}\pi}{3}}z_1 \\\\\phantom{MMMMMMMMMM=R(\Omega)MMMM}\Longleftrightarrow z_{M'}=\text{e}^{\frac{\text{i}\pi}{3}}\times|\alpha|\,\text{e}^{\text{i}\lambda+\frac{\text{i}\pi}{3}} \ \ \ \ (\text{voir question I 2.}) \\\\\phantom{M=R(\Omega)MM}\Longleftrightarrow z_{M'}=|\alpha|\,\text{e}^{\text{i}\lambda+2\frac{\text{i}\pi}{3}}  \\\\\phantom{M=R(\Omega)MMi}\Longleftrightarrow z_{M'}=|\alpha|\,\text{e}^{\text{i}(\lambda+\frac{2\pi}{3})}  \\\\\phantom{MMMMMMMM=R(\Omega)i}\Longleftrightarrow z_{M'}=z_2 \ \ \ \ (\text{voir question I 2.}) \\\\\phantom{M=R(\Omega)m}\Longleftrightarrow \boxed{R(M_1)=M_2}\end{matrix}

1. b)  Montrons que les deux triangles  O\Omega M_1  et  OM_1M_2  sont équilatéraux. 
R(\Omega)=M_1\Longrightarrow\left\lbrace\begin{matrix}O\Omega=OM_1\ \ \ \ \ \ \ \ \ \ \ \\ (\overrightarrow{O\Omega},\overrightarrow{OM_1})=\dfrac{\pi}{3}\,[2\pi]\end{matrix}\right.
Nous en déduisons que le triangle  O\Omega M_1  est isocèle en O  et possède un angle dont la mesure en degrés vaut 60°.
Par conséquent, le triangle  O\Omega M_1  est équilatéral.

R(M_1)=M_2\Longrightarrow\left\lbrace\begin{matrix}OM_1=OM_2\ \ \ \ \ \ \ \ \ \ \ \\ (\overrightarrow{OM_1},\overrightarrow{OM_2})=\dfrac{\pi}{3}\,[2\pi]\end{matrix}\right.
Nous en déduisons que le triangle  OM_1M_2  est isocèle en O  et possède un angle dont la mesure en degrés vaut 60°.
Par conséquent, le triangle  OM_1M_2  est équilatéral.

{\red{2.\ \text{a) }}}  z_1-z_2=\dfrac{1+\text{i}\sqrt{3} }{2}\alpha-\dfrac{-1+\text{i}\sqrt{3} }{2}\alpha =\left(\dfrac{1+\text{i}\sqrt{3} }{2}-\dfrac{-1+\text{i}\sqrt{3} }{2}\right)\alpha\\\\\phantom{WWWWW}=\left(\dfrac{1+\text{i}\sqrt{3} +1-\text{i}\sqrt{3}}{2}\right)\alpha =\left(\dfrac{2}{2}\right)\alpha=\alpha \\\\\Longrightarrow\boxed{z_1-z_2=\alpha}

2. b)  Montrons que les droites  (\Omega M_2)  et  (OM_1)  sont orthogonales en montrant que  \dfrac{z_2-\alpha}{z_1-0}  est un imaginaire pur, soit que  \dfrac{z_2-\alpha}{z_1}\in\text{i}\R.

\dfrac{z_2-\alpha}{z_1}=\dfrac{z_2-(z_1-z_2)}{z_1}\ \ \ \ (\text{voir question 2. a)} \\\phantom{\dfrac{z_2-\alpha}{z_1-0}}=\dfrac{2z_2-z_1}{z_1}=\dfrac{2z_2}{z_1}-\dfrac{z_1}{z_1}=\dfrac{2z_2}{z_1}-1 \\\\\phantom{\dfrac{z_2-\alpha}{z_1-0}}=\dfrac{2|\alpha|\,\text{e}^{\text{i}(\lambda+\frac{2\pi}{3})}}{|\alpha|\,\text{e}^{\text{i}(\lambda+\frac{\pi}{3})}}-1=2\,\text{e}^{\text{i}(\lambda+\frac{2\pi}{3})-\text{i}(\lambda+\frac{\pi}{3})}-1 \\\\\phantom{\dfrac{z_2-\alpha}{z_1-0}}=2\,\text{e}^{\text{i}\frac{\pi}{3}}-1=2\left(\cos(\dfrac{\pi}{3})+\text{i}\sin(\dfrac{\pi}{3})\right)-1 \\\\\phantom{\dfrac{z_2-\alpha}{z_1-0}}=2\left(\dfrac{1}{2}+\text{i}\dfrac{\sqrt{3}}{2}\right)-1=1+\text{i}\sqrt{3}-1=\text{i}\sqrt{3} \\\\\Longrightarrow\boxed{\dfrac{z_2-\alpha}{z_1}=\text{i}\sqrt{3}\in\text{i}\R}
D'où les droites  (\Omega M_2)  et  (OM_1)  sont orthogonales.

2. c)  Nous devons montrer que le quadrilatère  O\Omega M_1M_2  est un losange.
Par la question 1. b), nous savons que les deux triangles  O\Omega M_1  et  OM_1M_2  sont équilatéraux.
Donc  O\Omega=\Omega M_1=OM_1  et  OM_1=M_1M_2=OM_2.
Dès lors  O\Omega=\Omega M_1=M_1M_2=OM_2.
Il s'ensuit que  O\Omega M_1M_2  est un quadrilatère dont les côtés ont tous la même longueur.
Par conséquent,  O\Omega M_1M_2  est un losange.

3.  Nous avons montré dans la question 1. b) que  OM_1=OM_2=O\Omega .
Or l'affixe de  \Omega  est  \alpha .
D'où  OM_1=OM_2=O\Omega=|\alpha | .
Il s'ensuit que les points  \Omega\,,\ M_1  et  M_2  appartiennent à un cercle  \mathscr{C}  de centre O et de rayon  |\alpha |.
Soit un point M d'affixe  |\alpha|\,\text{e}^{\text{i}\theta}  où  \theta  est un nombre réel.
Par définition du point M, nous en déduisons que les points  \Omega\,,\ M_1\,,\ M_2  et  M  appartiennent au cercle  \mathscr{C}. 
En appliquant le théorème de l'angle inscrit, nous obtenons :

(\overrightarrow{\Omega M_1},\overrightarrow{\Omega M_2})=(\overrightarrow{MM_1},\overrightarrow{MM_2})\,[\pi] \\\\\Longrightarrow(\overrightarrow{\Omega M_1},\overrightarrow{\Omega M_2})-(\overrightarrow{MM_1},\overrightarrow{MM_2})=k\,\pi\ \ \ \ (k\in\Z) \\\\\Longrightarrow\arg\left(\dfrac{z_2-\alpha}{z_1-\alpha}\right)-\arg\left(\dfrac{z_2-|\alpha|\,\text{e}^{\text{i}\theta}}{z_1-|\alpha|\,\text{e}^{\text{i}\theta}}\right)=k\,\pi\ \ \ \ (k\in\Z) \\\\\Longrightarrow\arg\left[\left(\dfrac{z_2-\alpha}{z_1-\alpha}\right)\div\left(\dfrac{z_2-|\alpha|\,\text{e}^{\text{i}\theta}}{z_1-|\alpha|\,\text{e}^{\text{i}\theta}}\right)\right]=k\,\pi\ \ \ \ (k\in\Z) \\\\\Longrightarrow\boxed{\left(\dfrac{z_2-\alpha}{z_1-\alpha}\right)\div\left(\dfrac{z_2-|\alpha|\,\text{e}^{\text{i}\theta}}{z_1-|\alpha|\,\text{e}^{\text{i}\theta}}\right)\in\R}

3 points

exercice 2

Une urne contient n  boules numérotées de 1 à n  (n appartient N*, n  supegal 3). On retire, sans remise, l'une après l'autre toutes les boules de cette urne. Toutes les boules sont indiscernables au toucher.
Il y a donc équiprobabilité.
Puisque toutes les boules sont tirées, les n  boules peuvent se permuter entre elles de n ! manières distinctes.

1.  Soit l'événement A : "Les boules 1, 2 et 3 sortent consécutivement et dans cet ordre".
Déterminons le nombre d'éléments de A.
Les boules 1, 2 et 3 sont tirées consécutivement et dans cet ordre.
Parmi les n  emplacements, la boule 1 peut occuper les emplacements à compter du 1er jusqu'au (n  - 2)ième.
Donc la suite "1-2-3" peut occuper (n  - 2) emplacements parmi les n .
Pour chacune de ces positions de la suite "1-2-3", il reste (n  - 3) boules pouvant se permuter entre elles
de (n  - 3)! manières.
D'où, le nombre d'éléments de A est  (n-2)(n-3)!=(n-2)!
Par conséquent,  la probabilité de l'événement A est  P(A)=\dfrac{(n-2)!}{n!}.
Or  \dfrac{(n-2)!}{n!}=\dfrac{(n-2)!}{n(n-1)(n-2)!}=\dfrac{1}{n(n-1)}
Nous en déduisons que la probabilité que les boules 1, 2 et 3 sortent consécutivement et dans cet ordre est égale à  \dfrac{1}{n(n-1)}.

2.  Soit l'événement B : "les boules 1, 2 et 3 sortent dans cet ordre (consécutivement ou pas)".
Déterminons le nombre d'éléments de B.
Les boules 1, 2 et 3 occupent au hasard 3 emplacements parmi les n .
Au total, il y a donc  \begin{pmatrix}n\\3\end{pmatrix}  manières différentes de choisir ces 3 emplacements.
Pour chacune de ces manières, il reste (n  - 3) boules pouvant se permuter entre elles
de (n  - 3)! façons.
D'où, le nombre d'éléments de B est  \begin{pmatrix}n\\3\end{pmatrix}(n-3)!
Par conséquent,  la probabilité de l'événement B est  P(B)=\dfrac{\begin{pmatrix}n\\3\end{pmatrix}(n-3)!}{n!}
Or  \dfrac{\begin{pmatrix}n\\3\end{pmatrix}(n-3)!}{n!}=\begin{pmatrix}n\\3\end{pmatrix}\times\dfrac{(n-3)!}{n!}=\dfrac{n!}{3!(n-3)!}\times\dfrac{\,(n-3)!}{n!}=\dfrac{1}{3!}=\dfrac{1}{6}.
Nous en déduisons que la probabilité que les boules 1, 2 et 3 sortent dans cet ordre (consécutivement ou pas) est égale à  \dfrac{1}{6}.

3.  Soit la variable aléatoire Xn  égale au nombre de tirages nécessaires pour obtenir les boules 1, 2 et 3.
Déterminons  P(X_n=k).
La plus petite valeur de k  est 3 car nous pouvons obtenir les 3 boules à l'issue des 3 premiers tirages.
La plus grande valeur de k  est n  car nous pouvons n'obtenir les 3 boules qu'à l'issue du n ième tirage.
Donc  k\in\lbrace3,4,\cdots,n\rbrace.

Si nous obtenons les trois boules à l'issue de k  tirages, la boule tirée au k ième tirage peut être la boule 1 ou la boule 2 ou la boule 3.
Nous obtenons ainsi 3 possibilités pour la k ième boule.
Cette boule étant placée au k ième tirage, les deux autres boules peuvent occuper 2 emplacements parmi les (k  - 1) emplacements, leur ordre ayant de l'importance.
Il y a ainsi  A_{k-1}^2  manières de les placer.
Pour chacune de ces manières, il reste (n  - 3) boules pouvant se permuter entre elles
de (n  - 3)! façons.
Par conséquent,  P(X_n=k)=\dfrac{3\,A_{k-1}^2\,(n-3)!}{n!}

\text{Or }\ \dfrac{3\,A_{k-1}^2\,(n-3)!}{n!}=\dfrac{3\,(n-3)!}{n!}\times A_{k-1}^2 \\\phantom{\text{Or, }\ \dfrac{3\,A_{k-1}^2\,(n-3)!}{n!}}=\dfrac{3\,(n-3)!}{n!}\times \dfrac{(k-1)!}{(k-1-2)!}=\dfrac{3\,(n-3)!}{n!}\times \dfrac{(k-1)!}{(k-3)!} \\\phantom{\text{Or, }\ \dfrac{3\,A_{k-1}^2\,(n-3)!}{n!}}=\dfrac{3\,(n-3)!}{n(n-1)(n-2)(n-3)!}\times \dfrac{(k-1)(k-2)(k-3)!}{(k-3)!} \\\phantom{\text{Or, }\ \dfrac{3\,A_{k-1}^2\,(n-3)!}{n!}}=\dfrac{3}{n(n-1)(n-2)}\times (k-1)(k-2) \\\phantom{\text{Or, }\ \dfrac{3\,A_{k-1}^2\,(n-3)!}{n!}}=\dfrac{3(k-1)(k-2)}{n(n-1)(n-2)}
D'où la loi de probabilité de la variable aléatoire Xn  est définie par  \boxed{P(X_n=k)=\dfrac{3(k-1)(k-2)}{n(n-1)(n-2)}\ \ \ \ \text{où}\ \ k\in\lbrace3,4,\cdots,n\rbrace}

3,5 points

exercice 3

On considère l'espace vectoriel de dimension 2 noté  (V_2,+,.)\ .
Soit  (\vec{i},\vec{j})  une base de V 2. On pose :  \overrightarrow{e_1}=\dfrac{1}{2}\overrightarrow{i}+\dfrac{1}{2}\overrightarrow{j}  et  \overrightarrow{e_2}=\dfrac{1}{2}\overrightarrow{i}-\dfrac{1}{2}\overrightarrow{j}.
Soit  \ast  la loi de composition interne définie par :
\forall(x,y,x',y')\in\R^4\ \ (x\vec{i}+y\vec{j})\,\ast\,(x'\vec{i}+y'\vec{j})=(xx'+yy')\vec{i}+(xy'+yx')\vec{j}

1. a)  Nous devons montrer que  (\overrightarrow{e_1},\overrightarrow{e_2})  est une base de V 2.
Puisque V 2 est de dimension finie,  (\overrightarrow{e_1},\overrightarrow{e_2})  est une base de V 2 si et seulement si les vecteurs \overrightarrow{e_1}   et  \overrightarrow{e_2}  sont linéairement indépendants, soit si  \det(\overrightarrow{e_1},\overrightarrow{e_1})\neq0.
\text{Or }\ \det(\overrightarrow{e_1},\overrightarrow{e_1})=\begin{vmatrix}\frac{1}{2}&\frac{1}{2}\\\\\frac{1}{2} &-\frac{1}{2}\end{vmatrix}=\dfrac{1}{2}\times(-\dfrac{1}{2})-\dfrac{1}{2}\times\dfrac{1}{2}=-\dfrac{1}{4}-\dfrac{1}{4}=-\dfrac{1}{2}\neq0 \\\\\Longrightarrow\boxed{\det(\overrightarrow{e_1},\overrightarrow{e_1})\neq0}
Par conséquent,  (\overrightarrow{e_1},\overrightarrow{e_2})  est une base de V 2.

{\red{1.\ \text{b) }}}\ \overrightarrow{e_1}\ast \overrightarrow{e_1}=(\dfrac{1}{2}\overrightarrow{i}+\dfrac{1}{2}\overrightarrow{j})\,\ast\,(\dfrac{1}{2}\overrightarrow{i}+\dfrac{1}{2}\overrightarrow{j}) =\left(\dfrac{1}{2}\times\dfrac{1}{2}+\dfrac{1}{2}\times\dfrac{1}{2}\right)\vec{i}+\left(\dfrac{1}{2}\times\dfrac{1}{2}+\dfrac{1}{2}\times\dfrac{1}{2}\right)\vec{j}  \\\phantom{{\red{1.\ \text{b) }}}\ \overrightarrow{e_1}\ast \overrightarrow{e_1}}=\dfrac{1}{2}\vec{i}+\dfrac{1}{2}\vec{j}  =\overrightarrow{e_1}  \\\\\Longrightarrow\boxed{\overrightarrow{e_1}\ast \overrightarrow{e_1}=\overrightarrow{e_1}}

\overrightarrow{e_2}\ast \overrightarrow{e_2}=(\dfrac{1}{2}\overrightarrow{i}-\dfrac{1}{2}\overrightarrow{j})\,\ast\,(\dfrac{1}{2}\overrightarrow{i}-\dfrac{1}{2}\overrightarrow{j}) =\left(\dfrac{1}{2}\times\dfrac{1}{2}-\dfrac{1}{2}\times(-\dfrac{1}{2})\right)\vec{i}+\left(\dfrac{1}{2}\times(-\dfrac{1}{2})-\dfrac{1}{2}\times\dfrac{1}{2}\right)\vec{j}  \\\phantom{\overrightarrow{e_1}\ast \overrightarrow{e_1}}=\dfrac{1}{2}\vec{i}-\dfrac{1}{2}\vec{j}  =\overrightarrow{e_2}  \\\\\Longrightarrow\boxed{\overrightarrow{e_2}\ast \overrightarrow{e_2}=\overrightarrow{e_2}}

\overrightarrow{e_1}\ast \overrightarrow{e_2}=(\dfrac{1}{2}\overrightarrow{i}+\dfrac{1}{2}\overrightarrow{j})\,\ast\,(\dfrac{1}{2}\overrightarrow{i}-\dfrac{1}{2}\overrightarrow{j}) =\left(\dfrac{1}{2}\times\dfrac{1}{2}+\dfrac{1}{2}\times(-\dfrac{1}{2})\right)\vec{i}+\left(\dfrac{1}{2}\times(-\dfrac{1}{2})+\dfrac{1}{2}\times\dfrac{1}{2}\right)\vec{j}  \\\phantom{\overrightarrow{e_1}\ast \overrightarrow{e_1}}=0\vec{i}+0\vec{j}  =\overrightarrow{0}  \\\\\Longrightarrow\boxed{\overrightarrow{e_1}\ast \overrightarrow{e_2}=\overrightarrow{0}}

\overrightarrow{e_2}\ast \overrightarrow{e_1}=(\dfrac{1}{2}\overrightarrow{i}-\dfrac{1}{2}\overrightarrow{j})\,\ast\,(\dfrac{1}{2}\overrightarrow{i}+\dfrac{1}{2}\overrightarrow{j}) =\left(\dfrac{1}{2}\times\dfrac{1}{2}-\dfrac{1}{2}\times\dfrac{1}{2}\right)\vec{i}+\left(\dfrac{1}{2}\times\dfrac{1}{2}-\dfrac{1}{2}\times\dfrac{1}{2}\right)\vec{j}  \\\phantom{\overrightarrow{e_2}\ast \overrightarrow{e_1}}=0\vec{i}+0\vec{j}  =\overrightarrow{0}  \\\\\Longrightarrow\boxed{\overrightarrow{e_2}\ast \overrightarrow{e_1}=\overrightarrow{0}}

1. c)   \forall(X,X',Y,Y')\in\R^4,\ (X\overrightarrow{e_1}+Y\overrightarrow{e_2})\ast (X'\overrightarrow{e_1}+Y'\overrightarrow{e_2})

=\left(X(\dfrac{1}{2}\overrightarrow{i}+\dfrac{1}{2}\overrightarrow{j})+Y(\dfrac{1}{2}\overrightarrow{i}-\dfrac{1}{2}\overrightarrow{j})\right)\ast \left(X'(\dfrac{1}{2}\overrightarrow{i}+\dfrac{1}{2}\overrightarrow{j})+Y'(\dfrac{1}{2}\overrightarrow{i}-\dfrac{1}{2}\overrightarrow{j})\right)  \\\\=\left((\dfrac{1}{2}X+\dfrac{1}{2}Y)\overrightarrow{i}+(\dfrac{1}{2}X-\dfrac{1}{2}Y)\overrightarrow{j})\right)\ast \left((\dfrac{1}{2}X'+\dfrac{1}{2}Y')\overrightarrow{i}+(\dfrac{1}{2}X'-\dfrac{1}{2}Y')\overrightarrow{j})\right) \\\\=\left(\dfrac{1}{2}(X+Y)\overrightarrow{i}+\dfrac{1}{2}(X-Y)\overrightarrow{j})\right)\ast \left(\dfrac{1}{2}(X'+Y')\overrightarrow{i}+\dfrac{1}{2}(X'-Y')\overrightarrow{j})\right) \\\\=\dfrac{1}{4}[(X+Y)(X'+Y')+(X-Y)(X'-Y')]\overrightarrow{i}+\dfrac{1}{4}[(X+Y)(X'-Y')+(X-Y)(X'+Y')]\overrightarrow{j} \\\\=\dfrac{1}{4}(XX'+XY'+X'Y+YY'+XX'-XY'-X'Y+YY')\overrightarrow{i} \\\phantom{WWWW}+\dfrac{1}{4}(XX'-XY'+X'Y-YY'+XX'+XY'-X'Y-YY')\overrightarrow{j}
=\dfrac{1}{4}(2XX'+2YY')\overrightarrow{i}+\dfrac{1}{4}(2XX'-2YY')\overrightarrow{j} \\\\=\dfrac{1}{2}(XX'+YY')\overrightarrow{i}+\dfrac{1}{2}(XX'-YY')\overrightarrow{j} \\\\=XX'(\dfrac{1}{2}\overrightarrow{i}+\dfrac{1}{2}\overrightarrow{j})+YY'(\dfrac{1}{2}\overrightarrow{i}-\dfrac{1}{2}\overrightarrow{j}) \\\\=XX'\overrightarrow{e_1}+YY'\overrightarrow{e_2} \\\\\Longrightarrow\boxed{\forall(X,X',Y,Y')\in\R^4,\ (X\overrightarrow{e_1}+Y\overrightarrow{e_2})\ast (X'\overrightarrow{e_1}+Y'\overrightarrow{e_2})=XX'\overrightarrow{e_1}+YY'\overrightarrow{e_2}}

2. a)  Montrons que la loi  \ast  est commutative.

Soient les vecteurs  \vec{v}  et  \vec{v'}  deux vecteurs quelconques de V 2 tels que  \vec{v}=x\vec{i}+y\vec{j}  et  \vec{v'}=x'\vec{i}+y'\vec{j}. 
Montrons que  \vec{v}\ast \vec{v\,'}=\vec{v\,'}\ast \vec{v}.

\vec{v}\ast \vec{v\,'}=(x\vec{i}+y\vec{j})\ast(x'\vec{i}+y'\vec{j}) \\\phantom{\vec{v}\ast \vec{v'}}=(xx'+yy')\vec{i}+(xy'+yx')\vec{j} \\\phantom{\vec{v}\ast \vec{v'}}=(x'x+y'y)\vec{i}+(x'y+y'x)\vec{j} \\\phantom{\vec{v}\ast \vec{v'}}=(x'\vec{i}+y'\vec{j})\ast(x\vec{i}+y\vec{j}) \\\phantom{\vec{v}\ast \vec{v'}}=\vec{v\,'}\ast \vec{v} \\\Longrightarrow\boxed{\vec{v}\ast \vec{v\,'}=\vec{v\,'}\ast \vec{v}}
Par conséquent, la loi  \ast  est commutative.

2. b)  Montrons que la loi  \ast  est associative.

Soient les vecteurs  \vec{v} ,  \vec{v\,'}  et  \vec{v\,''}  trois vecteurs quelconques de V 2 tels que  \vec{v}=x\vec{i}+y\vec{j} ,  \vec{v\,'}=x'\vec{i}+y'\vec{j}  et  \vec{v\,''}=x''\vec{i}+y''\vec{j}. 
Montrons que  (\vec{v}\ast \vec{v\,'})\ast \vec{v\,''}=\vec{v}\ast (\vec{v\,'}\ast \vec{v\,''}).

\text{D'une part,}\ (\vec{v}\ast \vec{v\,'})\ast \vec{v\,''}=((x\vec{i}+y\vec{j})\ast(x'\vec{i}+y'\vec{j}))\ast(x''\vec{i}+y''\vec{j}) \\\phantom{\text{D'une part,}\ (\vec{v}\ast \vec{v\,'})\ast \vec{v\,''}}=((xx'+yy')\vec{i}+(xy'+yx')\vec{j})\ast(x''\vec{i}+y''\vec{j}) \\\phantom{\text{D'une part,}\ (\vec{v}\ast \vec{v\,'})\ast \vec{v\,''}}=((xx'+yy')x''+(xy'+yx')y'')\vec{i}+((xx'+yy')y''+(xy'+yx')x'')\vec{j} \\\phantom{\text{D'une part,}\ (\vec{v}\ast \vec{v\,'})\ast \vec{v\,''}}={\blue{(xx'x''+x''yy'+xy'y''+x'yy'')\vec{i}+(xx'y''+yy'y''+xx''y'+x'x''y)\vec{j}}}

\text{D'autre part,}\ \vec{v}\ast (\vec{v\,'}\ast \vec{v\,''})=(x\vec{i}+y\vec{j})\ast((x'\vec{i}+y'\vec{j})\ast(x''\vec{i}+y''\vec{j})) \\\phantom{\text{D'autre part,}\ (\vec{v}\ast \vec{v\,'})\ast \vec{v\,''}}=(x\vec{i}+y\vec{j})\ast((x'x''+y'y'')\vec{i}+(x'y''+y'x'')\vec{j}) \\\phantom{\text{D'autre part,}\ (\vec{v}\ast \vec{v\,'})\ast \vec{v\,''}}=(x(x'x''+y'y'')+y(x'y''+y'x''))\vec{i}+(x(x'y''+y'x'')+y(x'x''+y'y''))\vec{j} \\\phantom{\text{D'autre part,}\ (\vec{v}\ast \vec{v\,'})\ast \vec{v\,''}}=(xx'x''+xy'y''+x'yy''+x''yy')\vec{i}+(xx'y''+xx''y'+x'x''y+yy'y'')\vec{j} \\\phantom{\text{D'autre part,}\ (\vec{v}\ast \vec{v\,'})\ast \vec{v\,''}}={\blue{(xx'x''+x''yy'+xy'y''+x'yy'')\vec{i}+(xx'y''+yy'y''+xx''y'+x'x''y)\vec{j}}}

\Longrightarrow\boxed{(\vec{v}\ast \vec{v\,'})\ast \vec{v\,''}=\vec{v}\ast (\vec{v\,'}\ast \vec{v\,''})}
Par conséquent, la loi  \ast  est associative.

2. c)  Montrons que la loi  \ast  admet un élément neutre.
Nous devons déterminer un vecteur  \vec{n} appartenant à V 2 tel que pour tout vecteur  \vec{v}  de V 2, nous avons :  \vec{v}\ast \vec{n}=\vec{v}=\vec{n}\ast \vec{v}.

Soit  \vec{n}=p\vec{i}+q\vec{j}\ \ \ \ \text{où}\ \ (p\,;\,q)\in\R^2  et  \vec{v}=x\vec{i}+y\vec{j}\ \ \ \ \text{où}\ \ (x\,;\,y)\in\R^2. 

\vec{v}\ast \vec{n}=\vec{v}\Longleftrightarrow (x\vec{i}+y\vec{j})\ast(p\vec{i}+q\vec{j})=x\vec{i}+y\vec{j} \\\phantom{\vec{v}\ast \vec{n}=\vec{v}}\Longleftrightarrow (xp+yq)\vec{i}+(xq+yp)\vec{j}=x\vec{i}+y\vec{j} \\\phantom{\vec{v}\ast \vec{n}=\vec{v}}\Longleftrightarrow \left\lbrace\begin{matrix}xp+yq=x\\xq+yp=y\end{matrix}\right.
Nous devons donc résoudre le système  \left\lbrace\begin{matrix}xp+yq=x\\yp+xq=y\end{matrix}\right. d'inconnues p  et q , sachant que x  et y  sont des nombres réels quelconques.

\left\lbrace\begin{matrix}xp+yq=x\\yp+xq=y\end{matrix}\right.\Longleftrightarrow\left\lbrace\begin{matrix}xyp+y^2q=xy\ \ \ (\text{en multipliant les deux membres par }y)\\xyp+x^2q=xy\ \ \ (\text{en multipliant les deux membres par }x)\end{matrix}\right. \\\\\phantom{WWWWWn0}\Longrightarrow y^2q-x^2q=0\ \ \ (\text{en soustrayant membre} \\\phantom{WWWWWWWWWWWWWn0}\text{ à membre les deux équations}) \\\phantom{WWWWWn0}\Longrightarrow (y^2-x^2)q=0\ \ \ \forall(x\,;\,y)\in\R^2 \\\phantom{WWWWWn0}\Longrightarrow \boxed{q=0}

En remplaçant q par 0 dans l'équation xp  + yq  = x , nous obtenons :  xp=x\ \ \ (\forall x\in\R).
D'où  \boxed{p=1}
Nous en déduisons que  \vec{n}=1\vec{i}+0\vec{j}\Longrightarrow\vec{n}=\vec{i}
D'autre part, l'égalité  \vec{v}=\vec{n}\ast \vec{v}  est également vérifiée pour  \vec{n}=\vec{i}  puisque nous avons démontré que la loi  \ast  est commutative.

Par conséquent, la loi  \ast  admet le vecteur  \vec{i} comme élément neutre.

2. d)  Montrons que  (V_2,+,\ast)  est un anneau commutatif unitaire.

  {\red{(V_2,+)}}  est un groupe commutatif car
     + est une loi de composition interne et partout définie dans V 2.
     + est associative dans V 2.
     + est commutative dans V 2.
     + admet le vecteur  \vec{0}  comme élément neutre dans V 2.
     + est symétrisable dans V 2 : tout vecteur  \vec{v}  de V 2 admet un seul symétrique  -\vec{v}  dans V 2.

  La loi  {\red{\ast}}  est associative (voir question 2. b)

  La loi  {\red{\ast}}  est distributive par rapport à + dans  {\red{V_2.}}

Soient les vecteurs  \vec{v} ,  \vec{v\,'}  et  \vec{v\,''}  trois vecteurs quelconques de V 2 tels que  \vec{v}=x\vec{i}+y\vec{j} ,  \vec{v\,'}=x'\vec{i}+y'\vec{j}  et  \vec{v\,''}=x''\vec{i}+y''\vec{j}. 

Montrons que  \vec{v}\ast (\vec{v\,'}+ \vec{v\,''})=\vec{v}\ast \vec{v\,'}+\vec{v}\ast \vec{v\,''}.
\text{D'une part,}\ \vec{v}\ast (\vec{v\,'}+ \vec{v\,''})=((x\vec{i}+y\vec{j})\ast((x'\vec{i}+y'\vec{j})+(x''\vec{i}+y''\vec{j}) \\\phantom{\text{D'une part,}\ (\vec{v}\ast \vec{v\,'})\ast \vec{v\,''}}=((x\vec{i}+y\vec{j})\ast ((x'+x'')\vec{i}+(y'+y'')\vec{j}) \\\phantom{\text{D'une part,}\ (\vec{v}\ast \vec{v\,'})\ast \vec{v\,''}}=(x(x'+x'')+y(y'+y'')\vec{i}+(x(y'+y'')+y(x'+x''))\vec{j} \\\phantom{\text{D'une part,}\ (\vec{v}\ast \vec{v\,'})\ast \vec{v\,''}}={\blue{(xx'+xx''+yy'+yy'')\vec{i}+(xy'+xy''+x'y+x''y)\vec{j}}}
\text{D'autre part,}\ \vec{v}\ast \vec{v\,'}+\vec{v}\ast \vec{v\,''}=(x\vec{i}+y\vec{j})\ast(x'\vec{i}+y'\vec{j})+(x\vec{i}+y\vec{j})\ast(x''\vec{i}+y''\vec{j}) \\\phantom{\text{D'autre part,}\ \vec{v}\ast \vec{v\,'}+\vec{v}\ast \vec{v\,''}}=(xx'+yy')\vec{i}+(xy'+yx')\vec{j}+(xx''+yy'')\vec{i}+(xy''+yx'')\vec{j} \\\phantom{\text{D'autre part,}\ \vec{v}\ast \vec{v\,'}+\vec{v}\ast \vec{v\,''}}=(xx'+yy'+xx''+yy'')\vec{i}+(xy'+yx'+xy''+yx'')\vec{j} \\\phantom{\text{D'autre part,}\ \vec{v}\ast \vec{v\,'}+\vec{v}\ast \vec{v\,''}}={\blue{(xx'+xx''+yy'+yy'')\vec{i}+(xy'+xy''+x'y+x''y)\vec{j}}}
D'où,  \boxed{\vec{v}\ast (\vec{v\,'}+ \vec{v\,''})=\vec{v}\ast \vec{v\,'}+\vec{v}\ast \vec{v\,''}}.

Montrons que  (\vec{v}+\vec{v\,'})\ast  \vec{v\,''}=\vec{v}\ast \vec{v\,''}+\vec{v\,'}\ast \vec{v\,''}.
\text{D'une part,}\ (\vec{v}+\vec{v\,'})\ast  \vec{v\,''}=((x\vec{i}+y\vec{j})+(x'\vec{i}+y'\vec{j}))\ast(x''\vec{i}+y''\vec{j})  \\\phantom{\text{D'une part,}\ (\vec{v}+\vec{v\,'})\ast  \vec{v\,''}}=((x+x')\vec{i}+(y+y')\vec{j})\ast (x''\vec{i}+y''\vec{j}) \\\phantom{\text{D'une part,}\ (\vec{v}+\vec{v\,'})\ast  \vec{v\,''}}=((x+x')x''+(y+y')y'')\vec{i}+((x+x')y''+(y+y')x'')\vec{j} \\\phantom{\text{D'une part,}\ (\vec{v}+\vec{v\,'})\ast  \vec{v\,''}}={\blue{(xx''+x'x''+yy''+y'y'')\vec{i}+(xy''+x'y''+x''y+x''y')\vec{j}}}
\text{D'autre part,}\ \vec{v}\ast \vec{v\,''}+\vec{v\,'}\ast \vec{v\,''}=(x\vec{i}+y\vec{j})\ast(x''\vec{i}+y''\vec{j})+(x'\vec{i}+y'\vec{j})\ast(x''\vec{i}+y''\vec{j}) \\\phantom{\text{D'autre part,}\ \vec{v}\ast \vec{v\,'}+\vec{v}\ast \vec{v\,''}}=(xx''+yy'')\vec{i}+(xy''+yx'')\vec{j}+(x'x''+y'y'')\vec{i}+(x'y''+y'x'')\vec{j} \\\phantom{\text{D'autre part,}\ \vec{v}\ast \vec{v\,'}+\vec{v}\ast \vec{v\,''}}=(xx''+yy''+x'x''+y'y'')\vec{i}+(xy''+yx''+x'y''+y'x'')\vec{j} \\\phantom{\text{D'autre part,}\ \vec{v}\ast \vec{v\,'}+\vec{v}\ast \vec{v\,''}}={\blue{(xx''+x'x''+yy''+y'y'')\vec{i}+(xy''+x'y''+x''y+x''y')\vec{j}}}
D'où,  \boxed{(\vec{v}+\vec{v\,'})\ast  \vec{v\,''}=\vec{v}\ast \vec{v\,''}+\vec{v\,'}\ast \vec{v\,''}}.

Par conséquent, la loi  \ast  est distributive par rapport à + dans V 2.

  La loi  {\red{\ast}}  est commutative (voir question 2. a)

  La loi  {\red{\ast}}  admet un élément neutre (voir question 2. c)

Nous en déduisons que  (V_2,+,\ast)  est un anneau commutatif unitaire.

3.  Soit  \vec{u}\in V_2\setminus \lbrace\vec{0}\rbrace  et soit  E_{\vec{u}}=\lbrace\lambda\vec{u}\,/\,\lambda\in\R\rbrace.

3. a)  Montrons que  (E_{\vec{u}},+)  est un sous-groupe du groupe  (V_2,+).

Un critère rapide permettant de montrer que  (E_{\vec{u}},+)  est un sous-groupe du groupe  (V_2,+) est de montrer que
  E_{\vec{u}}  est un sous-ensemble non vide de V 2
  \forall \vec{v}\,,\,\vec{w}\in E_{\vec{u}},\ \ \vec{v}+(-\vec{w})\in E_{\vec{u}}.

Montrons d'abord que E_{\vec{u}}  est un sous-ensemble non vide de V 2.
Soit  \vec{u}\in V_2\setminus \lbrace\vec{0}\rbrace.  Alors  \vec{u}\in E_{\vec{u}}  (il suffit de prendre  \lambda = 1 ).
Donc  E_{\vec{u}}  est un ensemble non vide.
De plus, si  \vec{v}\in E_{\vec{u}} , alors  \exists\,\lambda\in\R, \vec{u}\in V_2\setminus\lbrace\vec{0}\rbrace:\vec{v}=\lambda\vec{u}.
Puisque   (V_2,+,.)  est un espace vectoriel, nous savons que  (\lambda\in\R, \vec{u}\in V_2\setminus\lbrace\vec{0}\rbrace)\Longrightarrow\lambda\vec{u}\in V_2\setminus\lbrace\vec{0}\rbrace.
D'où  \vec{v}\in V_2\setminus\lbrace\vec{0}\rbrace et par suite,  E_{\vec{u}}  est un sous-ensemble de V 2.
Par conséquent, E_{\vec{u}}  est un sous-ensemble non vide de V 2.

Montrons ensuite que  \forall \vec{v}\,,\,\vec{w}\in E_{\vec{u}},\ \ \vec{v}+(-\vec{w})\in E_{\vec{u}}.

\forall\, \vec{v}\,,\,\vec{w}\in E_{\vec{u}},\ \ \exists\, \lambda_1,\,\lambda_2\in\R:\vec{v}=\lambda_1\vec{u}\ \ \text{et}\ \ \vec{w}=\lambda_2\vec{u} \\\\\Longrightarrow\vec{v}+(-\vec{w})=\vec{v}-\vec{w} \\\phantom{\Longrightarrow\vec{v}+(-\vec{w})}=\lambda_1\vec{u}-\lambda_2\vec{u} \\\phantom{\Longrightarrow\vec{v}+(-\vec{w})}=(\lambda_1-\lambda_2)\vec{u}\in E_{\vec{u}}\ \ \ (\text{car }\lambda_1-\lambda_2\in\R) \\\\\Longrightarrow\boxed{\vec{v}+(-\vec{w})\in E_{\vec{u}}}.
Par conséquent, nous avons montré que  (E_{\vec{u}},+)  est un sous-groupe du groupe  (V_2,+) .

3. b)  Montrons que  (E_{\vec{u}},+,.)  est un sous-espace vectoriel de l'espace  (V_2,+,.).

Un critère rapide permettant de montrer que  (E_{\vec{u}},+,.)  est un sous-espace vectoriel de l'espace  (V_2,+,.) est de montrer que  \forall \vec{v}\,,\,\vec{w}\in E_{\vec{u}},\ \ \forall k\in\R:k\vec{v}+\vec{w}\in E_{\vec{u}}
En appliquant ce critère, nous avons :

\forall\, \vec{v}\,,\,\vec{w}\in E_{\vec{u}},\ \ \exists\, \lambda_1,\,\lambda_2\in\R:\vec{v}=\lambda_1\vec{u}\ \ \text{et}\ \ \vec{w}=\lambda_2\vec{u} \\\\\Longrightarrow \forall\, k\in\R,\ k\vec{v}+\vec{w}=k\,\lambda_1\vec{u}+\lambda_2\vec{u} \\\phantom{\Longrightarrow \forall\, k\in\R,\ k\vec{v}+\vec{w}}=(k\,\lambda_1+\lambda_2)\vec{u}\in E_{\vec{u}}\ \ \ (\text{car }k\,\lambda_1+\lambda_2\in\R) \\\\\Longrightarrow\boxed{k\vec{v}+\vec{w}\in E_{\vec{u}}}
Par conséquent, nous avons montré que  (E_{\vec{u}},+,.)  est un sous-espace vectoriel de l'espace  (V_2,+,.) .

3. c)  Montrons que : ( E_{\vec{u}}  est stable pour  \ast ) equivaut (la famille  (\vec{u}\ast\vec{u}\,,\,\vec{u})  est liée).

  Montrons d'abord que : ( E_{\vec{u}}  est stable pour  \ast ) implique (la famille  (\vec{u}\ast\vec{u}\,,\,\vec{u})  est liée).

E_{\vec{u}}  est stable pour  \ast  signifie que  \boxed{\forall \vec{v}\,,\,\vec{w}\in E_{\vec{u}},\ \ \vec{v}\ast\vec{w}\in E_{\vec{u}}}

Or  \left\lbrace\begin{matrix}\vec{v}\in E_{\vec{u}}\\\vec{w}\in E_{\vec{u}}\\\vec{v}\ast\vec{w}\in E_{\vec{u}}\end{matrix}\right.\ \ \ \Longleftrightarrow\ \ \ \exists\,\lambda_1,\lambda_2,\lambda_3\in\R:\left\lbrace\begin{matrix}\vec{v}=\lambda_1\vec{u}\\\vec{w}=\lambda_2\vec{u}\\\vec{v}\ast\vec{w}=\lambda_3\vec{u}\end{matrix}\right.
D'où  \vec{v}\ast\vec{w}\in E_{\vec{u}}\Longrightarrow\lambda_1\vec{u}\ast\lambda_2\vec{u}=\lambda_3\vec{u}.

En outre, nous savons que   \forall\,\vec{u}\in V_2\setminus\lbrace\vec{0}\rbrace,\ \exists\  \ x,y\in\R:\vec{u}=x\vec{i}+y\vec{j}

Dès lors,

\lambda_1\vec{u}\ast\lambda_2\vec{u}=\lambda_3\vec{u}\Longleftrightarrow\lambda_1(x\vec{i}+y\vec{j})\ast\lambda_2(x\vec{i}+y\vec{j})=\lambda_3\vec{u} \\\phantom{WWWWWWv.}\Longleftrightarrow(\lambda_1x\vec{i}+\lambda_1y\vec{j})\ast(\lambda_2x\vec{i}+\lambda_2y\vec{j})=\lambda_3\vec{u} \\\phantom{WWWWWWv.}\Longleftrightarrow(\lambda_1x\lambda_2x+\lambda_1y\lambda_2y)\vec{i}+(\lambda_1x\lambda_2y+\lambda_1y\lambda_2x)\vec{j}=\lambda_3\vec{u} \\\phantom{WWWWWWv.}\Longleftrightarrow(\lambda_1\lambda_2x^2+\lambda_1\lambda_2y^2)\vec{i}+2\lambda_1\lambda_2xy\vec{j}=\lambda_3\vec{u} \\\phantom{WWWWWWv.}\Longleftrightarrow\lambda_1\lambda_2(x^2+y^2)\vec{i}+2\lambda_1\lambda_2xy\vec{j}=\lambda_3\vec{u} \\\phantom{WWWWWWv.}\Longleftrightarrow\lambda_1\lambda_2[{\blue{(x^2+y^2)\vec{i}+2xy\vec{j}}}]=\lambda_3\vec{u}

\text{Or }\ \vec{u}\ast\vec{u}=(x\vec{i}+y\vec{j})\ast(x\vec{i}+y\vec{j}) \\\phantom{\text{Or }\ \vec{u}\ast\vec{u}}=(xx+yy)\vec{i}+(xy+yx)\vec{j} \\\phantom{\text{Or }\ \vec{u}\ast\vec{u}}={\blue{(x^2+y^2)\vec{i}+2xy\vec{j}}} \\\\\text{D'où }\ \lambda_1\vec{u}\ast\lambda_2\vec{u}=\lambda_3\vec{u}\Longleftrightarrow\lambda_1\lambda_2(\vec{u}\ast\vec{u})=\lambda_3\vec{u} \\\phantom{\text{D'où }\ \lambda_1\vec{u}\ast\lambda_2\vec{u}=\lambda_3\vec{u}}\Longleftrightarrow\vec{u}\ast\vec{u}=\dfrac{\lambda_3}{\lambda_1\lambda_2}\vec{u}\ \ \ (\lambda_1\lambda_2\neq0) \\\phantom{\text{D'où }\ \lambda_1\vec{u}\ast\lambda_2\vec{u}=\lambda_3\vec{u}}\Longrightarrow\boxed{\vec{u}\text{ et }\vec{u}\ast\vec{u}\text{ sont des vecteurs liés}}
Nous avons donc montré que : E_{\vec{u}}  est stable pour  \ast ) implique (la famille  (\vec{u}\ast\vec{u}\,,\,\vec{u})  est liée).

  Montrons ensuite que : (la famille  (\vec{u}\ast\vec{u}\,,\,\vec{u})  est liée) impliqueE_{\vec{u}}  est stable pour  \ast ).

Soit   \left\lbrace\begin{matrix}\vec{v}\in E_{\vec{u}}\\\vec{w}\in E_{\vec{u}}\end{matrix}\right.\ \ \ \Longleftrightarrow\ \ \ \exists\,\lambda_1,\lambda_2\in\R:\left\lbrace\begin{matrix}\vec{v}=\lambda_1\vec{u}\\\vec{w}=\lambda_2\vec{u}\end{matrix}\right.

De plus,  \forall\,\vec{u}\in V_2\setminus\lbrace\vec{0}\rbrace,\ \exists\  \ x,y\in\R:\vec{u}=x\vec{i}+y\vec{j}

Dès lors,

\vec{v}\ast\vec{w}=\lambda_1\vec{u}\ast\lambda_2\vec{u} \\\phantom{WW...}=\lambda_1(x\vec{i}+y\vec{j})\ast\lambda_2(x\vec{i}+y\vec{j}) \\\phantom{WW...}=(\lambda_1x\vec{i}+\lambda_1y\vec{j})\ast(\lambda_2x\vec{i}+\lambda_2y\vec{j}) \\\phantom{WW...}=(\lambda_1x\lambda_2x+\lambda_1y\lambda_2y)\vec{i}+(\lambda_1x\lambda_2y+\lambda_1y\lambda_2x)\vec{j} \\\phantom{WW...}=(\lambda_1\lambda_2x^2+\lambda_1\lambda_2y^2)\vec{i}+2\lambda_1\lambda_2xy\vec{j} \\\phantom{WW...}=\lambda_1\lambda_2(x^2+y^2)\vec{i}+2\lambda_1\lambda_2xy\vec{j} \\\phantom{WW...}=\lambda_1\lambda_2[{\blue{(x^2+y^2)\vec{i}+2xy\vec{j}}}]

\text{Or }\ \vec{u}\ast\vec{u}=(x\vec{i}+y\vec{j})\ast(x\vec{i}+y\vec{j}) \\\phantom{\text{Or }\ \vec{u}\ast\vec{u}}=(xx+yy)\vec{i}+(xy+yx)\vec{j} \\\phantom{\text{Or }\ \vec{u}\ast\vec{u}}={\blue{(x^2+y^2)\vec{i}+2xy\vec{j}}}  \\\\\text{D'où }\ \vec{v}\ast\vec{w}=\lambda_1\lambda_2(\vec{u}\ast\vec{u})

De plus,  \vec{u}\text{ et }\vec{u}\ast\vec{u}\text{ sont des vecteurs liés}\Longrightarrow\exists\ \alpha\in\R:\vec{u}\ast\vec{u}=\alpha\vec{u}.
Dès lors,  \vec{v}\ast\vec{w}=\lambda_1\lambda_2(\alpha\vec{u})=(\lambda_1\lambda_2\alpha)\vec{u}\in E_{\vec{u}} \Longrightarrow\boxed{\vec{v}\ast\vec{w}\in E_{\vec{u}}}.

Nous en déduisons que E_{\vec{u}}  est stable pour  \ast .
Nous avons donc montré que (la famille  (\vec{u}\ast\vec{u}\,,\,\vec{u})  est liée) impliqueE_{\vec{u}}  est stable pour  \ast ).

Par conséquent, E_{\vec{u}}  est stable pour  \ast ) equivaut (la famille  (\vec{u}\ast\vec{u}\,,\,\vec{u})  est liée).

4.  On suppose que :  (\exists\ \alpha\in\R^*)\ :\ \vec{u}\ast\vec{u}=\alpha\vec{u}
On considère l'application \varphi:\R^*\longrightarrow E_{\vec{u}}:x\mapsto\ \dfrac{x}{\alpha}\vec{u}.

4. a)  Montrons que  \varphi  est un isomorphisme de  (\R^*,\times )  vers  (E_{\vec{u}},\ast).

  Montrons d'abord que  \varphi  est un homomorphisme de  (\R^*,\times )  vers  (E_{\vec{u}},\ast).

\forall\ x,\, y\in\R^*,\varphi(x)\ast\varphi(y)=\left(\dfrac{x}{\alpha}\vec{u}\right)\ast\left(\dfrac{y}{\alpha}\vec{u}\right) \\\\\phantom{\forall\ x,\, y\in\R^*,\varphi(x)\ast\varphi(y)}=\left(\dfrac{x}{\alpha}\times\dfrac{y}{\alpha}\right)\vec{u}\ast\vec{u} \\\\\phantom{\forall\ x,\, y\in\R^*,\varphi(x)\ast\varphi(y)}=\left(\dfrac{x}{\alpha}\times\dfrac{y}{\alpha}\right)\alpha\vec{u} \\\\\phantom{\forall\ x,\, y\in\R^*,\varphi(x)\ast\varphi(y)}=\dfrac{x\times y}{\alpha}\vec{u} \\\\\phantom{\forall\ x,\, y\in\R^*,\varphi(x)\ast\varphi(y)}=\varphi(x\times y) \\\\\Longrightarrow\boxed{\forall\ x,\, y\in\R^*,\varphi(x)\ast\varphi(y)=\varphi(x\times y)}
Nous en déduisons que  \varphi  est un homomorphisme de  (\R^*,\times )  vers  (E_{\vec{u}},\ast).

  Montrons ensuite que  \varphi  est une bijection de  \R^*  vers  E_{\vec{u}}.

  Montrons que  \varphi  est une injection.
\forall\ x,\, y\in\R^*,\varphi(x)=\varphi(y)\Longleftrightarrow\dfrac{x}{\alpha}\vec{u}=\dfrac{y}{\alpha}\vec{u} \\\\\phantom{\forall\ x,\, y\in\R^*,\varphi(x)=\varphi(y)}\Longleftrightarrow x\vec{u}= y\vec{u} \\\phantom{\forall\ x,\, y\in\R^*,\varphi(x)=\varphi(y)}\Longleftrightarrow x=y \\\\\Longrightarrow\boxed{\forall\ x,\, y\in\R^*,\varphi(x)=\varphi(y)\Longleftrightarrow x=y}
D'où  \varphi  est une injection.

  Montrons que  \varphi  est une surjection.
Soit un vecteur quelconque  \lambda\vec{u}  de  E_{\vec{u}}.
Nous savons que :  \exists\ x\in\R^*:\varphi(x)=\lambda\vec{u}. . Il suffit de définir x  par  \boxed{x=\lambda\alpha}.
En effet, dans ce cas, nous obtenons :   \varphi(x)=\dfrac{\lambda\alpha}{\alpha}\vec{u}\Longrightarrow\boxed{\varphi(x)=\lambda\vec{u}}
D'où  \varphi  est une surjection.

Nous en déduisons que  \varphi  est une bijection de  \R^*  vers  E_{\vec{u}}. 

  Par conséquent,  \varphi  est un isomorphisme de  (\R^*,\times )  vers  (E_{\vec{u}},\ast)  car  \varphi  est un homomorphisme bijectif.

4. b)  Montrons que  (E_{\vec{u}},+,\ast)  est un corps commutatif.

  {\red{(E_{\vec{u}},+)}}  est un groupe commutatif car nous avons montré à la question 3. a) que  (E_{\vec{u}},+)  est un sous-groupe du groupe commutatif (V_2,+).

  {\red{(E_{\vec{u}}\setminus\lbrace\vec{0}\rbrace,\ast)}}  est un groupe commutatif
En effet, nous savons que  (\R^*,\times)  est un groupe commutatif et que  \varphi  est un isomorphisme de  (\R^*,\times )  vers  (E_{\vec{u}},\ast).
De plus, \varphi(\R^*,\times)=(\varphi(\R^*),\ast)=(E_{\vec{u}}\setminus\lbrace\vec{0}\rbrace,\ast).
D'où  (E_{\vec{u}}\setminus\lbrace\vec{0}\rbrace,\ast)  est un groupe commutatif.

  La loi {\red{\ast}} est distributive par rapport à + car nous avons montré à la question 3. a) que la loi  \ast  est distributive par rapport à + dans  (V_2,+).

Nous en déduisons que  (E_{\vec{u}},+,\ast)  est un corps commutatif.

10 points

exercice 4

Partie I

On considère la fonction g  définie sur I  = ]-1 ; +infini[ par :  g(x)=1+x^2-2x(1+x)\ln(1+x).

1. a)  Montrons que  \lim\limits_{x\to-1^+}g(x)=2.

\lim\limits_{x\to-1^+}g(x)=\lim\limits_{x\to-1^+}(1+x^2)-\lim\limits_{x\to-1^+}(2x)\times\lim\limits_{x\to-1^+}(1+x)\ln(1+x) \\\\\phantom{\lim\limits_{x\to-1^+}g(x)}=(1+1)-(-2)\times\lim\limits_{x\to-1^+}(1+x)\ln(1+x) \\\\\phantom{\lim\limits_{x\to-1^+}g(x)}=2+2\times\lim\limits_{x\to-1^+}(1+x)\ln(1+x) \\\\\text{Or }\lim\limits_{x\to-1^+}(1+x)\ln(1+x)=\lim\limits_{x+1\to0^+}(1+x)\ln(1+x) \\\phantom{\text{Or }\lim\limits_{x\to-1^+}(1+x)\ln(1+x)}=\overset{}{\lim\limits_{t\to0^+}(t\times\ln t)\ \ \ \ (\text{en posant }x+1=t)} \\\phantom{\text{Or }\lim\limits_{x\to-1^+}(1+x)\ln(1+x)}=0\ \ \ \ (\text{par les croissances comparées}) \\\\\text{D'où }\lim\limits_{x\to-1^+}g(x)=2+2\times0\Longrightarrow\boxed{\lim\limits_{x\to-1^+}g(x)=2}

1. b)  Montrons que  \lim\limits_{x\to+\infty}g(x)=-\infty.

Exprimons d'abord g (x ) sous un autre forme.

g(x)=1+x^2-2x(1+x)\ln(1+x) \\\phantom{g(x)}=1+x^2-(2x+2x^2)\ln(1+x) \\\phantom{g(x)}=1+x^2-2x\ln(1+x)-2x^2\ln(1+x) \\\phantom{g(x)}=1+[x^2-2x^2\ln(1+x)]-2x\ln(1+x) \\\phantom{g(x)}=1+x^2[1-2\ln(1+x)]-2x\ln(1+x) \\\\\Longrightarrow\boxed{g(x)=1+x^2[1-2\ln(1+x)]-2x\ln(1+x)}

\text{Or }\left\lbrace\begin{matrix}\lim\limits_{x\to+\infty}x^2=+\infty\ \ \ \ \ \ \ \ \ \ \ \ \ \ \ \ \\\lim\limits_{x\to+\infty}[1-2\ln(1+x)]=-\infty\\\lim\limits_{x\to+\infty}[2x\ln(1+x)]=+\infty\ \ \ \ \end{matrix}\right.\ \ \ \ \Longrightarrow\ \ \ \ \left\lbrace\begin{matrix}\lim\limits_{x\to+\infty}x^2[1-2\ln(1+x)]=-\infty\\\lim\limits_{x\to+\infty}[2x\ln(1+x)]=+\infty\ \ \ \ \end{matrix}\right. \\\phantom{WWWWWWWWWWWWWWnW}\Longrightarrow\lim\limits_{x\to+\infty}\left[\overset{}{x^2[1-2\ln(1+x)]-2x\ln(1+x)}\right]=-\infty \\\phantom{WWWWWWWWWWWWWWnW}\Longrightarrow\lim\limits_{x\to+\infty}\left[\overset{}{1+x^2[1-2\ln(1+x)]-2x\ln(1+x)}\right]=-\infty \\\\\text{Donc }\ \boxed{\lim\limits_{x\to+\infty}g(x)=-\infty}

2.  La fonction  x\mapsto1+x^2  est dérivable sur R (fonction polynôme).
La fonction  x\mapsto2x(1+x)  est dérivable sur R (fonction polynôme).
La fonction  x\mapsto\ln(1+x)  est dérivable sur I  = ]-1 ; +infini[ (composée de la fonction polynôme et de la fonction logarithme).
D'où la fonction  x\mapsto2x\ln(1+x)  est dérivable sur I  = ]-1 ; +infini[ (produit de deux fonctions dérivables sur I ).
Donc la fonction g  est dérivable sur I  = ]-1 ; +infini[ comme différence de deux fonctions dérivables.

Déterminons l'expression de la dérivée g' (x ).

g'(x)=[1+x^2-2x(1+x)\ln(1+x)]' \\\phantom{g'(x)}=0+2x-2\left[\overset{}{x'(1+x)\ln(1+x)+x(1+x)'\ln(1+x)+x(1+x)[\ln(1+x)]'}\right] \\\phantom{g'(x)}=2x-2\left[\overset{}{1\times(1+x)\ln(1+x)+x\times1\times\ln(1+x)+x(1+x)\times\dfrac{1}{x+1}}\right]  \\\phantom{g'(x)}=2x-2\left[(1+x)\ln(1+x)+x\ln(1+x)+\dfrac{x(1+x)}{x+1}\right]  \\\phantom{g'(x)}=2x-2[\ln(1+x)+x\ln(1+x)+x\ln(1+x)+x]  \\\phantom{g'(x)}=2x-2[\ln(1+x)+2x\ln(1+x)+x] \\\phantom{g'(x)}=2x-2\ln(1+x)-4x\ln(1+x)-2x  \\\phantom{g'(x)}=-2\ln(1+x)-4x\ln(1+x) \\\phantom{g'(x)}=-2(\ln(1+x))(1+2x) \\\\\Longrightarrow\boxed{g'(x)=-2(1+2x)\ln(1+x)}

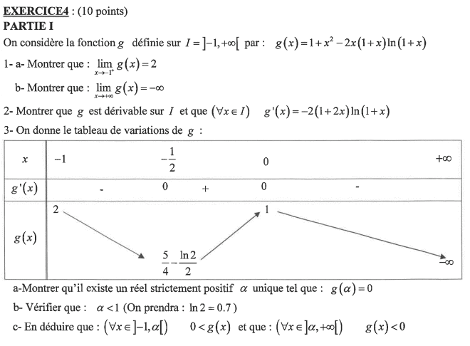
3.  On donne le tableau de variations de g :

\begin{array}{|c|ccccccc|}\hline&&&&&&&& x&-1&&-\dfrac{1}{2}&&0&&+\infty\\&&&&&&& \\\hline&&&&&&&& g'(x)&&-&0&+&0&-&\\&&&&&&&\\\hline &2&&&&1&&&g(x)&&\searrow&&\nearrow&&\searrow&\\&&&\dfrac{5}{4}-\dfrac{\ln2}{2}\approx0,9&&&&-\infty\\\hline \end{array}

3. a)    Sur l'intervalle ]-1 ; 0] :
La fonction g  est continue sur l'intervalle ]-1 ; 0].
Par le tableau de variations de g , nous observons que pour tout x  dans l'intervalle ]-1 ; 0],  \dfrac{5}{4}-\dfrac{\ln2}{2}\le g(x)< 2  et par suite,  g(x)>0.
Dès lors, il n'existe pas de réel x dans l'intervalle ]-1 ; 0] tel que g (x ) = 0.

  Sur l'intervalle [0 ; +infini[ :
La fonction g  est continue et strictement décroissante sur l'intervalle [0 ; +infini[.
g(0)=1>0\ \ \text{et}\ \ \lim\limits_{x\to+\infty}g(x)=-\infty.
En vertu du corollaire du théorème des valeurs intermédiaires, nous déduisons que l'équation g (x ) = 0 possède une et une seule solution sur l'intervalle [0 ; +infini[.

Par conséquent, il existe un réel strictement positif alpha unique tel que :  g(\alpha )=0.

3. b)  Vérifions que :  \alpha <1.

g(1)=1+1^2-2\times1\times2\times\ln2=2-4\ln2\approx2-4\times0,7\Longrightarrow \boxed{g(1)\approx-0,8<0} \\\\\left\lbrace\begin{matrix}g(1)<0\\g(\alpha )=0\end{matrix}\right.\ \ \ \Longrightarrow\ \ \ g(1)<g(\alpha)\ \ \ \Longrightarrow\ \ \ \boxed{1>\alpha}\ \ \ (\text{car }g\text{ est décroissante sur }[0\,;\,+\infty[)
D'où  \alpha <1.

3. c)  Montrons que  \forall\ x\in\ ]-1\,;\,\alpha\,[\ ,\ 0 < g(x).

Nous avons montré dans la question 3. a) que  \forall\ x\in\ ]-1\,;\,0]\ ,\ 0 < g(x).

\text{De plus, }\forall x\in\,[0\,\,;\,\alpha[\ \ \Longrightarrow\ \  x<\alpha \\\phantom{WWWWWWWWx}\Longrightarrow\ \  g(x)>g(\alpha)\ \ \ (\text{car }g\text{ est décroissante sur }[0\,;\,+\infty[) \\\phantom{WWWWWWWWx}\Longrightarrow\ \  g(x)>0\ \ \ \ \ \ \ (\text{car }g(\alpha )=0)
Par conséquent,  \boxed{\forall\ x\in\ ]-1\,;\,\alpha\,[\ ,\ 0 < g(x)}.

Montrons que  \forall\, x\in\ ]\alpha\,;\,+\infty[\ ,\ g(x)<0.

\forall\,x\in\,]\alpha\,;\,+\infty[\ \ \Longrightarrow\ \  x>\alpha \\\phantom{WWWWWW}\Longrightarrow\ \  g(x)<g(\alpha)\ \ \ (\text{car }g\text{ est décroissante sur }[0\,;\,+\infty[) \\\phantom{WWWWWW}\Longrightarrow\ \  g(x)<0\ \ \ \ \ \ \ (\text{car }g(\alpha )=0)
Par conséquent,  \boxed{\forall\, x\in\ ]\alpha\,;\,+\infty[\ ,\ g(x)<0}.

Partie II

On considère la fonction f  définie sur I  = ]-1 ; +infini[ par :  f(x)=\dfrac{\ln(1+x)}{1+x^2}.

1. a)  Calculons :  \lim\limits_{x\to-1^+}f(x).

\left\lbrace\begin{matrix}\lim\limits_{x\to-1^+}\ln(1+x)=\lim\limits_{t\to0^+}\ln t\ \ \ (\text{en posant }x+1=t)\\\lim\limits_{x\to-1^+}(1+x^2)=1+1=2\ \ \ \ \ \ \ \ \ \ \ \ \ \ \ \ \ \ \ \ \ \ \ \ \ \ \ \ \ \ \end{matrix}\right. \ \ \ \Longrightarrow \left\lbrace\begin{matrix}\lim\limits_{x\to-1^+}\ln(1+x)=-\infty\\\lim\limits_{x\to-1^+}(1+x^2)=2\ \ \  \end{matrix}\right. \\\\\Longrightarrow\lim\limits_{x\to-1^+}\dfrac{\ln(1+x)}{1+x^2}=-\infty \\\\\Longrightarrow\boxed{\lim\limits_{x\to-1^+}f(x)=-\infty}

Conséquence graphique :
La courbe (C) admet une asymptote verticale d'équation : x  = -1.

1. b)  Calculons :  \lim\limits_{x\to+\infty}f(x).

\lim\limits_{x\to+\infty}f(x)=\lim\limits_{x\to+\infty}\dfrac{\ln(1+x)}{1+x^2} \\\\\phantom{\lim\limits_{x\to+\infty}f(x)}=\lim\limits_{x\to+\infty}\left[\dfrac{\ln(1+x)}{1+x}\times\dfrac{1+x}{1+x^2}\right] \\\\\phantom{\lim\limits_{x\to+\infty}f(x)}=\lim\limits_{x\to+\infty}\dfrac{\ln(1+x)}{1+x}\times\lim\limits_{x\to+\infty}\dfrac{1+x}{1+x^2} \\\\ \text{Or }\left\lbrace\begin{matrix}\lim\limits_{x\to+\infty}\dfrac{\ln(1+x)}{1+x}=\lim\limits_{t\to+\infty}\dfrac{\ln t}{t}=0\\\\\lim\limits_{x\to+\infty}\dfrac{1+x}{1+x^2}=\lim\limits_{x\to+\infty}\dfrac{x}{x^2}=\lim\limits_{x\to+\infty}\dfrac{1}{x}=0\end{matrix}\right. \\\\\text{D'où, }\lim\limits_{x\to+\infty}f(x)=0\times0=0 \\\\\Longrightarrow\boxed{\lim\limits_{x\to+\infty}f(x)=0}

Conséquence graphique :
La courbe (C) admet une asymptote horizontale en +infini d'équation : y  = 0 (axe des abscisses).

2. a)  La fonction  x\mapsto\ln(1+x)  est dérivable sur I  = ]-1 ; +infini[ (composée de la fonction polynôme et de la fonction logarithme).
La fonction  x\mapsto1+x^2  est dérivable sur R (fonction polynôme).
De plus,  \forall\ x\in\R,1+x^2\neq 0.
Donc la fonction f  est dérivable sur I  = ]-1 ; +infini[ comme quotient de deux fonctions dérivables dont le dénominateur est différent de 0.

Déterminons l'expression de la dérivée f' (x ).

f'(x)=\dfrac{[\ln(1+x)]'\times(1+x^2)-\ln(1+x)\times(1+x^2)'}{(1+x^2)^2} \\\phantom{f'(x)}=\dfrac{ \dfrac{1}{1+x}\times(1+x^2)-\ln(1+x)\times2x}{(1+x^2)^2} \\\phantom{f'(x)}=\dfrac{ \dfrac{1+x^2}{1+x}-2x\ln(1+x)}{(1+x^2)^2} =\dfrac{ \dfrac{1+x^2-2x(1+x)\ln(1+x)}{1+x}}{(1+x^2)^2} =\dfrac{\dfrac{g(x)}{1+x}}{\dfrac{(1+x^2)^2}{1}} \\\phantom{f'(x)}= \dfrac{g(x)}{1+x}\times\dfrac{1}{(1+x^2)^2} \\\\\Longrightarrow\boxed{f'(x)= \dfrac{g(x)}{(1+x)(1+x^2)^2}}

2. b)  Etudions le signe de f' (x ) et les variations de f  sur l'intervalle ]-1 ; +infini[.

Le signe de g (x ) a été étudié dans la partie I, question 3.c).

\forall\ x\in\,]-1\,;\,+\infty[,\ \   \left\lbrace\begin{matrix}x>-1\ \ \ \ \ \\1+x^2>0\end{matrix}\right.\ \ \ \Longrightarrow\ \ \  \left\lbrace\begin{matrix}x+1>0\ \ \\1+x^2>0\end{matrix}\right.

D'où le tableau de signes de f' (x ) et les variations de f  sur l'intervalle ]-1 ; +infini[.

Calculs préliminaires :

\begin{matrix}f(\alpha)=\dfrac{\ln(1+\alpha)}{1+\alpha^2}\ \ \ \ \ \ \ \ \ \ \ \ \ \ \ \ \ \ \ \ \ \ \ \ \ \ \ \ \ \ \ \ \ \ \ \ \ \ \ \ \ \ \\\\\text{Or }g(\alpha)=0\Longleftrightarrow1+\alpha^2-2\alpha(1+\alpha)\ln(1+\alpha)=0\\\\\phantom{\text{Or }g(\alpha}\Longleftrightarrow2\alpha(1+\alpha)\ln(1+\alpha)=1+\alpha^2\\\\\phantom{n}\Longleftrightarrow2\alpha(1+\alpha)\dfrac{\ln(1+\alpha)}{1+\alpha^2}=1\\\\\phantom{}\Longleftrightarrow\dfrac{\ln(1+\alpha)}{1+\alpha^2}=\dfrac{1}{2\alpha(1+\alpha)} \\\\\Longrightarrow\boxed{f(\alpha)=\dfrac{1}{2\alpha(1+\alpha)}}\ \ \ \ \ \ \ \ \ \ \ \ \ \ \ \ \ \ \ \ \ \ \ \ \ \ \ \ \ \ \ \ \ \ \ \ \ \ \ \ \ \end{matrix}

\begin{array}{|c|ccccc|}\hline&&&&&& x&-1&&\alpha&&+\infty\\&&&&& \\\hline &&&&&&g(x)&&+&0&-&\\1+x&&+&+&+&\\ (1+x^2)^2&&+&+&+&\\&&&&&\\\hline&&&&&\\f'(x)&&+&0&-&\\&&&&&\\\hline &&&\dfrac{1}{2\alpha(1+\alpha)}&&&f(x)&&\nearrow&&\searrow&\\&-\infty&&&&0\\\hline \end{array} 

2. c)  Nous avons montré dans la question 2. b) que  f(\alpha)=\dfrac{1}{2\alpha(1+\alpha)}.

Le tableau de variations de f  montre que la fonction f  admet un maximum pour  x=\alpha.
La valeur de ce maximum est égale à  \dfrac{1}{2\alpha(1+\alpha)}.
Nous en déduisons alors que  \forall\ x\in\,]-1\,;\,+\infty]: f(x) \le\dfrac{1}{2\alpha(1+\alpha)}.

3. a)  Déterminons une équation de la tangente (T ) à (C ) au point d'abscisse 0.
Cette équation est de la forme :  y=f'(0)(x-0)+f(0) , soit de la forme  y=f'(0)x+f(0) .
f'(x)= \dfrac{g(x)}{(1+x)(1+x^2)^2}\Longrightarrow f'(0)= \dfrac{g(0)}{(1+0)(1+0^2)^2} \\\phantom{f'(x)= \dfrac{g(x)}{(1+x)(1+x^2)^2}}\Longrightarrow f'(0)= \dfrac{1}{1\times1} \\\phantom{f'(x)= \dfrac{g(x)}{(1+x)(1+x^2)^2}}\Longrightarrow f'(0)= 1 \\\\f(x)=\dfrac{\ln(1+x)}{1+x^2}\Longrightarrow f(0)=\dfrac{\ln(1+0)}{1+0^2} \\\phantom{f(x)=\dfrac{\ln(1+x)}{1+x^2}}\Longrightarrow f(0)=\dfrac{\ln(1)}{1} \\\phantom{f(x)=\dfrac{\ln(1+x)}{1+x^2}}\Longrightarrow f(0)=0

D'où, une équation de la tangente (T ) à (C ) au point d'abscisse 0 est :  \boxed{y=x}

3. b)  Montrons que :  \forall\ x>0, \ \ln(1+x)<x.

Considérons la fonction h  définie sur [0 , +infini[ par :  h(x)=\ln(1+x)-x.
La fonction h  est dérivable sur [0 , +infini[.
h'(x)=\dfrac{1}{1+x}-1=\dfrac{1-1-x}{1+x}\Longrightarrow \boxed{h'(x)=\dfrac{-x}{1+x}} \\\\\forall\ x\in\,]0\,;\,+\infty[,\ \boxed{h'(x)<0}\ \ \ \text{car }\ \ \left\lbrace\begin{matrix}x>0\Longrightarrow -x<0\ \ \\x>0\Longrightarrow 1+x>0\end{matrix}\right.\ \ \ \Longrightarrow\ \ \ \dfrac{-x}{1+x}<0
D'où, la fonction h  est strictement décroissante sur [0 , +infini[.
Nous en déduisons que  

\forall\ x\in\,]0\,;\,+\infty[,\ x>0\Longrightarrow h(x)<h(0) \\\\\phantom{\forall\ x\in\,]0\,;\,+\infty[,\ }x>0\Longrightarrow h(x)<0\ \ \ \ \text{car }h(0) = \ln(1+0)-0=0 \\\\\phantom{\forall\ x\in\,]0\,;\,+\infty[,\ }x>0\Longrightarrow\ln(1+x)-x<0 \\\\\phantom{\forall\ x\in\,]0\,;\,+\infty[,\ }\boxed{x>0\Longrightarrow\ln(1+x)<x}

3. c)  Montrons que :  \forall\ x>0, \ f(x)<x.

Nous savons par la question précédente que :  \forall\ x\in\,]0\,;\,+\infty[,\ \boxed{x>0\Longrightarrow\ln(1+x)<x}
Dès lors, pour tout x  > 0,

\ln(1+x)<x\Longrightarrow\dfrac{\ln(1+x)}{x}<1<1+x^2 \\\\\phantom{\ln(1+x)<x}\Longrightarrow\dfrac{\ln(1+x)}{x}<1+x^2 \\\\\phantom{\ln(1+x)<x}\Longrightarrow\dfrac{\ln(1+x)}{1+x^2}<x\ \ \ \ (\text{car }x>0\ \text{ et }1+x^2>0.) \\\\\phantom{\ln(1+x)<x}\Longrightarrow\boxed{f(x)<x}

3. d)  Représentation graphique de (T ) et de (C ).

Bac (A et B) Maroc 2019 (rattrapage) : image 6


Partie III

1. a)  Calculons  J=\int\limits_0^1f(x)\,\text{d}x.

Changement de variable :   t=\dfrac{1-x}{1+x}.
t=\dfrac{1-x}{1+x}\Longleftrightarrow(1+x)t=1-x \\\phantom{t=\dfrac{1-x}{1+x}}\Longleftrightarrow t+tx=1-x \\\phantom{t=\dfrac{1-x}{1+x}}\Longleftrightarrow x+tx=1-t \\\phantom{t=\dfrac{1-x}{1+x}}\Longleftrightarrow (1+t)x=1-t \\\phantom{t=\dfrac{1-x}{1+x}}\Longleftrightarrow x=\dfrac{1-t}{1+t}\ \ \ \ (t\neq-1).

Changement de bornes :  

\left\lbrace\begin{matrix}x=0\Longleftrightarrow t=1\\x=1\Longleftrightarrow t=0\end{matrix}\right.

Dérivons x  par rapport à t .

\dfrac{\text{d}x}{\text{d}t}=\left(\dfrac{1-t}{1+t}\right)'=\dfrac{(1-t)'\times(1+t)-(1-t)\times(1+t)'}{(1+t)^2} \\\phantom{\dfrac{dx}{dt}=\left(\dfrac{1-t}{1+t}\right)'}=\dfrac{(-1)\times(1+t)-(1-t)\times1}{(1+t)^2} \\\phantom{\dfrac{dx}{dt}=\left(\dfrac{1-t}{1+t}\right)'}=\dfrac{-1-t-1+t}{(1+t)^2} \\\phantom{\dfrac{dx}{dt}=\left(\dfrac{1-t}{1+t}\right)'}=\dfrac{-2}{(1+t)^2} \\\\\Longrightarrow \dfrac{\text{d}x}{\text{d}t}=\dfrac{-2}{(1+t)^2} \\\\\Longrightarrow \boxed{\text{d}x=\dfrac{-2}{(1+t)^2}\text{d}t}

Exprimons f (x ) en fonction de t .

f(x)=\dfrac{\ln\left(1+\dfrac{1-t}{1+t}\right)}{1+\left(\dfrac{1-t}{1+t}\right)^2}=\dfrac{\ln\left(\dfrac{1+t+1-t}{1+t}\right)}{\dfrac{(1+t)^2+(1-t)^2}{(1+t)^2}}=\dfrac{\ln\left(\dfrac{2}{1+t}\right)}{\dfrac{1+2t+t^2+1-2t+t^2}{(1+t)^2}} \\\phantom{f(x)}=\dfrac{\ln\left(\dfrac{2}{1+t}\right)}{\dfrac{2+2t^2}{(1+t)^2}} =\dfrac{\ln\left(\dfrac{2}{1+t}\right)}{\dfrac{2(1+t^2)}{(1+t)^2}} \\\\\Longrightarrow\boxed{f(x)=\ln\left(\dfrac{2}{1+t}\right)\times\dfrac{(1+t)^2}{2(1+t^2)}}

D'où,

J=\int\limits_0^1f(x)\,\text{d}x=\int\limits_1^0\ln\left(\dfrac{2}{1+t}\right)\times\dfrac{(1+t)^2}{2(1+t^2)}\times\dfrac{-2}{(1+t)^2}\,\text{d}t \\\\\phantom{J}=\int\limits_1^0\ln\left(\dfrac{2}{1+t}\right)\times\dfrac{-1}{(1+t^2)}\,\text{d}t=\int\limits_{{\red{0}}}^{\red{1}}\ln\left(\dfrac{2}{1+t}\right)\times\dfrac{{\red{1}}}{(1+t^2)}\,\text{d}t \\\\\phantom{J}=\int\limits_0^1[\ln2-\ln(1+t)]\times\dfrac{1}{(1+t^2)}\,\text{d}t \\\\\phantom{J}=\int\limits_0^1\dfrac{\ln2}{1+t^2}\,\text{d}t-\int\limits_0^1\dfrac{\ln(1+t)}{1+t^2}\,\text{d}t \\\\\phantom{J}=\ln2\times\int\limits_0^1\dfrac{1}{1+t^2}\,\text{d}t-J
Dès lors,

2J=\ln2\times\int\limits_0^1\dfrac{1}{1+t^2}\,\text{d}t\Longrightarrow2J=\ln2\times\left[\overset{^}{\arctan t}\right]\limits_0^1 \\\phantom{2J=\ln2\times\int\limits_0^1\dfrac{1}{1+t^2}\,\text{d}t}\Longrightarrow2J=\ln2\times(\arctan1-\arctan0) \\\phantom{2J=\ln2\times\int\limits_0^1\dfrac{1}{1+t^2}\,\text{d}t}\Longrightarrow2J=\ln2\times(\dfrac{\pi}{4}-0) \\\phantom{2J=\ln2\times\int\limits_0^1\dfrac{1}{1+t^2}\,\text{d}t}\Longrightarrow J=\ln2\times\dfrac{\pi}{8} \\\\\Longrightarrow\boxed{J=\dfrac{\pi}{8}\,\ln2}

1. b)  Puisque la tangente (T ) est située au-dessus de la courbe (C ) entre les droites d'équations x  = 0 et x  = 1, l'aire demandée se calcule en unité d'aire par :

\mathscr{A}=\int\limits_0^1(x-f(x))\,\text{d}x=\int\limits_0^1x\,\text{d}x-\int\limits_0^1f(x)\,\text{d}x=\left[\dfrac{x^2}{2}\right]\limits_0^1-\dfrac{\pi}{8}\,\ln2=\left(\dfrac{1}{2}-0\right)-\dfrac{\pi}{8}\,\ln2 \\\\\Longrightarrow\mathscr{A}=\left(\dfrac{1}{2}-\dfrac{\pi}{8}\,\ln2\right)\ \text{u.a.}.
Or  ||\vec{i}||=||\vec{j}||=2\ \text{cm}\Longrightarrow\boxed{1\text{ u.a.}=4\,\text{cm}^2.}

Par conséquent, l'aire du domaine plan limité par la courbe (C ), la tangente (T ), la droite d'équation x  = 0 et la droite d'équation x  = 1 est égale à  \left(\dfrac{1}{2}-\dfrac{\pi}{8}\,\ln2\right)\times4\,\text{cm}^2 , soit  \overset{.}{\boxed{\left(2-\dfrac{\pi}{2}\,\ln2\right)\,\text{cm}^2.}}

2.  A l'aide d'une intégration par parties, calculons  K=\int\limits_0^1\dfrac{\arctan(x)}{1+x}\,\text{d}x.

\underline{\text{Formule de l'intégrale par parties}}\ :\ {\blue{\int\limits_0^1u(x)v'(x)\,\text{d}x=\left[\overset{}{u(x)v(x)}\right]\limits_0^1-\int\limits_0^1u'(x)v(x)\,\text{d}x}}. \\\\\left\lbrace\begin{matrix}u(x)=\arctan(x)\ \ \ \ \ \ \ \ \ \Longrightarrow\ \ \ \ u'(x)=\dfrac{1}{1+x^2}\ \ \\\overset{}{v'(x)=\dfrac{1}{1+x}\ \ \ \ \ \ \ \ \ \ \ \ \ \Longrightarrow\ \ \ \ \ v(x)=\ln(1+x)}\end{matrix}\right.

\text{Dès lors, }K=\int\limits_0^1\dfrac{\arctan(x)}{1+x}\,\text{d}x=\int\limits_0^1\left(\arctan(x)\times \dfrac{1}{1+x}\right)\,\text{d}x \\\phantom{\text{Dès lors, }I_n}=\left[\arctan(x)\times\ln(1+x)\right]\limits_0^1- \int\limits_0^1\dfrac{1}{1+x^2}\times\ln(1+x)\,\text{d}x \\\\\phantom{\text{Dès lors, }I_n}=\left[\arctan(x)\times\ln(1+x)\right]\limits_0^1- \int\limits_0^1\dfrac{\ln(1+x)}{1+x^2}\,\text{d}x \\\\\phantom{\text{Dès lors, }I_n}=\left[\arctan1\times\ln2-0\right]-\dfrac{\pi}{8}\ln2 \\\phantom{\text{Dès lors, }I_n}=\dfrac{\pi}{4}\ln2-\dfrac{\pi}{8}\ln2 \\\\\phantom{\text{Dès lors, }I_n}=\dfrac{2\pi}{8}\ln2-\dfrac{\pi}{8}\ln2 \\\\\Longrightarrow\boxed{K=\dfrac{\pi}{8}\ln2}

F I N




Publié le
ceci n'est qu'un extrait
Pour visualiser la totalité des cours vous devez vous inscrire / connecter (GRATUIT)
Inscription Gratuite se connecter
Merci à
Hiphigenie
/
Panter Correcteur
pour avoir contribué à l'élaboration de cette fiche


Vous devez être membre accéder à ce service...

Pas encore inscrit ?

1 compte par personne, multi-compte interdit !

Ou identifiez-vous :


Rester sur la page

Inscription gratuite

Fiches en rapport

parmi 1768 fiches de maths

Désolé, votre version d'Internet Explorer est plus que périmée ! Merci de le mettre à jour ou de télécharger Firefox ou Google Chrome pour utiliser le site. Votre ordinateur vous remerciera !