Fiche de mathématiques
> >

Bac Mathématiques

Tunisie 2023

Section : Sciences Techniques

(Contrôle)

Partager :



Durée : 3h
Coefficient: 3

5 points

exercice 1


Bac Tunisie 2023 section SciencesTechniques (contrôle) : image 2

5 points

exercice 2


Bac Tunisie 2023 section SciencesTechniques (contrôle) : image 6

Bac Tunisie 2023 section SciencesTechniques (contrôle) : image 5

4 points

exercice 3


Bac Tunisie 2023 section SciencesTechniques (contrôle) : image 4

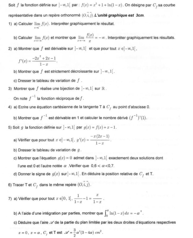
6 points

exercice 4


Bac Tunisie 2023 section SciencesTechniques (contrôle) : image 3

Annexe à rendre avec la copie


Bac Tunisie 2023 section SciencesTechniques (contrôle) : image 1
Publié le
ceci n'est qu'un extrait
Pour visualiser la totalité des cours vous devez vous inscrire / connecter (GRATUIT)
Inscription Gratuite se connecter
Merci à
Panter Correcteur
pour avoir contribué à l'élaboration de cette fiche


Vous devez être membre accéder à ce service...

Pas encore inscrit ?

1 compte par personne, multi-compte interdit !

Ou identifiez-vous :


Rester sur la page

Inscription gratuite

Fiches en rapport

parmi 1768 fiches de maths

Désolé, votre version d'Internet Explorer est plus que périmée ! Merci de le mettre à jour ou de télécharger Firefox ou Google Chrome pour utiliser le site. Votre ordinateur vous remerciera !