Fiche de mathématiques
> >

Nouvelle Calédonie

(remplacement 2025 Jour 1)

Épreuve de spécialité Mathématiques

Partager :
L'usage de calculatrice avec mode examen actif est autorisé.

L'usage de la calculatrice sans mémoire « type collège »est autorisé.

La qualité de rédaction, la clarté et la précision des raisonnements seront prises en compte dans l'appréciation de la copie.

Les traces de recherche, même incomplètes ou infructueuses, seront valorisées.

5 points

exercice 1



On dispose d'un sac et de deux urnes A et B.

Le sac contient 4 boules : 1 boule avec la lettre A et 3 boules avec la lettre B.

L'urne A contient 5 billets : 3 billets de 50 euros et 2 billets de 10 euros.

L'urne B contient 4 billets : 1 billet de 50 euros et 3 billets de 10 euros.

Un joueur prend au hasard une boule dans le sac.

Si c'est une boule avec la lettre A, il prend au hasard un billet dans l'urne A.

Si c'est une boule avec la lettre B, il prend au hasard un billet dans l'urne B.

On note les événements suivants :

A : "le joueur obtient une boule avec la lettre A" ;

C : "le joueur obtient un billet de 50 euros".

1.    Recopier et compléter l'arbre ci-après représentant la situation.

Bac spécialité maths 2025 Nouvelle Calédonie (remplacement) Jour 1 : image 2

2.    Quelle est la probabilité de l'événement « Le joueur obtient une boule avec la lettre A et un billet de 50 euros "?

3.    Démontrer que la probabilité  P (C )  est égale à  0,337 5 .

4.    Le joueur a obtenu un billet de 10 euros.

L'affirmation « Il y a plus de 80 % de chances qu'il ait au préalable obtenu une boule avec la lettre B » est-elle vraie ? Justifier.

5.    On note  X_1  la variable aléatoire qui donne la somme, en euros, obtenue par le joueur.

Exemple : si le joueur obtient un billet de 50 euros, on a  X_1 = 50 .

Montrer que l'espérance  E (X_1 )  est égale à  23, 50  et que la variance  V (X_1 )  est égale à  357, 75 .

6.    Après avoir remis la boule dans le sac et le billet dans l'urne où il a été pris, le joueur joue une deuxième partie. On note  X_2  la variable aléatoire qui donne la somme obtenue par le joueur lors de cette deuxième partie.

On note  Y  la variable aléatoire ainsi définie :  Y = X_1 + X_2 .

a.    Montrer que  E (Y ) = 47 .

b.   Expliquer pourquoi on a  V (Y ) = V (X_1 ) + V (X_2 ) 

7.    Le joueur joue de même une troisième, une quatrième,. . ., une centième partie.

On définit donc de la même façon les variables aléatoires  X_3 , X_4 , . . . , X_{100} .

On note  Z  la variable aléatoire définie par  Z = X_1 + X_2 + . . . + X_{100} .

Démontrer que la probabilité que  Z  appartienne à l'intervalle  ]1 950 \,;\, 2 750[  est supérieure ou égale à  0, 75 .

4 points

exercice 2



Dans l'espace rapporté à un repère orthonormé  (O ; \overrightarrow i , \overrightarrow j , \overrightarrow k)  , on considère les points :

 A(4 ; -4 ; 4),~ B(5 ; -3 ; 2),~ C(6 ; -2;  3),~ D(5 ; 1 ; 1) 

1.    Démontrer que le triangle ABC est rectangle en B .

2.    Justifier qu'une équation cartésienne du plan (ABC) est :  x - y - 8 = 0. 

3.   On note  d  la droite passant par le point  D  et orthogonale au plan  (ABC) .

a.    Déterminer une représentation paramétrique de la droite  d  .

b.    On note  H  le projeté orthogonal du point  D  sur le plan  (ABC ) .

Déterminer les coordonnées du point  H .

c.    Montrer que  DH = 2 \sqrt 2 

4.  

a.   Montrer que le volume de la pyramide ABCD est égal à 2.

On rappelle que le volume  V  d'une pyramide se calcule à l'aide de la formule :

 V=\dfrac 13\times \mathcal B\times h\,,  où  \mathcal B  est l'aire d'une base de la pyramide et  h  la hauteur correspondante.

b.    On admet que l'aire du triangle  BCD  est égale à  \dfrac{\sqrt{42}}{2}\,. 

En déduire la valeur exacte de la distance du point  A  au plan  (BCD) .

6 points

exercice 3



On considère  n  un entier naturel non nul.

On considère la fonction  f_n  définie sur l'intervalle  [0 ; 1[  par :  f_n (x) = x^n e^{1-x} .

On admet que la fonction  f_n  est dérivable sur  [0 ; 1]  et on note  f _n '  sa fonction dérivée.


Partie A

Dans cette partie on étudie le cas où  n = 1 .

On étudie donc la fonction  f_1  définie sur  [0 ; 1]  par :  f_1 (x) = xe^{1-x} .

1.    Montrer que  f_1' (x)  est strictement positive pour tout réel  x  de  [0 ; 1] .

2.    En déduire le tableau de variations de la fonction  f_1  sur l'intervalle  [0 ; 1] 

3.    En déduire que l'équation  f_1 (x) = 0, 1  admet une unique solution dans l'intervalle  [0 ; 1] 


Partie B

On considère la suite  (u_n )  définie pour tout entier naturel  n  non nul par  u_n = \displaystyle\int_{0}^{1} f_n (x)\,\text dx , c'est-à-dire  u_n = \displaystyle\int_{0}^{1} x^n e^{1-x}\,\text dx .

On admet que  u_1 = e - 2 .

1.  

a.    Justifier que pour tout  x \in [0 ; 1]  et pour tout entier naturel  n  non nul,  0 \le x^{n+1} \le x^n .

b.    En déduire que pour tout entier naturel  n  non nul,  0 \le u_{n+1} \le u_n .

c.    Montrer que la suite  (u_n )  est convergente.

2.  

a.    À l'aide d'une intégration par parties, démontrer que pour tout entier naturel  n  non nul on a :  u_{n+1} = (n + 1)u_n - 1 .

b.    On considère le script Python ci-dessous définissant la fonction suite() :

Bac spécialité maths 2025 Nouvelle Calédonie (remplacement) Jour 1 : image 1


Recopier et compléter le script Python ci-dessus pour que la fonction suite( ) renvoie la valeur de  \displaystyle\int_{0}^{1} x^8 e^{1-x}\,\text d x  .

3.  

a.    Démontrer que pour tout entier naturel  n  non nul on a :  u_n \le \dfrac{e}{n + 1} .

b.    En déduire la limite de la suite  (u_n ) .

5 points

exercice 4



Pour chacune des affirmations suivantes, indiquer si elle est vraie ou fausse, en justifiant la réponse.

Une réponse non justifiée n'est pas prise en compte.

Une absence de réponse n'enlève pas de points.


1.    On considère la fonction  f  définie sur l'intervalle  ]0; +\infty[  par :  f (x) = \ln(x) - x^2 .

Affirmation 1 :  \lim\limits_{x\to+\infty} f (x) = -\infty .


2.    On considère l'équation différentielle  (E):\,-2y ' + 3y = \sin x + 8\cos x .

On considère la fonction  f  définie sur R par :  f (x) = 2\cos (x) - \sin (x) .

Affirmation 2 : La fonction  f  est solution de l'équation différentielle  (E) .


3.   On considère la fonction  g  définie sur l'intervalle  ]0 ; +\infty[  par :  g (x) = \ln(3x + 1) + 8 .

On considère la suite  (u_n )  définie par  u_0 = 25  et pour tout entier naturel  n  :  u_{n+1} = g (u_n ) .

On admet que la suite  (u_n )  est strictement positive.

Affirmation 3 : La suite  (u_n )  est décroissante.


4.    On considère une fonction affine  h  définie sur R.

On note  k  la fonction définie sur R par  k(x) = x^4 + x^2 + h(x) .

Affirmation 4 : La fonction  k  est convexe sur R.


5.    Une anagramme d'un mot est le résultat d'une permutation des lettres de ce mot.

Exemple : le mot BAC possède 6 anagrammes : BAC, BCA, ABC, ACB, CAB, CBA.

Affirmation 5 : Le mot EULER possède 120 anagrammes.





Bac spécialité maths 2025

Nouvelle Calédonie (remplacement)

Jour 1

Partager :



5 points

exercice 1

On dispose d'un sac et de deux urnes A et B. Le sac contient 4 boules : 1 boule avec la lettre A et 3 boules avec la lettre B.
L'urne A contient 5 billets : 3 billets de 50 euros et 2 billets de 10 euros.
L'urne B contient 4 billets : 1 billet de 50 euros et 3 billets de 10 euros.

Un joueur prend au hasard une boule dans le sac.
Si c'est une boule avec la lettre A, il prend au hasard un billet dans l'urne A.
Si c'est une boule avec la lettre B, il prend au hasard un billet dans l'urne B.

On note les événements suivants :
A : ''le joueur obtient une boule avec la lettre A'' ;
C : ''le joueur obtient un billet de 50 euros''.

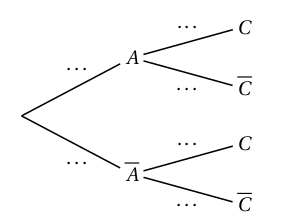
1.  Arbre de probabilité représentant la situation.

Un joueur prend au hasard une boule dans le sac.
Le sac contient 4 boules : 1 boule avec la lettre A et 3 boules avec la lettre B.
D'où  \overset{ { \white{ _. } } } { P(A)=\dfrac{1}{4}=0,25   }  et par suite  \overset{ { \white{ _. } } } { P(\overline A)= \dfrac 34=0,75   } .

Un joueur prend au hasard une boule dans le sac.
Si c'est une boule avec la lettre A, il prend au hasard un billet dans l'urne A.
L'urne A contient 5 billets : 3 billets de 50 euros et 2 billets de 10 euros.
D'où  \overset{ { \white{ _. } } } { P_A(C)=\dfrac35=0,6   }  et par suite  \overset{ { \white{ _. } } } { P_A(\overline C)= \dfrac 25=0,4   } .

Un joueur prend au hasard une boule dans le sac.
Si c'est une boule avec la lettre B, il prend au hasard un billet dans l'urne B.
L'urne B contient 4 billets : 1 billet de 50 euros et 3 billets de 10 euros.

D'où  \overset{ { \white{ _. } } } { P_{\overline A}(C)=\dfrac14=0,25   }  et par suite  \overset{ { \white{ _. } } } { P_{\overline A}(\overline C)= \dfrac 34=0,75   } .

Nous pouvons alors dresser l'arbre de probabilité modélisant la situation :

Bac spécialité maths 2025 Nouvelle Calédonie (remplacement) Jour 1 : image 4


2.  Nous devons déterminer la probabilité de l'événement '' Le joueur obtient une boule avec la lettre A et un billet de 50 euros '', soit  \overset{ { \white{ _. } } } { P(A\cap C)   } .

{ \white{ xxi } } P(A\cap C)=P(A)\times P_A(C) \\\overset{ { \white{ . } } } {  \phantom{ P(A\cap C)}=0,25\times 0,6} \\\overset{ { \white{ . } } } {  \phantom{ P(A\cap C)}=0,15} \\\\\Longrightarrow\quad\boxed{P(A\cap C)=0,15}


3.  Nous devons démontrer que la probabilité  \overset{ { \white{ _. } } } {  P(C)  }  est égale à  \overset{ { \white{ _. } } } { 0,3375   }  .

Les événements  \overset{{\white{_.}}}{A}  et  \overset{{\white{}}}{\overline{A}}  forment une partition de l'univers.
En utilisant la formule des probabilités totales, nous obtenons :

{ \white{ xxi } }  P(C)=P(A\cap C)+P(\overline {A}\cap C) \\\overset{ { \white{ _. } } } {\phantom{P(C)}=0,15+P(\overline{A})\times P_{\overline{A}}(C) } \\\overset{ { \white{ _. } } } {\phantom{P(C)}=0,15+0,75\times 0,25    } \\\overset{ { \white{ _. } } } {\phantom{P(C)}=0,3375    } \\\\\Longrightarrow\quad \boxed{P(C)=0,3375}


4.  Le joueur a obtenu un billet de 10 euros.
Nous devons déterminer si l'affirmation '' Il y a plus de 80 % de chances qu'il ait au préalable obtenu une boule avec la lettre B '' est vraie.

Calculons  \overset{ { \white{ _. } } } {  P_{\overline C}(\overline A)  } .

{ \white{ xxi } }  P_{\overline C}(\overline A)=\dfrac{P(\overline A\cap \overline C)}{P(\overline C)} \\\overset{ { \white{ . } } } {  \phantom{ P_{\overline C}(\overline A)}=\dfrac{P(\overline A)\times P_{\overline A}(\overline C)}{1-P(C)}} \\\overset{ { \white{ . } } } {  \phantom{ P_{\overline C}(\overline A)}=\dfrac{0,75\times 0,75}{1-0,3375}} \\\overset{ { \white{ . } } } {  \phantom{ P_{\overline C}(\overline A)}=\dfrac{0,5625}{0,6625}\approx 0,85} \\\\\Longrightarrow\quad \boxed{P_{\overline C}(\overline A)\approx 0,85}

Donc sachant que le joueur a obtenu un billet de 10 euros, la probabilité qu'il ait au préalable obtenu une boule avec la lettre B est environ égale à 85 %.
Par conséquent, l'affirmation est vraie.


5.  On note  \overset{ { \white{ _. } } } {  X_1  }  la variable aléatoire qui donne la somme, en euros, obtenue par le joueur.
Exemple : si le joueur obtient un billet de 50 euros, on a  \overset{ { \white{ _. } } } { X_1=50   }  .

Nous devons montrer que l'espérance  \overset{ { \white{ _. } } } { E(X_1)   }  est égale à  \overset{ { \white{ . } } } { 23,5   }  et que la variance  \overset{ { \white{ _. } } } { V(X_1)   }  est égale à  \overset{ { \white{ . } } } {  357,75  } .

Résumons la loi de probabilité de la variable aléatoire  \overset{ { \white{ _. } } } {  X_1  }  dans un tableau.

{\white{WWWWW}}\begin{array}{|c|cccccc|cccccc|}\hline&&&&&&&&&&&&& x_i&&&&10&&&&&&50&&\\&&&&&&&&&&&& \\\hline &&&&&&&&&&&&&P(X=x_i)&&&&0,6625&&&&&&0,3375&&\\&&&&&&&&&&&&\\ \hline \end{array}

\overset{ { \white{ . } } }{\bullet}{\white{x}}Calculons l'espérance  \overset{ { \white{ _. } } } { E(X_1)   } .

{ \white{ xxi } }  E(X_1)=10\times 0,6625+50\times 0,3375 \\\overset{ { \white{ . } } } {  \phantom{   E(X_1)}=6,625+16,875} \\\overset{ { \white{ . } } } {  \phantom{   E(X_1)}=23,5} \\\\\Longrightarrow\quad\boxed{E(X_1)=23,5}

\overset{ { \white{ . } } }{\bullet}{\white{x}}Calculons la variance  \overset{ { \white{ _. } } } { V(X_1)   } .

{ \white{ xxi } }  V (X1) = 0,6625\times(10-23,5)^2+0,3375\times(50-23,5)^2  \\\overset{ { \white{ . } } } {  \phantom{V (X1)} = 0,6625\times182,25+0,3375\times702,25}  \\\overset{ { \white{ . } } } {  \phantom{V (X1)} =357,75 } \\\\\Longrightarrow\quad\boxed{V (X1) =357,75 }}


6.  Après avoir remis la boule dans le sac et le billet dans l'urne où il a été pris, le joueur joue une deuxième partie.
On note  \overset{ { \white{ _. } } } {  X_2  }  la variable aléatoire qui donne la somme obtenue par le joueur lors de cette deuxième partie.

On note  \overset{ { \white{ _. } } } {  Y  }  la variable aléatoire ainsi définie :  \overset{ { \white{ _. } } } { Y=X_1+X_2   }  .

6. a)  Nous devons montrer que  \overset{ { \white{ _. } } } { E(Y)=47   } .

Les variables aléatoires  \overset{ { \white{ _. } } } {  X_1  }  et  \overset{ { \white{ _. } } } { X_2   }  suivent la même loi.
Elles ont donc la même espérance mathématique, soit  \overset{ { \white{ _. } } } { E(X_1)=E(X_2)=23,5   } .

Par la linéarité de l'espérance, nous obtenons :

{ \white{ xxi } }  E(Y)=E(X_1+X_2) \\\overset{ { \white{ . } } } {  \phantom{ E(Y)  }=E(X_1)+E(X_2)  } \\\overset{ { \white{ . } } } {  \phantom{ E(Y)  }=23,5+23,5  } \\\overset{ { \white{ . } } } {  \phantom{ E(Y)  }=47  } \\\\\Longrightarrow\quad\boxed{E(Y)=47}


6. b)  Nous devons expliquer pourquoi on a  \overset{ { \white{ _. } } } {  V (Y ) = V (X_1 ) + V (X_2 )   } .

Les deux tirages sont indépendants car on a remis la boule dans le sac et le billet dans l'urne après le premier tirage.

Dès lors par la propriété d'additivité, nous obtenons :

{ \white{ xxi } } V(Y)=V(X_1+X_2) \\\overset{ { \white{ . } } } {  \phantom{ E(Y)  }=V(X_1)+V(X_2)  } \\\\\Longrightarrow\quad\boxed{V(Y)=V(X_1)+V(X_2)}


7.  Le joueur joue de même une troisième, une quatrième,. . ., une centième partie.
On définit donc de la même façon les variables aléatoires  \overset{ { \white{ _. } } } {  X_3 , X_4 , . . . , X_{100} } .
On note  \overset{ { \white{ _. } } } {  Z  }  la variable aléatoire définie par  \overset{ { \white{ _. } } } { Z = X_1 + X_2 + . . . + X_{100}   }  .

Nous devons démontrer que la probabilité que  \overset{ { \white{ _. } } } { Z   }  appartienne à l'intervalle  \overset{ { \white{ _. } } } { ]\,1 950 \;;\; 2 750\,[   }  est supérieure ou égale à  \overset{ { \white{ _. } } } { 0,75   }  .

Les variables aléatoires  \overset{ { \white{ _. } } } {  X_1\cdots , X_2 ,  X_3 , \cdots, X_{100}  }  suivent la même loi.
Elles ont donc la même espérance mathématique égale à 23,5.
Par la linéarité de l'espérance, nous obtenons :

{ \white{ xxi } }  E(Z)=E(X_1+X_2+\cdots+ X_{100}) \\\overset{ { \white{ . } } } {  \phantom{ E(Y)  }=E(X_1)+E(X_2) +\cdots+E(X_{100}) } \\\overset{ { \white{ . } } } {  \phantom{ E(Y)  }=100\times E(X_1)  } \\\overset{ { \white{ . } } } {  \phantom{ E(Y)  }=100\times 23,5  } \\\overset{ { \phantom{ . } } } {  \phantom{ E(Y)  }=2\,350  } \\\\\Longrightarrow\quad\boxed{E(Z)=2\,350}


Les 100 tirages sont indépendants.
Dès lors par la propriété d'additivité, nous obtenons :

{ \white{ xxi } }   V(Z)=V(X_1+X_2+\cdots+X_{100}) \\\overset{ { \white{ . } } } {  \phantom{ V(Z)  }=V(X_1)+V(X_2) +\cdots+V(X_{100}) } \\\overset{ { \white{ . } } } {  \phantom{V(Z)  }=100\times V(X_1)  } \\\overset{ { \white{ . } } } {  \phantom{ V(Z)  }=100\times 357,75 } \\\overset{ { \phantom{ . } } } {  \phantom{ V(Z)  }=35\,775  } \\\\\Longrightarrow\quad\boxed{V(Z)=35\,775}


Nous devons démontrer que  \overset{ { \white{ _. } } } { P\Big(Z\in\;]\,1\,950\;;\;2\,750\,[\Big)\geq 0,75   } .

{ \white{ xxi } }P\Big(Z\in\;]\,1\,950\;;\;2\,750\,[\Big)=P(1\,950< Z< 2\,750)  \\\overset{ { \white{ . } } } {  \phantom{   P\Big(Z\in\;]\,1\,950\;;\;2\,750\,[\Big)}=P(1\,950-2\,350< Z-2\,350< 2\,750-2\,350) } \\\overset{ { \white{ . } } } {  \phantom{   P\Big(Z\in\;]\,1\,950\;;\;2\,750\,[\Big)}=P(-400< Z-2\,350< 400) }  \\\overset{ { \white{ . } } } {  \phantom{   P\Big(Z\in\;]\,1950\;;\;2750\,[\Big)}=P(|Z-2350|<400)} \\\overset{ { \phantom{ . } } } {  \phantom{   P\Big(Z\in\;]\,1950\;;\;2750\,[\Big)}=1-P\Big(|Z-2350|\geq400\Big)} \\\\\Longrightarrow\quad\boxed{P\Big(Z\in\;]\,1950\;;\;2750\,[\Big)=1-P\Big(|Z-2350|\geq400\Big)}

Inégalité de Bienaymé-Tchebychev :  \overset{ { \white{ _. } } } {  P(\,|\,Z-E(Z)\,|\geq a)\leq \dfrac{V(Z)}{a^2}\quad\text{où}\quad a>0.  } 

Utilisons l'inégalité de Bienaymé-Tchebychev en posant  \overset{ { \white{ . } } } { a=400   } 

{ \white{ xxi } }   P(\,|\,Z-2\,350)\,|\geq 400)\leq \dfrac{35\,775}{400^2}\quad\Longleftrightarrow\quad    P(\,|\,Z-2\,350)\,|\geq 400)\leq \dfrac{35\,775}{160\,000} \\\overset{ { \white{ . } } } {  \phantom{    P(\,|\,Z-2\,350)\,|\geq 400)\leq \dfrac{35\,775}{400^2}}\quad\Longleftrightarrow\quad   - P(\,|\,Z-2\,350)\,|\geq 400)\geq -\dfrac{35\,775}{160\,000}}  \\\overset{ { \white{ . } } } {  \phantom{    P(\,|\,Z-2\,350)\,|\geq 400)\leq \dfrac{35\,775}{400^2}}\quad\Longleftrightarrow\quad   \boxed{1- P(\,|\,Z-2\,350)\,|\geq 400)\geq 1-\dfrac{35\,775}{160\,000}} }

D'où  \overset{ { \white{ _. } } } {  \boxed{  P\Big(Z\in\;]\,1950\;;\;2750\,[\Big)\geq 1-\dfrac{35\,775}{160\,000}}  } 

Or  \overset{ { \white{ _. } } } {   1-\dfrac{35\,775}{160\,000}\approx 0,7764\;{\red{\geq0,75}}  } .

Par conséquent, la probabilité que  \overset{ { \white{ _. } } } { Z   }  appartienne à l'intervalle  \overset{ { \white{ _. } } } { ]\,1 950 \;;\; 2 750\,[   }  est supérieure ou égale à  \overset{ { \white{ _. } } } { 0,75   }  .


4 points

exercice 2

Dans l'espace rapporté à un repère orthonormé  \overset{ { \white{ _. } } } { (O ; \overrightarrow i , \overrightarrow j , \overrightarrow k)   }  , on considère les points :

 \overset{ { \white{ _. } } } { A(4\; ; \;-4\; ; \;4),~ B(5\; ;\; -3 \;; \;2),~ C(6\; ; \;-2\;;\; 3),~ D(5\; ;\; 1 \;; \;1)    } .


1.  Nous devons démontrer que le triangle  \overset{ { \white{ _. } } } { ABC   }  est rectangle en  \overset{ { \white{ _. } } } {  B  }  .

En effet,

{ \white{ xxi } }  \begin{cases}A(4\;;\;-4\;;\;4)\\ \overset{ { \white{ . } } } { B(5\;;\;-3\;;\;2)}\end{cases}\quad\Longrightarrow\quad \overrightarrow{ AB }\begin{pmatrix}5-4\\-3+4\\2-4\end{pmatrix} \quad\Longrightarrow\quad \overrightarrow{ AB }\begin{pmatrix}1\\1\\-2\end{pmatrix}   \\\\  \begin{cases}B(5\;;\;-3\;;\;2)\\ \overset{ { \white{ . } } } { C(6\;;\;-2\;;\;3)}\end{cases}\quad\Longrightarrow\quad \overrightarrow{ BC}\begin{pmatrix}6-5\\-2+3\\3-2\end{pmatrix}  \quad\Longrightarrow\quad \overrightarrow{BC}\begin{pmatrix}1\\1\\1\end{pmatrix}  \\\\\Longrightarrow\quad \overrightarrow{ AB }\cdot \overrightarrow{BC }=1\times1+1\times1-2\times1 \\\overset{ { \white{ . } } } {  \phantom{ \Longrightarrow\quad \overrightarrow{ AB }\cdot \overrightarrow{ BC }}=1+1-2} \\\overset{ { \phantom{ . } } } {  \phantom{ \Longrightarrow\quad \overrightarrow{ AB }\cdot \overrightarrow{ BC }}=0}
{ \white{ xxi } }\\\\\Longrightarrow\quad \boxed{\overrightarrow{ AB }\cdot \overrightarrow{ BC }=0}

Dès lors, les vecteurs  \overrightarrow{ AB }  et  \overrightarrow{ BC }  sont orthogonaux.

Par conséquent, le triangle  \overset{ { \white{ _. } } } { ABC   }  est rectangle en  \overset{ { \white{ _. } } } {  B  } .


2.  Nous devons justifier qu'une équation cartésienne du plan  \overset{ { \white{ _. } } } {  (ABC)  }  est :  \overset{ { \white{ _. } } } { x - y - 8 = 0.    } .

Nous avons montré que le triangle  \overset{ { \white{ _. } } } { ABC   }  est rectangle en  \overset{ { \white{ _. } } } {  B  }  et par suite, les points  \overset{ { \white{ _. } } } {A,\, B\,, C    }  ne sont pas alignés.
Ils définissent donc un plan  \overset{ { \white{ _. } } } { (ABC)   } .
Nous montrerons qu'une équation cartésienne de ce plan  \overset{ { \white{ _. } } } { (ABC)   }  est  \overset{ { \white{ . } } } { x - y - 8 = 0    }  en montrant que les coordonnées des points  \overset{ { \white{ _. } } } {A,\, B\,, C    }  vérifient cette équation.

{ \white{ xxi } }  \overset{ { \phantom{ . } } } { \bullet}{\white{x}} x_A- y_A - 8 = 4-(-4)-8 \\\overset{ { \phantom{ . } } } {  \phantom{  \overset{ { \phantom{ . } } } { \bullet}{\phantom{x}} x_A- y_A - 8 }= 4+4-8} \\\overset{ { \phantom{ . } } } {  \phantom{  \overset{ { \phantom{ . } } } { \bullet}{\phantom{x}} x_A- y_A - 8 }=0} \\\\\Longrightarrow\quad\boxed{ x_A- y_A - 8 =0}

{ \white{ xxi } } \overset{ { \phantom{ . } } } { \bullet}{\white{x}} x_B- y_B - 8 = 5-(-3)-8 \\\overset{ { \phantom{ . } } } {  \phantom{  \overset{ { \phantom{ . } } } { \bullet}{\phantom{x}} x_B- y_B - 8 }= 5+3-8} \\\overset{ { \phantom{ . } } } {  \phantom{  \overset{ { \phantom{ . } } } { \bullet}{\phantom{x}} x_A- y_A - 8 }=0} \\\\\Longrightarrow\quad\boxed{ x_B- y_B - 8 =0}

{ \white{ xxi } }  \overset{ { \phantom{ . } } } { \bullet}{\white{x}} x_C- y_C - 8 = 6-(-2)-8 \\\overset{ { \phantom{ . } } } {  \phantom{  \overset{ { \phantom{ . } } } { \bullet}{\phantom{x}} x_C- y_C - 8 }= 6+2-8} \\\overset{ { \phantom{ . } } } {  \phantom{  \overset{ { \phantom{ . } } } { \bullet}{\phantom{x}} x_C- y_C - 8 }=0} \\\\\Longrightarrow\quad\boxed{ x_C- y_C - 8 =0}

Les coordonnées des points  \overset{ { \white{ _. } } } {A,\, B\,, C    }  vérifient l'équation  \overset{ { \white{ . } } } { x - y - 8 = 0    } .
Par conséquent, une équation cartésienne du plan  \overset{ { \white{ _. } } } {  (ABC)  }  est :  \overset{ { \white{ _. } } } { \boxed{x - y - 8 = 0}    } .


3.  On note  \overset{ { \white{ _. } } } {  d  }  la droite passant par le point  \overset{ { \white{ _. } } } {  D  }  et orthogonale au plan  \overset{ { \white{ _. } } } { (ABC)   }  .

3. a)  Nous devons déterminer une représentation paramétrique de la droite  \overset{ { \white{ _. } } } { d   }  .

La droite  \overset{ { \white{ _. } } } {  d  }  est orthogonale au plan  \overset{ { \white{ _. } } } { (ABC)   } .
Dès lors, un vecteur directeur de  \overset{ { \white{ _. } } } {  d  }  est un vecteur normal au plan  \overset{ { \white{ _. } } } {  (ABC)  } .
Or une équation cartésienne du plan  \overset{ { \white{ _. } } } { (ABC) }  est  \overset{ { \white{ . } } } { x - y - 8 = 0    } .
Donc un vecteur normal au plan  \overset{ { \white{ _. } } } { (ABC) }  est le vecteur  \overset{ { \white{ _. } } } {  \overrightarrow n\begin{pmatrix}1\\ -1\\0\end{pmatrix}  } .
Il s'ensuit qu'un vecteur directeur de  \overset{ { \white{ _. } } } {  d  }  est le vecteur  \overset{ { \white{ _. } } } {  \overrightarrow n\begin{pmatrix}1\\ -1\\0\end{pmatrix}  } .

De plus, la droite  \overset{ { \white{ _. } } } {  d  }  la droite passe par le point  \overset{ { \white{ _. } } } {  D\,(5\;;\;1\;;\;1)  } .
Nous en déduisons qu'une représentation paramétrique de la droite  \overset{ { \white{ _. } } } {  d  }  est :  \overset{ { \white{ _. } } } { \begin{cases}x=5+ 1\times t\\y=1+(-1)\times t\qquad\text{avec }t\in\R \\z= 1+0\times t\end{cases}   } ,
soit  \overset{ { \white{ _. } } } { \boxed{\begin{cases}x=5+ t\\y=1- t\qquad\text{avec }t\in\R \\z= 1\end{cases} }  } 


3. b)  On note  \overset{ { \white{ _. } } } {  H  }  le projeté orthogonal du point  \overset{ { \white{ _. } } } {  D  }  sur le plan  \overset{ { \white{ _. } } } { (ABC)   }  .
Nous devons déterminer les coordonnées du point  \overset{ { \white{ _. } } } {   H }  .

Par définition de la droite  \overset{ { \white{ _. } } } {  d  } , le point  \overset{ { \white{ _. } } } {  H  }  est le point d'intersection de la droite  \overset{ { \white{ _. } } } {  d  }  et du plan  \overset{ { \white{ _. } } } { (ABC)   } .

Résolvons le système suivant :

{ \white{ xxi } } \begin{cases}x=5+  t\\y=1-t \\z= 1\\x-y-8=0\end{cases}\quad\Longleftrightarrow\quad \begin{cases}x=5+  t\\y=1-t \\z= 1\\ (5+t)-(1-t)-8=0\end{cases}\quad\Longleftrightarrow\quad \begin{cases}x=5+  t\\y=1-t \\z= 1\\5+t-1+t-8=0\end{cases} \\\overset{ { \white{ . } } } {  \phantom{   \begin{cases}x=5+  t\\y=1-t \\z= 1\\x-y-8=0\end{cases}}\quad\Longleftrightarrow\quad \begin{cases}x=5+  t\\y=1-t \\z= 1\\2t=4\end{cases}\quad\Longleftrightarrow\quad \begin{cases}x=5+  t\\y=1-t \\z= 1\\t=2\end{cases}   } \\\overset{ { \white{ . } } } {  \phantom{   \begin{cases}x=5+  t\\y=1-t \\z= 1\\x-y-8=0\end{cases}}\quad\Longleftrightarrow\quad \begin{cases}x=5+2\\y=1-2 \\z= 1\\t=2\end{cases}\quad\Longleftrightarrow\quad  \boxed{\begin{cases}x=7\\y=-1 \\z= 1\\t=2\end{cases} } }

Par conséquent, nous obtenons le point  \overset{ { \white{ _. } } } {  \boxed{H\,(7\;;\;-1\;;\;1)}  } .


3. c)  Nous devons montrer que  \overset{ { \white{ _. } } } {  DH = 2 \sqrt 2   } .

En effet,

{ \white{ xxi } }  DH =\sqrt{(7- 5)^2 + (-1 - 1)^2 + (1 - 1)^2} \\\overset{ { \white{ . } } } {  \phantom{ DH} =\sqrt{2^2 + (-2)^2 + 0} } \\\overset{ { \white{ . } } } {  \phantom{ DH} =\sqrt{4+4} } \\\overset{ { \white{ . } } } {  \phantom{ DH} =\sqrt{8} } \\\overset{ { \phantom{ . } } } {  \phantom{ DH} =2\sqrt{2} } \\\\\Longrightarrow\quad\boxed{DH=2\sqrt 2}


4. a)  Nous devons montrer que le volume  \overset{ { \white{ _. } } } { V   }  de la pyramide  \overset{ { \white{ _. } } } {  ABCD  }  est égal à 2.

Nous savons que  \overset{ { \white{ _. } } } {  V=\dfrac 13\times \mathcal B\times h  } , où  \overset{ { \white{ _. } } } { \mathcal B   }  est l'aire d'une base de la pyramide et  \overset{ { \white{ _. } } } {  h  }  la hauteur correspondante.

Nous choisirons comme base le triangle  \overset{ { \white{ _. } } } { ABC   }  rectangle en  \overset{ { \white{ _. } } } {  B  }  et  \overset{ { \white{ _. } } } { DH   }  comme hauteur correspondante.

En utilisant les coordonnées trouvées dans la question 1, nous déduisons que :

{ \white{ xxi } }  \begin{cases}AB=\sqrt{1^2+1^2+(-2)^2}\\BC=\sqrt{1^2+1^2+1^2}\end{cases}\quad\Longrightarrow\quad \boxed{\begin{cases}AB=\sqrt{6}\\BC=\sqrt{3}\end{cases}}

D'où l'aire de la base est donnée par :

{ \white{ xxi } } \mathcal B=\dfrac{AB\times BC}{2} \\\overset{ { \white{ . } } } {  \phantom{\mathcal B}=\dfrac{\sqrt 6\times \sqrt 3}{2}  } \\\overset{ { \white{ . } } } {  \phantom{\mathcal B}=\dfrac{\sqrt {18}}{2}  } \\\overset{ { \white{ . } } } {  \phantom{\mathcal B}=\dfrac{3\sqrt {2}}{2}  } \\\\\Longrightarrow\quad\boxed{\mathcal B=\dfrac{3\sqrt {2}}{2}  }

De plus nous avons montré que la hauteur est  \overset{ { \white{ _. } } } { h=DH   } , soit  \overset{ { \white{ _. } } } { \boxed{h=2\sqrt 2}   } 

Nous en déduisons alors le volume  \overset{ { \white{ _. } } } { V   }  de la pyramide  \overset{ { \white{ _. } } } {  ABCD  } .

{ \white{ xxi } }  V=\dfrac 13\times \dfrac{3\sqrt {2}}{2}  \times 2\sqrt 2 \\\overset{ { \white{ . } } } {  \phantom{  V } =\dfrac {1}{\cancel 3}\times \dfrac{\cancel3\sqrt {2}}{\cancel2}  \times \cancel2\sqrt 2 } \\\overset{ { \white{ . } } } {  \phantom{  V } =\sqrt 2\times\sqrt 2 } \\\overset{ { \white{ . } } } {  \phantom{  V } =2 } \\\\\Longrightarrow\quad \boxed{V=2}


4. b)  On admet que l'aire du triangle  \overset{ { \white{ _. } } } { BCD   }  est égale à  \overset{ { \white{ _. } } } { \dfrac{\sqrt{42}}{2}   } .
Nous devons en déduire la valeur exacte de la distance du point  \overset{ { \white{ _. } } } {  A  }  au plan  \overset{ { \white{ _. } } } { (BCD)   }  .

La distance du point  \overset{ { \white{ _. } } } {  A  }  au plan  \overset{ { \white{ _. } } } { (BCD)   }  est la distance du point  \overset{ { \white{ _. } } } {  A  }  à son projeté orthogonal sur le plan  \overset{ { \white{ _. } } } {  (BCD)  }  que nous noterons  \overset{ { \white{ _. } } } {  P  } .

Calculons le volume de la pyramide en choisissant comme base le triangle  \overset{ { \white{ _. } } } { BCD   }  et  \overset{ { \white{ _. } } } { AP   }  comme hauteur correspondante.

L'énoncé nous signale que l'aire du triangle  \overset{ { \white{ _. } } } { BCD   }  est égale à  \overset{ { \white{ _. } } } { \dfrac{\sqrt{42}}{2}   } .
Nous obtenons alors :  \overset{ { \white{ _. } } } { V=\dfrac 13\times \dfrac{\sqrt {42}}{2}  \times AP\quad\Longleftrightarrow\quad \boxed{V=\dfrac{\sqrt {42}}{6}\times AP}   } .
Or nous avons montré dans la question 4. a) que  \overset{ { \white{ _. } } } { V=2   } .

Nous obtenons alors :

{ \white{ xxi } } \dfrac{\sqrt {42}}{6}\times AP=2\quad\Longleftrightarrow\quad AP=\dfrac{12}{\sqrt{42}} \\\overset{ { \white{ . } } } {  \phantom{ \dfrac{\sqrt {42}}{6}\times AP=2}\quad\Longleftrightarrow\quad AP=\dfrac{12\sqrt{42}}{42}} \\\overset{ { \white{ . } } } {  \phantom{ \dfrac{\sqrt {42}}{6}\times AP=2}\quad\Longleftrightarrow\quad \boxed{AP=\dfrac{2\sqrt{7}}{42}}}

Par conséquent, la valeur exacte de la distance du point  \overset{ { \white{ _. } } } {  A  }  au plan  \overset{ { \white{ _. } } } { (BCD)   }  est  \overset{ { \white{ _. } } } { \boxed{\dfrac{2\sqrt{7}}{42}}   } 


6 points

exercice 3

On considère  \overset{ { \white{ -. } } } {  n  }  un entier naturel non nul.
On considère la fonction  \overset{ { \white{ _. } } } {  f_n  }  définie sur l'intervalle  \overset{ { \white{ . } } } {  [0\;;\;1]  }  par :  \overset{ { \white{ _. } } } { f_n (x) = x^n \text e^{1-x}   }  .
On admet que la fonction  \overset{ { \white{ _. } } } { f_n   }  est dérivable sur  \overset{ { \white{ . } } } { [0\;;\;1]   }  .

Partie A

On étudie la fonction  \overset{ { \white{ _. } } } { f_1   }  définie sur  \overset{ { \white{ . } } } {  [0\;;\;1]   }  par :  \overset{ { \white{ _. } } } { f_1 (x) = x\text e^{1-x}   }  .

1.  Nous devons montrer que  \overset{ { \white{ _. } } } { f_1'(x)   }  est strictement positive pour tout réel  \overset{ { \white{ -. } } } { x   }  de  \overset{ { \white{ . } } } { [0\;;\;1[   }  .

Pour tout réel  \overset{ { \white{ -. } } } { x   }  de  \overset{ { \white{ . } } } { [0\;;\;1[} ,

{ \white{ xxi } }  f_1' (x) = \Big(x\text e^{1-x} \Big)' \\\overset{ { \white{ . } } } {  \phantom{ f_1' (x) }= x'\times\text e^{1-x} +x\times (\text e^{1-x})' } \\\overset{ { \white{ . } } } {  \phantom{ f_1' (x) }= 1\times\text e^{1-x} +x\times (-\text e^{1-x}) } \\\overset{ { \white{ . } } } {  \phantom{ f_1' (x) }= (1-x)\,\text e^{1-x}  } \\\\\Longrightarrow\quad\boxed{\forall\,x\in[0\;;\;1[,\quad f_1'(x)=(1-x)\,\text e^{1-x}  }

\text{Or }\quad x\in[0\;;\;1[\quad\Longrightarrow\quad x<1 \\\overset{ { \white{ . } } } {  \phantom{  \text{Or }\quad  x\in[0\;;\;1]}\quad\Longrightarrow\quad -x> -1 } \\\overset{ { \white{ . } } } {  \phantom{   \text{Or }\quad x\in[0\;;\;1]}\quad\Longrightarrow\quad \boxed{1-x>0} }

De plus l'exponentielle est strictement positive sur  \overset{ { \white{ _. } } } {   \R  }  et en particulier sur  \overset{ { \white{ . } } } {  [0\;;\;1[   } .
Dès lors, pour tout réel  \overset{ { \white{ -. } } } { x   }  de  \overset{ { \white{ . } } } { [0\;;\;1[   } ,
 \overset{ { \white{ _. } } } {  \begin{cases}1-x>0\\\text e^{1-x}>0  \end{cases}\quad\Longrightarrow\quad  (1-x)\,\text e^{1-x}>0\quad\Longrightarrow\quad \boxed{f_1'(x)> 0}  } 
Par conséquent,  \overset{ { \white{ _. } } } { f_1'(x)   }  est strictement positive pour tout réel  \overset{ { \white{ -. } } } { x   }  de  \overset{ { \white{ . } } } { [0\;;\;1[   }  .


2.  Nous devons en déduire le tableau de variations de la fonction  \overset{ { \white{ _. } } } { f_1   }  sur l'intervalle  \overset{ { \white{ . } } } {  [0\;;\;1]  } 

Puisque  \overset{ { \white{ _. } } } { f_1'(x)   }  est strictement positive pour tout réel  \overset{ { \white{ -. } } } { x   }  de  \overset{ { \white{ . } } } { [0\;;\;1[   }  , nous en déduisons que la fonction  \overset{ { \white{ _. } } } { f_1   }  est strictement croissante sur l'intervalle  \overset{ { \white{ . } } } {  [0\;;\;1]  } .

D'où le tableau de variations de la fonction  \overset{ { \white{ _. } } } { f_1   }  sur l'intervalle  \overset{ { \white{ . } } } {  [0\;;\;1]  } 

 \begin{matrix}f_1(0)=0\times\text e^{1-0}\\\phantom{f_1(0)}=0\phantom{xxxxx}\\\\f_1(1)=1\times\text e^{1-1}\\\phantom{f_1(1)}=1\times1\phantom{xx}\\\phantom{f_1(1)}=1\phantom{xxxxx}\end{matrix} \begin{matrix} \\||\\||\\||\\||\\||\\||\\||\\||\\||\\||\\||\\|| \\\phantom{WWW}\end{matrix} \begin{array}{|c|ccccc|}\hline &&&&&\\x&0&&&&+\infty\\ &&&&&\\\hline &&&&&\\ f'(x)&&+&+&+&\\&&&&&\\\hline &&&&&1\\&&&&\nearrow&\\f&&&\nearrow&&\\&&\nearrow&&&\\&0&&&&\\\hline \end{array}



3.  Nous devons en déduire que l'équation  \overset{ { \white{ _. } } } { f_1(x)=0,1   }  admet une unique solution dans l'intervalle  \overset{ { \white{ . } } } {  [0\;;\;1]  } .

La fonction  \overset{ { \white{ . } } } {f_1  }  est continue et strictement croissante sur l'intervalle  \overset{ { \white{ . } } } { [0\;;\;1]} .
De plus,  \overset{ { \white{ . } } } { \begin{cases}f_1(0)=0<0,1\\ \overset{ { \phantom{ . } } } {f_1(1)=1>0,1}\end{cases}\quad\Longrightarrow\quad \boxed{0,1\in\;[f_1(0)\;;\;f_1(1)]} }    

Par le corollaire du théorème des valeurs intermédiaires, il existe un unique réel  \overset{ { \white{ . } } } { \alpha \in\;  [0\;;\;1]}  tel que  \overset{ { \white{ . } } } { f_1(\alpha)=0,1. } 
Par conséquent, l'équation  \overset{ { \white{ _. } } } {  f_1(x)=0,1  }  admet une solution unique  \overset{ { \white{ _. } } } { \alpha   }  dans l'intervalle  \overset{ { \white{ _. } } } {   [0\;;\;1]  } .

Partie B

On considère la suite  \overset{ { \white{ _. } } } {  (u_n)  }  définie pour tout entier naturel  \overset{ { \white{ -. } } } {  n  }  non nul par  \overset{ { \white{ _. } } } {  u_n = \displaystyle\int_{0}^{1} f_n (x)\,\text dx  }  , c'est-à-dire  \overset{ { \white{ _. } } } { u_n = \displaystyle\int_{0}^{1} x^n \text e^{1-x}\,\text dx   }  .

On admet que  \overset{ { \white{ _. } } } {  u_1 = \text e - 2  }  .

1. a)  Nous devons justifier que pour tout  \overset{ { \white{ . } } } { x \in [0 ; 1]   }  et pour tout entier naturel  \overset{ { \white{ -. } } } {   n }  non nul,  \overset{ { \white{ _. } } } { 0 \le x^{n+1} \le x^n   }  .

En effet,

{ \white{ xxi } }  x\in[0\;;\;1]\quad\Longrightarrow\quad 0\leq x \leq 1 \\\overset{ { \white{ . } } } {  \phantom{  x\in[0\;;\;1]}\quad\Longrightarrow\quad 0{\red{\,\times x^n}}\leq x{\red{\,\times x^n}} \leq 1{\red{\,\times x^n}}\qquad(\text{car }x^n\geq 0)} \\\overset{ { \white{ . } } } {  \phantom{  x\in[0\;;\;1]}\quad\Longrightarrow\quad \boxed{0\leq x^{n+1} \leq x^n}}


1. b)  Nous devons en déduire que pour tout entier naturel  \overset{ { \white{ -. } } } {  n  }  non nul,  \overset{ { \white{ . } } } { 0 \le u_{n+1} \le u_n   }  .

Pour tout réel  \overset{ { \white{ -. } } } {   x } ,

{ \white{ xxi } }  \begin{cases}0\leq x^{n+1} \leq x^n\\\text e^{1-x}>0\end{cases}\quad\Longrightarrow\quad 0\leq x^{n+1}\,\text e^{1-x} \leq x^n\,\text e^{1-x} \\\overset{ { \white{ . } } } {  \phantom{ \begin{cases}0\leq x^{n+1} \leq x^n\\\text e^{1-x}>0\end{cases}}\quad\Longrightarrow\quad 0\leq \displaystyle\int_0^1 x^{n+1}\,\text e^{1-x}\, \text dx\leq \displaystyle\int_0^1 x^n\,\text e^{1-x} \, \text dx} \\\overset{ { \white{ . } } } {  \phantom{ \begin{cases}0\leq x^{n+1} \leq x^n\\\text e^{1-x}>0\end{cases}}\quad\Longrightarrow\quad \boxed{0\leq u_{n+1}\leq u_{n}}}


1. c)  Nous devons montrer que la suite  \overset{ { \white{ _. } } } { (u_n)   }  est convergente.

Nous avons montré dans la question 1. b) que la suite \overset{ { \white{ _. } } } { (u_n) } est décroissante et minorée par 0.
Par le théorème de convergence monotone, nous en déduisons que cette suite  \overset{ { \white{ _. } } } { (u_n) }  est convergente.


2. a)  À l'aide d'une intégration par parties, démontrer que pour tout entier naturel  \overset{ { \white{ . } } } {  n  }  non nul on a :  \overset{ { \white{ _. } } } { u_{n+1} = (n + 1)u_n - 1   }  .

Calculons  \overset{ { \white{ . } } } {  u_{n+1}=\displaystyle\int_0^{1} x^{n+1}\,\text e^{1-x} \, \text dx } .

\underline{\text{Formule de l'intégrale par parties}}\ :\ {\blue{\displaystyle\int_0^1u(x)v'(x)\,\text{d}x=\left[\overset{}{u(x)v(x)}\right]\limits_0^1- \displaystyle\int_0^1u'(x)v(x)\,\text{d}x}}.  \\ \\ \begin{cases}u(x)=x^{n+1}\quad\Longrightarrow\quad u'(x)=(n+1)x^n \\\\v'(x)=\text e^{1-x}\phantom{W}\quad\Longrightarrow\quad v(x)=-\,\text e^{1-x}\end{cases}

\text{Dès lors }\;\overset{ { \white{ . } } } {u_{n+1}=\displaystyle\int_0^{1} x^{n+1}\,\text e^{1-x} \, \text dx =\Big[-x^{n+1}\text e^{1-x}\Big]_0^1-\displaystyle\int_0^1(n+1)x^n(-\text e^{1-x})\,\text{d}x}  \\\overset{ { \white{ . } } } {\phantom{\text{Dès lors }\;u_{n+1}=\displaystyle\int_0^{1} x^{n+1}\,\text e^{1-x} \, \text dx }=\Big[-x^{n+1}\text e^{1-x}\Big]_0^1+(n+1)\displaystyle\int_0^1x^n\text e^{1-x}\,\text{d}x}  \\\overset{ { \white{ . } } } {\phantom{\text{Dès lors }\;u_{n+1}=\displaystyle\int_0^{1} x^{n+1}\,\text e^{1-x} \, \text dx }=(-1-0)+(n+1)u_n}  \\\overset{ { \phantom{ . } } } {\phantom{\text{Dès lors }\;u_{n+1}=\displaystyle\int_0^{1} x^{n+1}\,\text e^{1-x} \, \text dx }=-1+(n+1)u_n} \\\\\Longrightarrow\quad\boxed{u_{n+1}=(n+1)u_n-1}


2. b)  Ci-dessous le script Python complété pour que la fonction suite() renvoie la valeur de  \overset{ { \white{ _. } } } { \displaystyle\int_{0}^{1} x^8 \text e^{1-x}\,\text d x }  .

Bac spécialité maths 2025 Nouvelle Calédonie (remplacement) Jour 1 : image 3


3. a)  Nous devons démontrer que pour tout entier naturel  \overset{ { \white{ -. } } } { n   }  non nul on a :  \overset{ { \white{ _. } } } {u_n \le \dfrac{\text e}{n + 1}}  .

Pour tout  \overset{ { \white{ . } } } { x\in [0\;;\;1]   } , pour tout  \overset{ { \white{ _. } } } {  n\in\N^*  } ,

{ \white{ xxi } } 0\leq x\leq 1\quad\Longrightarrow\quad -x\leq 0 \\\overset{ { \white{ . } } } {  \phantom{ 0\leq x\leq 1}\quad\Longrightarrow\quad  1-x\leq 1 } \\\overset{ { \white{ . } } } {  \phantom{ 0\leq x\leq 1}\quad\Longrightarrow\quad \ \text e^{1-x}\leq \text e^1 } \\\overset{ { \white{ . } } } {  \phantom{ 0\leq x\leq 1}\quad\Longrightarrow\quad  \text e^{1-x}\leq \text e}
{ \white{ xxi } }  .\overset{ { \white{ . } } } {  \phantom{ 0\leq x\leq .}\quad\Longrightarrow\quad  x^n\,\text e^{1-x}\leq x^n\,\text e\qquad\text{car }x^n\geq 0} \\\overset{ { \white{ . } } } {  \phantom{ 0\leq x\leq 1}\quad\Longrightarrow\quad  \displaystyle\int_0^1x^n\,\text e^{1-x}\,\text dx\leq \displaystyle\int_0^1 x^n\,\text e\,\text dx} \\\overset{ { \white{ . } } } {  \phantom{ 0\leq x\leq 1}\quad\Longrightarrow\quad  \displaystyle\int_0^1x^n\,\text e^{1-x}\,\text dx\leq \text e\displaystyle\int_0^1 x^n\,\text dx}
{ \white{ xxi } }  .\overset{ { \white{ . } } } {  \phantom{ 0\leq x\leq 1}\quad\Longrightarrow\quad  \displaystyle\int_0^1x^n\,\text e^{1-x}\,\text dx\leq \text e\Big[ \dfrac{x^{n+1}}{n+1} \Big]_0^1 } \\\overset{ { \white{ . } } } {  \phantom{ 0\leq x\leq 1}\quad\Longrightarrow\quad  \displaystyle\int_0^1x^n\,\text e^{1-x}\,\text dx\leq \text e\Big(\dfrac{1}{n+1}-0 \Big) } \\\overset{ { \white{ . } } } {  \phantom{ 0\leq x\leq 1}\quad\Longrightarrow\quad  \displaystyle\int_0^1x^n\,\text e^{1-x}\,\text dx\leq \dfrac{\text e}{n+1} } \\\\\Longrightarrow\quad  \boxed{u_n\leq \dfrac{\text e}{n+1} }

3. b)  Nous devons en déduire la limite de la suite  \overset{ { \white{ _. } } } { (u_n)   }  .

Appliquons le théorème d'encadrement (''théorème des gendarmes'').

{ \white{ xxi } } \begin{cases} 0\leq u_n\leq \dfrac{\text e}{n+1} \\\overset{ { \white{ _. } } } {\lim\limits_{n\to+\infty} \dfrac{\text e}{n+1} =0   } \end{cases}\quad\Longrightarrow\quad \boxed{\lim\limits_{n\to+\infty} u_n=0}


5 points

exercice 4

1.  On considère la fonction  \overset{ { \white{ _. } } } {  f  }  définie sur  \overset{ { \white{ _. } } } { ]0\;;\;+\infty[   }  par  \overset{ { \white{ _. } } } { f(x)=\ln(x)-x^2   } .
{ \white{ xxi } }Affirmation 1 :  \overset{ { \white{ M. } } } {\lim\limits_{x\to+\infty}f(x)=-\infty   } 
{ \white{ xxi } }Affirmation vraie.

En effet,

{ \white{ xxi } } \lim\limits_{x\to+\infty}f(x)=\lim\limits_{x\to+\infty}\Big(\ln(x)-x^2\Big) \\\overset{ { \white{ . } } } {  \phantom{ \lim\limits_{x\to+\infty}f(x)}=\lim\limits_{x\to+\infty}x^2\left(\dfrac{\ln(x)}{x^2}-1\right)} \\\\\Longrightarrow\quad\boxed{\lim\limits_{x\to+\infty}f(x)=\lim\limits_{x\to+\infty}x^2\left(\dfrac{\ln(x)}{x^2}-1\right)}

Or  \overset{ { \white{ _. } } } {  \lim\limits_{x\to+\infty}\dfrac{\ln(x)}{x^2}=0\quad(\text{croissances comparées})\quad\Longrightarrow\quad \lim\limits_{x\to+\infty}\left(\dfrac{\ln(x)}{x^2}-1\right)=-1  } 

Dès lors,

{ \white{ xxi } }  \begin{cases}\lim\limits_{x\to+\infty}x^2=+\infty\\\overset{ { \white{ _. } } } { \lim\limits_{x\to+\infty}\left(\dfrac{\ln(x)}{x^2}-1\right)=-1   }   \end{cases}\quad\Longrightarrow\quad \lim\limits_{x\to+\infty}x^2\left(\dfrac{\ln(x)}{x^2}-1\right)=-\infty \\\overset{ { \white{ . } } } {  \phantom{  \begin{cases}\lim\limits_{x\to+\infty}x^2=+\infty\\\overset{ { \phantom{ _. } } } { \lim\limits_{x\to+\infty}\left(\dfrac{\ln(x)}{x^2}-1\right)=-1   }   \end{cases}}\quad\Longrightarrow\quad \boxed{\lim\limits_{x\to+\infty}f(x)=-\infty} }
L'affirmation 1 est vraie.


2.  On considère l'équation différentielle  \overset{ { \white{ _. } } } {  (E): -2y'+3y=\sin x+8\cos x  } .
{ \white{ xx } }On considère la fonction  \overset{ { \white{ _. } } } {  f  }  définie sur  \overset{ { \white{ _. } } } { \R   }  par  \overset{ { \white{ _. } } } { f(x)=2\cos x-\sin x} .
{ \white{ xx } }Affirmation 2 : La fonction  \overset{ { \white{ _. } } } {f   }  est solution de l'équation différentielle  \overset{ { \white{ _. } } } {(E)   } .
{ \white{ xx } }Affirmation vraie.

En effet,

{ \white{ xxi } } f(x)=2\cos x-\sin x\quad\Longrightarrow\quad f'(x)=-2\sin x-\cos x

Dès lors, nous obtenons :

{ \white{ xxi } }  -2f'(x)+3f(x)=-2(-2\sin x-\cos x)+3(2\cos x-\sin x) \\\overset{ { \white{ . } } } {  \phantom{ -2f'(x)+3f(x)}=4\sin x+2\cos x+6\cos x-3\sin x} \\\overset{ { \white{ . } } } {  \phantom{ -2f'(x)+3f(x)}=\sin x+8\cos x} \\\\\Longrightarrow\quad\boxed{-2f'(x)+3f(x)=\sin x+8\cos x}

Par conséquent, la fonction  \overset{ { \white{ _. } } } {f   }  est solution de l'équation différentielle  \overset{ { \white{ _. } } } {(E)   } .
L'affirmation 2 est vraie.


3.  On considère la fonction  \overset{ { \white{ m. } } } {  g  }  définie sur l'intervalle  \overset{ { \white{ . } } } { ]0\;;\;+\infty[   }  par  \overset{ { \white{ _. } } } { g(x)=\ln(3x+1)+8   } .
{ \white{ xx } }On considère la suite  \overset{ { \white{ _. } } } { (u_n) }  définie par  \overset{ { \white{ _. } } } { u_0=25   }  et pour tout entier naturel  \overset{ { \white{ _. } } } { n:u_{n+1}=g(u_n)} .
{ \white{ xx } }On admet que la suite  \overset{ { \white{ _. } } } { (u_n) }  est strictement positive.
{ \white{ xx } }Affirmation 3 : La suite  \overset{ { \white{ _. } } } { (u_n) }  est décroissante.
{ \white{ xx } }Affirmation vraie.

Démontrons par récurrence que, pour tout entier naturel  \overset{ { \white{ _. } } } {  n : u_{n+1}\leq u_n } .

Initialisation  : Montrons que la propriété est vraie pour  \overset{ { \white{ _. } } } { n=0   } , soit que :  \overset{{\white{.}}}{u_{1}\leq u_0} .
C'est une évidence puisque   \overset{{\white{.}}}{\begin{cases}u_0=25\\u_1=g(u_0)\\\overset{ { \phantom{ . } } } {  \phantom{  u_1}=g(25)}\\\overset{ { \phantom{ . } } } {  \phantom{  u_1}=\ln(76)} \\\overset{ { \phantom{ . } } } {  \phantom{  u_1}\approx4,33}  \end{cases}} \quad\Longrightarrow\quad \boxed{ u_{1}\leq u_0}
Donc l'initialisation est vraie.

Hérédité  : Montrons que si pour un nombre entier naturel  \overset{ { \white{ -. } } } { n   }  fixé, la propriété est vraie au rang  \overset{ { \white{ -. } } } { n   }  , alors elle est encore vraie au rang  \overset{ { \white{ _. } } } {  n+1  } .
Montrons donc que si pour un nombre entier naturel  \overset{ { \white{ -. } } } { n   }   fixé,  \overset{{\white{.}}}{u_{n+1}\leq u_n} , alors nous avons :  \overset{{\white{.}}}{u_{n+2}\leq u_{n+1}} .

En effet,

{ \white{ xxi } } u_{n+1}\leq u_n\quad\Longrightarrow\quad 3u_{n+1}\leq 3u_n \\\overset{ { \white{ . } } } {  \phantom{  u_{n+1}\leq u_n}\quad\Longrightarrow\quad 3u_{n+1}+1\leq 3u_n+1 } \\\overset{ { \white{ . } } } {  \phantom{  u_{n+1}\leq u_n}\quad\Longrightarrow\quad \ln(3u_{n+1}+1)\leq \ln(3u_n+1)  } \\\overset{ { \white{ . } } } {  \phantom{  u_{n+1}\leq u_n}\quad\Longrightarrow\quad g(u_{n+1})\leq g(u_n)  } \\\overset{ { \phantom{ . } } } {  \phantom{  u_{n+1}\leq u_n}\quad\Longrightarrow\quad \boxed{u_{n+2}\leq u_{n+1} } }

L'hérédité est vraie.

Puisque l'initialisation et l'hérédité sont vraies, nous avons montré par récurrence que, pour tout entier naturel  \overset{ { \white{ _. } } } {  n :  u_{n+1}\leq u_n } .
L'affirmation 3 est vraie.


4.  On considère une fonction affine  \overset{ { \white{  _{_.} } } } { h }  définie sur  \overset{ { \white{ _. } } } { \R } .
{ \white{ xx } }On note  \overset{ { \white{ _. } } } {  k  }  la fonction définie sur  \overset{ { \white{ _. } } } { \R   }  par  \overset{ { \white{ _. } } } { k(x)=x^4+x^2+h(x)} .
{ \white{ xx } }Affirmation 4 : La fonction  \overset{ { \white{  _{_.} } } } {k   }  est convexe sur  \overset{ { \white{ _. } } } {\R   } .
{ \white{ xx } }Affirmation vraie.

La convexité d'une fonction est déterminée par le signe de la dérivée seconde de cette fonction.
Ainsi, si  \overset{ { \white{ _. } } } { k'' }  est négative sur  \overset{ { \white{ _. } } } { \R } , alors la fonction  \overset{ { \white{ _. } } } { k }  est convexe sur  \overset{ { \white{ _. } } } { \R } .

La fonction  \overset{ { \white{ _. } } } { h }  est affine et par suite,  \overset{ { \white{ _. } } } { h(x)}  est de la forme  \overset{ { \white{ _. } } } { h(x)=ax+b}  avec  \overset{ { \white{ _. } } } {  a\in \R  }  et  \overset{ { \white{ _. } } } { b\in \R   } .
Dès lors, la fonction  \overset{ { \white{ _. } } } {  k  }  est définie sur  \overset{ { \white{ _. } } } { \R   }  par  \overset{ { \white{ _. } } } { k(x)=x^4+x^2+ax+b} .

La fonction  \overset{ { \white{  _{_.} } } } {  k  }  est dérivable sur  \overset{ { \white{ _. } } } {  \R  }  en tant que fonction polynôme.
Nous obtenons alors :

{ \white{ xxi } } k(x)=x^4+x^2+ax+b\quad\Longrightarrow\quad k'(x)=4x^3+2x+a \\\overset{ { \white{ . } } } {  \phantom{ k(x)=x^4+x^2+ax+b}\quad\Longrightarrow\quad k''(x)=12x^2+2 }

{ \white{ xxi } } \text {Or }\quad\forall x\in\R,\quad\begin{cases}12x^2\geq0\\2>0  \end{cases}\quad\Longrightarrow\quad 12x^2+2>0 \\\overset{ { \white{ . } } } {  \phantom{   \begin{cases}\text {Or }\quad\forall x\in\R,\quad12x^2\geq0\\2>0  \end{cases}}\quad\Longrightarrow\quad \boxed{\forall x\in\R,\quad k''(x)>0} }

Nous en déduisons que la fonction  \overset{ { \white{ _. } } } {k   }  est convexe sur  \overset{ { \white{ _. } } } {\R   } .
L'affirmation 4 est vraie.


5.  Une anagramme d'un mot est le résultat d'une permutation des lettres de ce mot.
{ \white{ xx } }Exemple : le mot BAC possède 6 anagrammes : BAC, BCA, ABC, ACB, CAB, CBA.
{ \white{ xx } }Affirmation 5 : Le mot EULER possède 120 anagrammes .
{ \white{ xx } }Affirmation fausse.

Le mot EULER comporte 5 lettres.

Supposons que les 5 lettres soient différentes et que le mot est  E1ULE2R.
Le nombre de permutations de ces 5 lettres différentes est égal à  \overset{ { \white{ _. } } } {  5! = 120 } .

Parmi ces anagrammes, nous retrouvons par exemple, les deux mots UE1RE2L et UE2RE1L qui en réalité, représentent un seul mot : UEREL
Parmi les 120 permutations, les mêmes mots se retrouvent donc deux fois.

Dès lors, le nombre réel d'anagrammes du mot EULER est  \overset{ { \white{ _. } } } {\dfrac{120}{2}=\boxed{60}    } .
L'affirmation 5 est fausse.

Merci à Hiphigenie et malou pour l'élaboration de cette contribution.
Publié le
ceci n'est qu'un extrait
Pour visualiser la totalité des cours vous devez vous inscrire / connecter (GRATUIT)
Inscription Gratuite se connecter
Merci à
Hiphigenie
/
malou Webmaster
pour avoir contribué à l'élaboration de cette fiche


Vous devez être membre accéder à ce service...

Pas encore inscrit ?

1 compte par personne, multi-compte interdit !

Ou identifiez-vous :


Rester sur la page

Inscription gratuite

Fiches en rapport

parmi 1768 fiches de maths

Désolé, votre version d'Internet Explorer est plus que périmée ! Merci de le mettre à jour ou de télécharger Firefox ou Google Chrome pour utiliser le site. Votre ordinateur vous remerciera !