Fiche de mathématiques
> >

Bac spécialité maths 2025

Polynésie Jour 1

Partager :


Durée de l'épreuve : 4 heures


Bac spécialité maths 2025 Polynésie Jour 1 : image 10



5 points

exercice 1


Bac spécialité maths 2025 Polynésie Jour 1 : image 7

Bac spécialité maths 2025 Polynésie Jour 1 : image 4

Bac spécialité maths 2025 Polynésie Jour 1 : image 3


5 points

exercice 2


Bac spécialité maths 2025 Polynésie Jour 1 : image 8

Bac spécialité maths 2025 Polynésie Jour 1 : image 9

Bac spécialité maths 2025 Polynésie Jour 1 : image 14

Bac spécialité maths 2025 Polynésie Jour 1 : image 11


5 points

exercice 3


Bac spécialité maths 2025 Polynésie Jour 1 : image 13

Bac spécialité maths 2025 Polynésie Jour 1 : image 15

Bac spécialité maths 2025 Polynésie Jour 1 : image 12

Bac spécialité maths 2025 Polynésie Jour 1 : image 6


5 points

exercice 4


Bac spécialité maths 2025 Polynésie Jour 1 : image 1

Bac spécialité maths 2025 Polynésie Jour 1 : image 2


Bac spécialité maths 2025 Polynésie Jour 1 : image 5





Bac spécialité maths 2025

Polynésie Jour 1

Partager :



5 points

exercice 1

Partie A

1.  Traduire cette situation à l'aide d'un arbre de probabilité.

On sait qu'en 2020, 17% de la population des États-Unis habite en zone rurale et 83% en zone urbaine.
Donc  \overset{ { \white{ _. } } } { P(R)=0,17   }  et  \overset{ { \white{ _. } } } { P(\overline R)=0,83.   } 

L'étude menée montre que parmi les enfants des États-Unis vivant en zone rurale, il y en a 6,2% qui sont atteints d'allergie alimentaire.
Donc  \overset{ { \white{ _. } } } { P_R(A)=0,062   }  et  \overset{ { \white{ _. } } } { P_R(\overline A)=1-0,062=0,938.   } 

Nous pouvons alors dresser un arbre de probabilité modélisant ces données.

Bac spécialité maths 2025 Polynésie Jour 1 : image 16


2. a)  Nous devons calculer la probabilité que l'enfant interrogé habite en zone rurale et soit atteint d'allergie alimentaire, soit  \overset{ { \white{ _. } } } {  P(R\cap A)  } .

Nous obtenons :

{ \white{ xxi } } P(R\cap A)=P(R)\times P_R(A) \\\overset{ { \white{ . } } } {  \phantom{  P(R\cap A)}=0,17\times 0,062 } \\\overset{ { \white{ . } } } {  \phantom{  P(R\cap A)}=0,01054 } \\\\\Longrightarrow\quad\boxed{P(R\cap A)=0,01054 }

Par conséquent, la probabilité que l'enfant interrogé habite en zone rurale et soit atteint d'allergie alimentaire est égale à 0,01054.


2. b)  Nous devons en déduire la probabilité que l'enfant interrogé habite en zone urbaine et soit atteint d'allergie alimentaire, soit  \overset{ { \white{ _. } } } { P(\overline R \cap A).   } 

Dans la partie B, nous pouvons lire que l'étude révèle aussi que 9% des enfants des États-Unis sont atteints d'allergie alimentaire, soit  \overset{ { \white{ _. } } } { P(A)=0,09   } .

Les événements  \overset{{\white{_.}}}{R}  et  \overline{R}  forment une partition de l'univers.
En utilisant la formule des probabilités totales, nous obtenons :

{ \white{ xxi } }P(A)=P(R\cap A)+P(\overline{R}\cap A)\quad\Longleftrightarrow\quad 0,09=0,01054+P(\overline{R}\cap A) \\\overset{ { \white{ . } } } {\phantom{P(A)=P(R\cap A)+P(\overline{R}\cap A)}\quad\Longleftrightarrow\quad  P(\overline{R}\cap A)=0,09-0,01054} \\\overset{ { \white{ . } } } {\phantom{P(A)=P(R\cap A)+P(\overline{R}\cap A)}\quad\Longleftrightarrow\quad \boxed{P(\overline{R}\cap A)=0,07946}}

Par conséquent, la probabilité que l'enfant interrogé habite en zone urbaine et soit atteint d'allergie alimentaire est égale à 0,07946.


2. c)  L'enfant interrogé habite en zone urbaine.
{ \white{ xxxi } }Nous devons déterminer la probabilité qu'il soit atteint d'allergie alimentaire, soit  \overset{ { \white{ _. } } } {  P_{\overline R}(A).  } 

{ \white{ xxi } }   P_{\overline R}(A)=\dfrac{P(\overline R \cap A)}{P(\overline R)} \\\overset{ { \white{ . } } } {  \phantom{    P_{\overline R}(A)}=\dfrac{0,07946}{0,83}  } \\\overset{ { \white{ . } } } {  \phantom{    P_{\overline R}(A)}\approx0,0957} \\\\\Longrightarrow\quad\boxed{ P_{\overline R}(A)\approx0,0957}

Par conséquent, la probabilité que l'enfant interrogé soit atteint d'allergie alimentaire sachant qu'il habite en zone urbaine est environ égale à 0,0957 (valeur arrondie à 10-4).


Partie B

L'étude révèle aussi que 9% des enfants des États-Unis sont atteints d'allergie alimentaire.
On réalise une étude en interrogeant au hasard 100 enfants des États-Unis.
On admet que ce choix se ramène à des tirages successifs indépendants avec remise.
On note  \overset{ { \white{ _. } } } {  X  }  la variable aléatoire donnant le nombre d'enfants atteints d'allergie alimentaire dans l'échantillon considéré.

1.  Nous devons justifier que la variable aléatoire  \overset{ { \white{ _. } } } {  X  }  suit une loi binomiale dont on précisera les paramètres.

Lors de cette expérience, on répète 100 fois des épreuves identiques et indépendantes.
Chaque épreuve comporte deux issues :
Succès : '' l'enfant est atteint d'allergie alimentaire '' dont la probabilité est  \overset{ { \white{ . } } } { p=0,09. } 
Echec : '' l'enfant n'est pas atteint d'allergie alimentaire '' dont la probabilité est  \overset{ { \white{ . } } } {1-p=0,91. } 
La variable aléatoire  \overset{ { \white{ _. } } } { X }   compte le nombre d'enfants atteints d'allergie alimentaire dans l'échantillon considéré, soit le nombre de succès à la fin de la répétition des épreuves.
D'où la variable aléatoire  \overset{ { \white{ _. } } } { X }   suit une loi binomiale  \overset{ { \white{ . } } }{ \mathscr{ B }\left(100\,;\,0,09\right) } .
Cette loi est donnée par :  \boxed{ P(X=k)=\begin{pmatrix}100\\k\end{pmatrix}\times0,09^k\times0,91^{ 100-k } } 


2.  Nous devons déterminer la probabilité qu'au moins 10 enfants parmi les 100 interrogés soient atteints d'allergie alimentaire, soit  \overset{ { \white{ _. } } } {  P(X\geq 10).  } 

Par la calculatrice, nous obtenons :  

{ \white{ xxi } } P(X \geq 10) = 1 - P(X<10) \\\overset{ { \white{ . } } } {  \phantom{    P(X  \geq 10) } = 1 - P(X \leq 9)  } \\\overset{ { \white{ . } } } {  \phantom{    P(X\geq 10) }\approx1-0,5875  } \\\overset{ { \white{ . } } } {  \phantom{    P(X\geq 10) }\approx0,4125  } \\\\\Longrightarrow\quad\boxed{P(X\geq 10)\approx 0,4125} 

Donc la probabilité qu'au moins 10 enfants parmi les 100 interrogés soient atteints d'allergie alimentaire est environ égale à 0,4125 (valeur arrondie à 10-4).


Partie C

On s'intéresse à un échantillon de 20 enfants atteints d'allergie alimentaire choisis au hasard.
L'âge d'apparition des premiers symptômes allergiques de ces 20 enfants est modélisé par les variables aléatoires  \overset{ { \white{ _. } } } { A_1, A_2, \cdots , A_{20}   } .
On admet que ces variables aléatoires sont indépendantes et suivent la même loi d'espérance 4 et de variance 2,25.

On considère la variable aléatoire :  \overset{ { \white{ _. } } } { M_{20}=\dfrac{A_1 + A_2 + \cdots + A_{20}}{20}   } 

1.  Dans le contexte de l'exercice, la variable aléatoire  \overset{ { \white{ _. } } } { M_{20}   }  représente l'âge moyen d'apparition des premiers symptômes allergiques de ces 20 enfants.

2.  Nous devons déterminer l'espérance et la variance de  \overset{ { \white{ _. } } } { M_{20}   } .

\overset{ { \white{ . } } }{\bullet}{\white{x}}Déterminons l'espérance de la variable aléatoire  \overset{ { \white{ . } } } {  M_{20}.  } 

{ \white{ xxi } }  E(M_{20})=E\left(\dfrac{A_1 + A_2 + \cdots + A_{20}}{20}\right) \\\overset{ { \white{ . } } } {  \phantom{   E(M_{20})}=\dfrac{1}{20}E(A_1 + A_2 + \cdots + A_{20})} \\\overset{ { \white{ . } } } {  \phantom{   E(M_{20})}=\dfrac{1}{20}\Big(E(A_1) + E(A_2) + \cdots + E(A_{20})\Big)\quad\text{(par linéarité de l'espérance)} } \\\overset{ { \phantom{ . } } } {  \phantom{   E(M_{20})}=\dfrac{1}{20}\Big(20\times4\Big) } \\\overset{ { \white{ . } } } {  \phantom{  E(M_{20})}=4}  \\\\\Longrightarrow\quad\boxed{ E(M_{20})=4}

\overset{ { \white{ . } } }{\bullet}{\white{x}}Déterminons la variance de la variable aléatoire  \overset{ { \white{ . } } } {  M_{20}.  } 

{ \white{ xxi } } V(M_{20})=V\left(\dfrac{A_1 + A_2 + \cdots + A_{20}}{20}\right) \\\overset{ { \white{ . } } } {  \phantom{   V(M_{20})}=\Big(\dfrac{1}{20}\Big)^2V(A_1 + A_2 + \cdots + A_{20})} \\\overset{ { \white{ . } } } {  \phantom{   V(M_{20})}=\dfrac{1}{400}\Big(V(A_1) + V(A_2) + \cdots + V(A_{20})\Big)\quad\text{(car les variables sont indépendantes )} } \\\overset{ { \phantom{ . } } } {  \phantom{   V(M_{20})}=\dfrac{1}{400}\Big(20\times2,25\Big) } \\\overset{ { \white{ . } } } {  \phantom{  V(M_{20})}=\dfrac{2,25}{20}=0,1125}  \\\\\Longrightarrow\quad\boxed{ V(M_{20})=0,1125}


3.  Nous devons justifier, à l'aide de l'inégalité de concentration, que  \overset{ { \white{ _. } } } {   P(2 < M_{20} < 6) > 0,97 } .

{ \white{ xxi } }  P(2 < M_{20} < 6)= P(-2 < M_{20}-4 < 2) \\\overset{ { \white{ . } } } {  \phantom{  P(2 < M_{20} < 6)}= P(\,|\,M_{20}-4\,|<2) } \\\overset{ { \white{ . } } } {  \phantom{   P(2 < M_{20} < 6)}= 1-P(\,|\,M_{20}-4\,|\geq 2) } \\\\\Longrightarrow\quad\boxed{ P(2 < M_{20} < 6)= 1-P(\,|\,M_{20}-4\,|\geq 2) }

Inégalité de Bienaymé-Tchebychev :  \overset{ { \white{ _. } } } {  P(\,|\,M_{20}-E(M_{20})\,|\geq a)\leq \dfrac{V(M_{20})}{a^2}\quad\text{où}\quad a>0.  } 

Utilisons l'inégalité de Bienaymé-Tchebychev en posant  \overset{ { \white{ . } } } { a=2   } 

{ \white{ xxi } }    P(\,|\,M_{20} -4)\,|\geq 2)\leq \dfrac{0,1125}{2^2}\quad\Longleftrightarrow\quad      P(\,|\,M_{20} -4)\,|\geq 2)\leq \dfrac{0,1125}{4} \\\overset{ { \white{ . } } } {  \phantom{     P(\,|\,S-10)\,|\geq 4)\leq \dfrac{8,2665}{4^2}}\quad\Longleftrightarrow\quad    -P(\,|\,M_{20} -4)\,|\geq 2)\geq -\dfrac{0,1125}{4}} \\\overset{ { \white{ . } } } {  \phantom{     P(\,|\,S-10)\,|\geq 4)\leq \dfrac{8,2665}{4^2}}\quad\Longleftrightarrow\quad  1 -P(\,|\,M_{20} -4)\,|\geq 2)\geq 1-\dfrac{0,1125}{4}} \\\overset{ { \white{ . } } } {  \phantom{     P(\,|\,S-10)\,|\geq 4)\leq \dfrac{8,2665}{4^2}}\quad\Longleftrightarrow\quad    P(2 < M_{20} < 6)\geq 1-\dfrac{0,1125}{4} }

Or  \overset{ { \white{ _. } } } { 1-\dfrac{0,1125}{4}=0,971875\;{\red{>0,97}}  } 

D'où  \overset{ { \white{ _. } } } {  \boxed{  P(2 < M_{20} < 6) > 0,97.}  } 

Par conséquent, la probabilité que l'âge moyen d'apparition des premiers symptômes allergiques de ces 20 enfants soit strictement compris entre 2 et 6 ans est strictement supérieure à 0,97.


5 points

exercice 2

Deux avions sont en approche d'un aéroport.
On munit l'espace d'un repère orthonormé  \overset{ { \white{ _. } } } { (O\,;\;\vec i\,,\vec j\,,\vec k)   }  dont l'origine  \overset{ { \white{ _. } } } {  O  }  est le pied de la tour de contrôle, et le sol est le plan  \overset{ { \white{ _. } } } { P_0   }  d'équation  \overset{ { \white{ _. } } } { z=0.   } 
L'unité des axes correspond à 1 km.

On modélise les avions par des points.

Bac spécialité maths 2025 Polynésie Jour 1 : image 22


L'avion Alpha transmet à la tour sa position en  \overset{ { \white{ _. } } } { A\,(-7\;;\;1\;;\;7)   }  et sa trajectoire est dirigée par le vecteur   \overset{ { \white{ o. } } }{  \overrightarrow {u}\begin{pmatrix}2\\-1\\-3\end{pmatrix}.  } 
L'avion Bêta transmet une trajectoire définie par la droite  \overset{ { \white{ _. } } } { d_B   }  passant par le point  \overset{ { \white{ _. } } } {  B  }  dont une représentation paramétrique est :

\begin{cases}x= -11 + 5t\\y = -5 + t\qquad\text{où }t\in \R\\z = 11 - 4t\end{cases}


1.  Si l'avion Bêta ne dévie pas de sa trajectoire, nous devons déterminer les coordonnées du point  \overset{ { \white{ _. } } } {   S }  en lequel il touchera le sol.

Résolvons le système :  \overset{ { \white{ _. } } } { \begin{cases}x= -11 + 5t\\y = -5 + t\\z = 11 - 4t\\z=0\end{cases}   } 

\begin{cases}x= -11 + 5t\\y = -5 + t\\z = 11 - 4t\\z=0\end{cases}\quad\Longleftrightarrow\quad \begin{cases}x= -11 + 5t\\y = -5 + t\\0 = 11 - 4t\\z=0\end{cases}\quad\Longleftrightarrow\quad \begin{cases}x= -11 + 5t\\y = -5 + t\\4t = 11\\z=0\end{cases}\quad\Longleftrightarrow\quad \begin{cases}x= -11 + 5t\\y = -5 + t\\t = \dfrac{11}{4}\\z=0\end{cases} \\\overset{ { \white{ . } } } {  \phantom{  \begin{cases}x= -11 + 5t\\y = -5 + t\\z = 11 - 4t\\z=0\end{cases} } \quad\Longleftrightarrow\quad \begin{cases}x= -11 + \dfrac{55}{4}\\y = -5 + \dfrac{11}{4}\\t = \dfrac{11}{4}\\z=0\end{cases} \quad\Longleftrightarrow\quad \begin{cases}x=  \dfrac{11}{4}\\\overset{ { \phantom{ _. } } } { y = \dfrac{-9}{4}}\\\overset{ { \phantom{ _. } } } { t = \dfrac{11}{4}}\\z=0\end{cases} }

D'où si l'avion Bêta ne dévie pas de sa trajectoire, les coordonnées du point  \overset{ { \white{ _. } } } {   S }  en lequel il touchera le sol sont  \overset{ { \white{ _. } } } { \boxed{\left(\dfrac{11}{4}\;;\;-\dfrac 94\;;\;0\right)}   } 


2. a)  Nous devons déterminer une représentation paramétrique de la droite  \overset{ { \white{ _. } } } {  d_A  }  caractérisant la trajectoire de l'avion Alpha.

La droite  \overset{ { \white{ _. } } } {  d_A  }  passe par le point  \overset{ { \white{ _. } } } { A\,(-7\;;\;1\;;\;7)   }  et est dirigée par le vecteur   \overset{ { \white{ o. } } }{  \overrightarrow {u}\begin{pmatrix}2\\-1\\-3\end{pmatrix}.  } 
D'où une représentation paramétrique de la droite  \overset{ { \white{ _. } } } {  d_A  }  est :  \overset{ { \white{ _. } } } {   \boxed{\begin{cases}x= -7 +2s\\y = 1 -s\qquad\text{où }s\in \R\\z = 7 - 3s\end{cases}} } 


2. b)  Déterminer si les avions peuvent entrer en collision revient à déterminer si les droites  \overset{ { \white{ _. } } } { d_A   }  et  \overset{ { \white{ _. } } } {  d_B  }  sont sécantes.

Précisons s'il existe une valeur de  \overset{ { \white{ . } } } {  s  }  et une valeur de  \overset{ { \white{ _. } } } {  t  }  vérifiant le système :  \overset{ { \white{ _. } } } { \begin{cases} -7 +2s=-11 + 5t\\ 1 -s= -5 + t\\ 7 - 3s= 11 - 4t\end{cases}   } 

\begin{cases} -7 +2s=-11 + 5t\\ 1 -s= -5 + t\\ 7 - 3s= 11 - 4t\end{cases}\quad\Longleftrightarrow\quad \begin{cases} -7 +2s=-11 + 5t\\ s= 6 -t\\ 7 - 3s= 11 - 4t\end{cases}\quad\Longleftrightarrow\quad \begin{cases} -7 +2(6-t)=-11 + 5t\\ s= 6 -t\\ 7 - 3(6-t)= 11 - 4t\end{cases}  \\\overset{ { \white{ . } } } {  \phantom{   \begin{cases} -7 +2s=-11 + 5t\\ 1 -s= -5 + t\\ 7 - 3s= 11 - 4t\end{cases}} \quad\Longleftrightarrow\quad \begin{cases} -7 +12-2t=-11 + 5t\\ s= 6 -t\\ 7 - 18+3t= 11 - 4t\end{cases}\quad\Longleftrightarrow\quad \begin{cases} 7t=16\\ s= 6 -t\\ 7t= 22\end{cases} }  \\\overset{ { \white{ . } } } {  \phantom{   \begin{cases} -7 +2s=-11 + 5t\\ 1 -s= -5 + t\\ 7 - 3s= 11 - 4t\end{cases}}\quad\Longleftrightarrow\quad \begin{cases} {\red{t=\dfrac{16}{7}}}\\ s= 6 -t\\ {\red{ t= \dfrac{22}{7}}}\end{cases} }

Puisque la valeur de  \overset{ { \white{ _. } } } {  t  }  n'est pas unique, le système n'admet pas de solution.
D'où les droites  \overset{ { \white{ _. } } } { d_A   }  et  \overset{ { \white{ _. } } } {  d_B  }  ne sont pas sécantes.

Par conséquent, les avions ne peuvent pas entrer en collision.


3. a)  Nous devons démontrer que l'avion Alpha passe par la position  \overset{ { \white{ _. } } } { E\,(-3\;;\;-1\;;\;1).   } 

Considérerons la représentation paramétrique de la droite  \overset{ { \white{ _. } } } { d_A   } .

Déterminons s'il existe une valeur de  \overset{ { \white{ . } } } { s   }  telle que  \overset{ { \white{ _. } } } { \begin{cases} -7 +2s=-3\\ 1 -s=-1\\ 7 - 3s= 1\end{cases}   } .

{ \white{ xxi } }  \begin{cases} -7 +2s=-3\\ 1 -s=-1\\ 7 - 3s= 1\end{cases}\quad\Longleftrightarrow\quad \begin{cases} 2s=4\\  -s=-2\\  - 3s= -6\end{cases}\quad\Longleftrightarrow\quad \boxed{\begin{cases} s=2\\ s=2\\ s=2\end{cases}}

Donc si  \overset{ { \white{ _. } } } {  s=2  } , le système est vérifié.

Par conséquent, l'avion Alpha passe par la position  \overset{ { \white{ _. } } } { E\,(-3\;;\;-1\;;\;1).   } 


3. b)  Nous devons justifier qu'une équation cartésienne du plan  \overset{ { \white{ _. } } } {  P_E  }  passant par  \overset{ { \white{ _. } } } {  E  }  et perpendiculaire à la droite  \overset{ { \white{ _. } } } {  d_A  }  est :

 \overset{ { \white{ _. } } } {2x - y - 3z + 8 = 0.    } 


Nous savons que le vecteur  \overset{ { \white{ . } } } {\overrightarrow {u}\begin{pmatrix}2\\-1\\-3\end{pmatrix} }  est un vecteur directeur de la droite  \overset{ { \white{ . } } } {d_A  }  perpendiculaire au plan  \overset{ { \white{ _. } } } {  P_E.  } 
Dès lors, le vecteur  \overset{ { \white{ . } } } {\overrightarrow {u}\begin{pmatrix}2\\-1\\-3\end{pmatrix} }  est un vecteur normal au plan  \overset{ { \white{ _. } } } {  P_E.  } 

D'où l'équation du plan  \overset{ { \white{ . } } } {P_E }  est de la forme  \overset{ { \white{ . } } } {2x - y -3z + d = 0 }  où  \overset{ { \white{ _. } } } {d }  est un nombre réel.

Nous savons que  \overset{ { \white{ . } } } {E\,(-3\;;\;-1\;;\;1) }  appartient à ce plan  \overset{ { \white{ . } } } {P_E. } 
Donc  \overset{ { \white{ . } } } {2\times(-3)-(-1)-3\times1 + d = 0, }  soit  \overset{ { \white{ _. } } } {d=8. } 

Par conséquent, une équation cartésienne du plan  \overset{ { \white{ . } } } {P_E }  est  \overset{ { \white{ . } } } {\boxed{2x - y - 3z + 8 = 0}\,. }


3. c)  Nous devons vérifier que le point  \overset{ { \white{ _. } } } { F\,(-1\;;\;-3\;;\;3)   }  est le point d'intersection du plan  \overset{ { \white{ _. } } } {  P_E  }  et de la droite  \overset{ { \white{ _. } } } { d_B.   } 

\overset{ { \white{ . } } }{\bullet}{\white{x}}Montrons que le point \overset{ { \white{ _. } } } {  F  }  appartient au plan \overset{ { \white{ . } } } {  P_E  } .

{ \white{ xxi } } 2x_F-y_F-3z_F+8=2\times(-1)-(-3)-3\times3+8 \\\overset{ { \white{ . } } } {  \phantom{  2x_F-y_F-3z_F+8}=-2+3-9+8} \\\overset{ { \white{ . } } } {  \phantom{ 2x_F-y_F-3z_F+8}=0} \\\\\Longrightarrow\quad\boxed{F\in P_E}

\overset{ { \white{ . } } }{\bullet}{\white{x}}Montrons que le point \overset{ { \white{ _. } } } {  F  }  appartient à la droite  \overset{ { \white{ . } } } {  d_B   } .

Nous allons montrer qu'il existe une valeur de  \overset{ { \white{ . } } } { t   }  telle que  \overset{ { \white{ _. } } } { \begin{cases} -11 + 5t=-1\\ -5+t=-3\\ 11-4t= 3\end{cases}   } .

{ \white{ xxi } }  \begin{cases} -11 + 5t=-1\\ -5+t=-3\\ 11-4t= 3\end{cases}\quad\Longleftrightarrow\quad \begin{cases} 5t=10\\  t=2\\  - 4t= -8\end{cases}\quad\Longleftrightarrow\quad \boxed{\begin{cases} t=2\\ t=2\\t=2\end{cases}}

Donc si  \overset{ { \white{ _. } } } {  t=2  } , le système est vérifié.

Par conséquent, le point \overset{ { \white{ _. } } } {  F  }  appartient à la droite  \overset{ { \white{ . } } } {  d_B   } .

\overset{ { \white{ . } } }{\bullet}{\white{x}}Nous en déduisons que le point  \overset{ { \white{ _. } } } { F\,(-1\;;\;-3\;;\;3)   }  est le point d'intersection du plan  \overset{ { \white{ _. } } } {  P_E  }  et de la droite  \overset{ { \white{ _. } } } { d_B.   } 


3. d)  Nous devons calculer la valeur exacte de la distance  \overset{ { \white{ _. } } } {  EF  } , puis vérifier que cela correspond à une distance de 3464 m, à 1 m près.

Nous avons :  \overset{ { \white{ _. } } } {  \begin{cases} E(-3;-1;1)\\ F(-1;-3;3) \end{cases} \quad\Longrightarrow\quad\overrightarrow{EF}\begin{pmatrix}-1+3\\-3+1\\3-1\end{pmatrix} \quad\Longrightarrow\quad\boxed{\overrightarrow{EF}\begin{pmatrix}2\\-2\\2\end{pmatrix}}   } 
Nous obtenons ainsi :

{ \white{ xxi } } EF=\sqrt{2^2+(-2)^2+2^2} \\\overset{ { \white{ . } } } {  \phantom{ EF  }=\sqrt{4+4+4}  } \\\overset{ { \white{ . } } } {  \phantom{ EF  }=\sqrt{12}  } \\\overset{ { \white{ . } } } {  \phantom{ EF  }=2\sqrt{3}  } \\\\\Longrightarrow\quad \boxed{EF=\sqrt{12}\approx3,464}


4.  La réglementation aérienne stipule que deux avions en approche doivent être à tout instant à au moins 3 milles nautiques l'un de l'autre (1 mille nautique vaut 1 852 m).
Si les avions Alpha et Bêta sont respectivement en  \overset{ { \white{ _. } } } {  E  }  et  \overset{ { \white{ _. } } } {  F  }  au même instant, vérifions si leur distance de sécurité est respectée.

Remarquons que 3 miles nautiques correspondent à  \overset{ { \white{ _. } } } { 3\times 1852   } m, soit à 5556 m.

Or  \overset{ { \white{ _. } } } { EF\approx 3,464\text{ km}\quad\Longrightarrow\quad \boxed{EF\approx 3464\text{ m}}   } 

Puisque  \overset{ { \white{ _. } } } {  EF<5556,  }  nous en déduisons que leur distance de sécurité n'est pas respectée.


5 points

exercice 3

On munit le plan d'un repère orthonormé.
Pour tout entier naturel  \overset{ { \white{ o. } } } {  n  } , on considère la fonction  \overset{ { \white{ _. } } } { f_n   }  définie sur  \overset{ { \white{ _. } } } { [0\;;\;+\infty[   }  par :

 \overset{ { \white{ _. } } } {f_0(x)=\text e^{-x}    }  et, pour  \overset{ { \white{ _. } } } { n\geq 1,\quad f_n(x)=x^n\text e^{-x}.   }
 
Pour tout entier naturel  \overset{ { \white{ o. } } } { n   } , on note  \overset{ { \white{ _. } } } {  C_n  }  la courbe représentative de la fonction  \overset{ { \white{ _. } } } { f_n.   } 

Partie A : Étude des fonctions  \overset{ { \white{ _. } } } {  f_n  }  pour  \overset{ { \white{ _. } } } { n\geq 1   } 

On considère un entier naturel  \overset{ { \white{ _. } } } { n\geq 1 .  } 

1. a)  On admet que la fonction  \overset{ { \white{ _. } } } { f_n   }  est dérivable sur  \overset{ { \white{ _. } } } { [0\;;\;+\infty[   } .
Nous devons montrer que pour tout  \overset{ { \white{ _. } } } { x\geq 0,\quad f'_n(x)=(n-x)\,x^{n-1}\,\text e^{-x}.  } 


Pour tout  \overset{ { \white{ _. } } } { n\in\N^* ,  }  pour tout  \overset{ { \white{ _. } } } { x\geq 0,    } 

{ \white{ xxi } }  f'_n(x)=(x^n)'\times \text e^{-x}+x^n\times (\text e^{-x})' \\\overset{ { \white{ . } } } {  \phantom{  f'_n(x) } =n\,x^{n-1}\times \text e^{-x}+x^n\times (-x)'\text e^{-x} } \\\overset{ { \white{ . } } } {  \phantom{  f'_n(x) } =n\,x^{n-1} \text e^{-x}+x^n\times (-\text e^{-x} )} \\\overset{ { \white{ . } } } {  \phantom{  f'_n(x) } =n\,x^{n-1} \text e^{-x}-x\,x^{n-1}\text e^{-x} } \\\overset{ { \phantom{ . } } } {  \phantom{  f'_n(x) } =(n-x)\,x^{n-1}\text e^{-x} } \\\\\Longrightarrow\quad\boxed{\forall\,n\in\N^*,\forall\,x\geq 0,\quad f'_n(x)=(n-x)\,x^{n-1}\text e^{-x} }


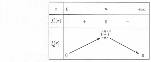
1. b)  Nous devons justifier tous les éléments du tableau ci-dessous :

Bac spécialité maths 2025 Polynésie Jour 1 : image 19


\overset{ { \white{ . } } }{\bullet}{\white{x}}La fonction  \overset{ { \white{ _. } } } { f_n   }  définie sur  \overset{ { \white{ _. } } } { [0\;;\;+\infty[   } 

\overset{ { \white{ . } } }{\bullet}{\white{x}}Étudions le signe de  \overset{ { \white{ _. } } } { f'_n(x)   }  sur  \overset{ { \white{ _. } } } {  [0\;;\;+\infty[  } .

Pour tout  \overset{ { \white{ _. } } } { x\geq 0, \quad\begin{cases}x^{n-1}\geq 0\\\text e^{-x}>0\end{cases}    } 
Dès lors, le signe de  \overset{ { \white{ _. } } } { f'_n(x)   }  est le signe de  \overset{ { \white{ _. } } } { (n-x).   } 

Nous pouvons alors dresser le tableau de signes de  \overset{ { \white{ _. } } } { f'_n(x)   }  sur  \overset{ { \white{ _. } } } {  [0\;;\;+\infty[  } .

{ \white{ WWWW } }  \begin{matrix}n-x<0\quad\Longleftrightarrow -x < -n\\\phantom{n-x<0}\quad\Longleftrightarrow\quad x>n\\\\n-x=0\quad\Longleftrightarrow\quad x=n\\\\n-x>0\quad\Longleftrightarrow\quad x<n\end{matrix}   \begin{matrix} \\||\\||\\||\\||\\||\\||\\||\\||\\||\\||   \\\phantom{WWW}\end{matrix} \begin{array}{|c|ccccc|}\hline &&&&&\\x&0&&n&&+\infty\\ &&&&& \\\hline &&&&&\\n-x&&+&0&-&\\&&&&&\\\hline &&&&&\\f'_n(x)&&+&0&-&\\&&&&&\\\hline \end{array}

\overset{ { \white{ . } } }{\bullet}{\white{x}}Nous pouvons ainsi en déduire la croissance de la fonction  \overset{ { \white{ _. } } } { f_n   }  sur  \overset{ { \white{ _. } } } { [0\;;\;+\infty[   } 

{ \white{ xxi } } \overset{ { \white{ . } } }{\bullet\bullet}{\white{x}}La fonction  \overset{ { \white{ _. } } } { f_n   }  est croissante sur  \overset{ { \white{ _. } } } { [0\;;\;n]   } 
{ \white{ xxi } } \overset{ { \white{ . } } }{\bullet\bullet}{\white{x}}La fonction  \overset{ { \white{ _. } } } { f_n   }  est décroissante sur  \overset{ { \white{ _. } } } { [n\;;\;+\infty[   } 

\overset{ { \white{ . } } }{\bullet}{\white{x}}Quelques valeurs particulières.

{ \white{ xxi } } {\bullet\bullet}{\phantom{x}}f_n(0)=0^n\times \text e^{-0} \\\overset{ { \white{ . } } } {  \phantom{ {\bullet\bullet}{\phantom{x}}f_n(0)}=0\times1  } \\\overset{ { \white{ . } } } {  \phantom{ {\bullet\bullet}{\phantom{x}}f_n(0)}=0  } \\\\\quad\Longrightarrow\quuad\boxed{f_n(0)=0}

{ \white{ xxi } }  {\bullet\bullet}{\phantom{x}}f_n(n)=n^n\times \text e^{-n} \\\overset{ { \white{ . } } } {  \phantom{ {\bullet\bullet}{\phantom{x}}f_n(n)}=\dfrac{n^n}{\text e^n}  } \\\overset{ { \white{ . } } } {  \phantom{ {\bullet\bullet}{\phantom{x}}f_n(n)}=\left(\dfrac{n}{\text e}\right)^n  } \\\\\quad\Longrightarrow\quuad\boxed{f_n(n)=\left(\dfrac{n}{\text e}\right)^n  }

{ \white{ xxi } } {\bullet\bullet}{\phantom{x}}\lim\limits_{x\to +\infty}\dfrac{e^x}{x^n}=+\infty\quad(\text{croissances comparées})\quad\Longrightarrow\quad \lim\limits_{x\to +\infty}\dfrac{x^n}{e^x}=0 \\\\\quad\Longrightarrow\quuad\boxed{\lim\limits_{x\to +\infty}f_n(x)=0  }


2.  Nous devons justifier par le calcul que le point  \overset{ { \white{ _. } } } { A\,(1\;;\;\text e^{-1} )  }  appartient à la courbe  \overset{ { \white{ _. } } } {  C_n.  } 

{ \white{ xxi } } f_n(1)=1^n\times \text e^{-1} \\\overset{ { \white{ . } } } {  \phantom{ f_n(1)}=1\times \text e^{-1}  } \\\overset{ { \white{ . } } } {  \phantom{ f_n(1)}= \text e^{-1}  } \\\\\Longrightarrow\quad\boxed{f_n(1)=\text e^{-1}  }

Par conséquent, le point  \overset{ { \white{ _. } } } { A\,(1\;;\;\text e^{-1} )  }  appartient à la courbe  \overset{ { \white{ _. } } } {  C_n.  } 

Partie B : Étude des intégrales  \overset{ { \white{ _. } } } {  \displaystyle\int_0^1f_n(x)\,\text dx  }  pour  \overset{ { \white{ _. } } } { n\geq 0   } 

Dans cette partie, on étudie les fonctions  \overset{ { \white{ _. } } } {  f_n  }  sur [0 ; 1] et on considère la suite  \overset{ { \white{ _. } } } { I_n   }  définie pour tout entier naturel  \overset{ { \white{ o. } } } {  n  }  par :

 I_n=\displaystyle\int_0^1f_n(x)\,\text dx=\displaystyle\int_0^1x^n\text e^{-x}\,\text dx.


1.  Sur le graphique ci-dessous, on a représenté les courbes  \overset{ { \white{ _. } } } {C_0,\, C_1,\, C_2,\,C_{10}    }  et  \overset{ { \white{ _. } } } { C_{100}.   } 
Bac spécialité maths 2025 Polynésie Jour 1 : image 20

1. a)  Nous devons donner une interprétation graphique de  \overset{ { \white{ _. } } } { I_n.   } 

Le tableau de variation de  \overset{ { \white{ _. } } } {  f_n  }  représenté dans la question Partie A - 1. b) nous montre que la fonction  \overset{ { \white{ _. } } } {  f_n  }  est positive sur [0 ; 1].
De plus,  \overset{ { \white{ _. } } } {  f_n  }  est continue sur [0 ; 1] (car dérivable sur [0 ; 1]).

Dès lors,  \overset{ { \white{ _. } } } {  I_n  }  représente l'aire (en unités d'aire) du domaine compris entre la courbe  \overset{ { \white{ _. } } } {  C_n  } de, l'axe des abscisses et les droites d'équations  \overset{ { \white{ _. } } } {  x=0 }  et  \overset{ { \white{ _. } } } {  x=1  } .

1. b)  Par lecture de ce graphique, quelle conjecture pouvons-nous émettre sur la limite de la suite  \overset{ { \white{ _. } } } {   (I_n) }  ?

Nous pouvons conjecturer que la suite  \overset{ { \white{ _. } } } {   (I_n) }  est décroissante et semble converger vers 0.
Par conséquent, nous pourrions ainsi conjecturer que :  \overset{ { \white{W. } } } { \lim\limits_{n\to+\infty} I_n=0.  } 

2.  Nous devons calculer  \overset{ { \white{ _. } } } {  I_0.  } 

{ \white{ xxi } }  I_0=\displaystyle\int_0^1x^0\text e^{-x}\,\text dx=\displaystyle\int_0^11\times\text e^{-x}\,\text dx  \\\overset{ { \white{ . } } } {  \phantom{   I_0}=\displaystyle\int_0^1\text e^{-x}\,\text dx } \\\overset{ { \white{ . } } } {  \phantom{   I_0}=\Big[-\text e^{-x}\Big]_0^1} \\\overset{ { \white{ . } } } {  \phantom{   I_0}=-\text e^{-1}-(-\text e^{0})} \\\overset{ { \phantom{ . } } } {  \phantom{   I_0}=-\text e^{-1}+1} \\\\\Longrightarrow\quad\boxed{I_0=1-\text e^{-1}}


3. a)  Soit  \overset{ { \white{ o. } } } {  n  }  un entier naturel.
{ \white{ xxxi } }Nous devons démontrer que pour tout  \overset{ { \white{ _. } } } { x\in\,[0\;;\;1],\quad 0\leq x^{n+1}\leq x^n.   } 

Observons que  \overset{ { \white{ _. } } } { \forall\,n\in\N,\;\forall\,x\in[0\;;\;1],\quad x\geq 0\quad\Longrightarrow\quad\boxed{ x^n\geq 0}   } 

Nous en déduisons que :

{ \white{ xxi } }  \forall\,n\in\N,\;\forall\,x\in[0\;;\;1],\quad 0\leq x\leq 1\quad\Longrightarrow\quad  0{\red{\,\times x^n}}\leq x{\red{\,\times x^n}}\leq 1{\red{\,\times x^n}}\quad(\text{car }x^n\geq 0) \\\overset{ { \white{ . } } } {  \phantom{  \forall\,n\in\N,\;\forall\,x\in[0\;;\;1],\quad 0\leq x\leq 1}\quad\Longrightarrow\quad  \boxed{0\leq x^{n+1}\leq  x^n} }


3. b)  Nous devons en déduire que pour tout entier naturel  \overset{ { \white{ o. } } } {  n ,  }  on a :  \overset{ { \white{ _. } } } { 0\leq I_{n+1}\leq I_n.   }

Nous avons montré que  \overset{ { \white{ _. } } } {  \forall\,n\in\N,\;\forall\,x\in[0\;;\;1],\qquad 0\leq x^{n+1}\leq  x^n.   } 

Nous en déduisons que pour tout  \overset{ { \white{ _. } } } { n \in N   } , pour tout  \overset{ { \white{ _. } } } { x\in[0\;;\;1],   } 

{ \white{ xxi } } 0\leq x^{n+1}\leq  x^n\quad\Longrightarrow\quad 0\leq x^{n+1}\text e^{-x}\leq  x^n\text e^{-x}\quad\text{(car }e^{-x}>0) \\\overset{ { \white{ . } } } {  \phantom{ 0\leq x^{n+1}\leq  x^n}\quad\Longrightarrow\quad 0\leq \displaystyle\int_0^1 x^{n+1}\text e^{-x}\text dx\leq \displaystyle\int_0^1 x^n\text e^{-x}\text dx } \\\overset{ { \white{ . } } } {  \phantom{ 0\leq x^{n+1}\leq  x^n}\quad\Longrightarrow\quad \boxed{0\leq I_{n+1}\leq I_n }}


4.  Nous devons démontrer que la suite  \overset{ { \white{. } } } { (I_n)   }  est convergente , vers une limite positive ou nulle que l'on notera  \overset{ { \white{ _. } } } {  \ell } 

Nous avons montré dans la question précédente que le suite  \overset{ { \white{ _. } } } {  (I_n)  }  est décroissante et minorée par 0.
Donc la suite  \overset{ { \white{ _. } } } {  (I_n)  }  est convergente vers une limite supérieure ou égale à 0, notée  \overset{ { \white{ _. } } } { \ell.   } 


5.  En utilisant une intégration par parties, nous devons démontrer que pour tout entier naturel  \overset{ { \white{ o. } } } { n   }  on a :

I_{n+1}=(n+1)I_n-\dfrac{1}{\text e}


Pour tout entier naturel  \overset{ { \white{ o. } } } { n   } ,  \overset{ { \white{ _. } } } {  I_{n+1}=\displaystyle\int_0^1 x^{n+1}\text e^{-x}\text dx   } 

\underline{\text{Formule de l'intégrale par parties}}\ :\ {\blue{\displaystyle\int_0^{1}u(x)v'(x)\,\text{d}x=\left[\overset{}{u(x)v(x)}\right]_0^{1}- \displaystyle\int_0^{1}u'(x)v(x)\,\text{d}x}}.  \\ \\ \begin{cases}u(x)=x^{n+1}\quad\Longrightarrow\quad u'(x)=(n+1)x^n \\\\v'(x)=\text e^{-x}\quad\Longrightarrow\quad v(x)=-\text e^{-x}\end{cases}.

\text{Dès lors }\;\overset{ { \white{ . } } } {I_{n+1}= \displaystyle\int_0^1 x^{n+1}\text e^{-x}\text dx=\left[\overset{}{-x^{n+1}\,\text e^{-x}}\right]_0^{1}-\displaystyle\int_0^{1}(n+1)x^n\times(-\text{e}^{-x})\,\text{d}x} \\\overset{ { \white{ . } } } {\phantom{WWWWWWWWWWWW}=\Big[-x^{n+1}\,\text e^{-x}\Big]_0^{1}+(n+1)\displaystyle\int_0^{1}x^n\text{e}^{-x}\,\text{d}x} \\\overset{ { \phantom{ . } } } {\phantom{WWWWWWWWWWWW}=(-1^{n+1}\,\text e^{-1})-0+(n+1)I_n} \\\overset{ { \phantom{ . } } } {\phantom{WWWWWWWWWWWW}=-\,\text e^{-1}+(n+1)I_n} \\\overset{ { \phantom{ . } } } {\phantom{WWWWWWWWWWWW}=-\dfrac{1}{\text e}+(n+1)I_n} \\\\\Longrightarrow\quad\boxed{I_{n+1}=(n+1)I_n-\dfrac{1}{\text e}}

6. a)  Nous devons démontrer que si  \overset{ { \white{ _. } } } {\ell >0    } , l'égalité de la question 5 conduit à une contradiction.

Nous avons montré dans la question 4. que  \overset{ { \white{ W. } } } {  \lim\limits_{n\to+\infty} I_n=\ell\geq 0  } .

Supposons que  \overset{ { \white{ W. } } } {\lim\limits_{n\to+\infty} I_n= \ell > 0   } .

Utilisons l'égalité de la question 5.

{ \white{ xxi } } \begin{cases}  \lim\limits_{n\to+\infty} I_n=\ell>0\\ \lim\limits_{n\to+\infty}(n+1)=+\infty\end{cases}\quad\Longrightarrow\quad  \lim\limits_{n\to+\infty} (n+1)I_n=+\infty \\\overset{ { \white{ . } } } {  \phantom{   \begin{cases}  \lim\limits_{n\to+\infty} I_n=\ell>0\\ \lim\limits_{n\to+\infty}(n+1)=+\infty\end{cases}}\quad\Longrightarrow\quad  \lim\limits_{n\to+\infty} \left[(n+1)I_n-\dfrac{1}{\text e}\right]=+\infty  } \\\overset{ { \white{ . } } } {  \phantom{   \begin{cases}  \lim\limits_{n\to+\infty} I_n=\ell>0\\ \lim\limits_{n\to+\infty}(n+1)=+\infty\end{cases}}\quad\Longrightarrow\quad  \lim\limits_{n\to+\infty} I_{n+1}=+\infty  }

Par unicité de la limite, nous obtenons :  \overset{ { \white{ W. } } } { \lim\limits_{n\to+\infty} I_{n}=\lim\limits_{n\to+\infty} I_{n+1}\quad\Longrightarrow\quad \boxed{\lim\limits_{n\to+\infty} I_{n}=+\infty}.  } 

En résumé, si nous supposons que  \overset{ { \white{ W. } } } {\lim\limits_{n\to+\infty} I_n= \ell > 0   } , alors nous déduisons que  \overset{ { \white{ W. } } } {\lim\limits_{n\to+\infty} I_n= +\infty   } .
Il est évidemment contradictoire d'obtenir :  \overset{ { \white{ _. } } } { \begin{cases}  \lim\limits_{n\to+\infty} I_n=\ell>0\\ \lim\limits_{n\to+\infty}I_n=+\infty\end{cases}   } 

Par conséquent, si  \overset{ { \white{ _. } } } {\ell >0    } , nous aboutissons à une contradiction.


6. b)  Nous devons démontrer que  \overset{ { \white{ _. } } } { \ell=0   } .

Nous savons par la question 4. que  \overset{ { \white{ _. } } } { \ell \geq 0   } .
Or dans la question 6. a), nous avons montré que supposer  \overset{ { \white{ _. } } } {\ell >0    }  menait à une contradiction.

Nous en déduisons donc que  \overset{ { \white{ _. } } } {\boxed{\ell =0}\,.    } 


On donne ci-dessous le script de la fonction  \overset{ { \white{ -. } } } {\text{mystere}    } , écrite en langage Python.
On a importé la constante  \overset{ { \white{ -. } } } { \text{e}.   } 

Bac spécialité maths 2025 Polynésie Jour 1 : image 18


7.  Que renvoie  \overset{ { \white{ _. } } } { \text{mystere(100)}   }  dans le contexte de l'exercice ?

Ce script comporte une boucle comportant  \overset{ { \white{ -. } } } {  n  }  pas.
Cette boucle effectue les calculs successifs des valeurs de  \overset{ { \white{ _. } } } {  I  }  depuis  \overset{ { \white{ _. } } } {  I_0  }  jusque  \overset{ { \white{ _. } } } { I_n,   }  la valeur initiale étant  \overset{ { \white{ _. } } } { I_0=1-\dfrac{1}{\text e}.   } 
Elle crée également une liste formée par ces différentes valeurs.
À l'issue de cette boucle, la fonction fournit la liste de ces valeurs allant de  \overset{ { \white{ _. } } } {  I_0  }  à  \overset{ { \white{ _. } } } {  I_n  } .
Donc  \overset{ { \white{ _. } } } { \text{mystere(100)}   }  renvoie la liste des valeurs allant de  \overset{ { \white{ _. } } } {  I_0  }  à  \overset{ { \white{ _. } } } {  I_{100}  } .


5 points

exercice 4

1.  On considère l'équation différentielle  \overset{ { \white{ _. } } } {  (E): y'=\dfrac 12 y + 4.  } 

{ \white{ xx } }Affirmation 1 : Les solutions de  \overset{ { \white{ _. } } } {  (E)  }  sont les fonctions  \overset{ { \white{ _. } } } { f   }  définies sur  \overset{ { \white{ _. } } } {  \R  }  par :

 \overset{ { \white{ _. } } } {  f(x)=k\text e^{\frac 12 x}-8\quad\text{avec }k\in \R.  } 
{ \white{ xx } }Affirmation VRAIE.

La solution générale d'une équation différentielle de la forme  y'=ay+b  est  y=k\,\text{e}^{ax}-\dfrac{b}{a}\ \ \ \ \ (k\in\R).
Dans ce cas,  \overset{ { \white{ _. } } } { a=\dfrac 12   }  et  \overset{ { \white{ _. } } } { b=4.   }  
D'où la solution générale de l'équation  \overset{ { \white{ _. } } } {  (E)  }  est de la forme  \overset{ { \white{o. } } } {y(x)=k\,\text{e}^{\frac 12x}-\dfrac{4}{\frac 12}\quad(k\in\R)} ,
Donc les solutions de  \overset{ { \white{ _. } } } {  (E)  }  sont les fonctions  \overset{ { \white{ _. } } } { f   }  définies sur  \overset{ { \white{ _. } } } {  \R  }  par :  \overset{ { \white{ _. } } } {  f(x)=k\text e^{\frac 12 x}-8\quad\text{avec }k\in \R.  } 
L'affirmation 1 est vraie.


2.  Dans une classe de terminale, il y a 18 filles et 14 garçons.
{ \white{ xx } }On constitue une équipe de volley-ball en choisissant au hasard 3 filles et 3 garçons.

{ \white{ xx } }Affirmation 2 : Il y a 297 024 possibilités pour former une telle équipe.
{ \white{ xx } }Affirmation VRAIE.

Il y a  \overset{ { \white{ -. } } } {  \begin{pmatrix}18\\3\end{pmatrix}=816  }  façons de choisir 3 filles parmi 18 filles.
Pour chacun de ces choix, il y a  \overset{ { \white{ -. } } } {  \begin{pmatrix}14\\3\end{pmatrix}=364  }  façons de choisir 3 garons parmi 14 filles.
Il y a donc  \overset{ { \white{ _. } } } { 816\times354=297\,024   }  possibilités pour former une équipe de 3 filles et 3 garçons.
L'affirmation 2 est vraie.


3.  Soit  \overset{ { \white{ _. } } } { (v_n)   }  la suite définie pour tout entier naturel  \overset{ { \white{ -. } } } { n   }  par :  \overset{ { \white{ . } } } { v_n= \dfrac{n}{2+\cos(n)}.  } 
{ \white{ xx } }Affirmation 3 : La suite  \overset{ { \white{ _. } } } {  (v_n)  }  diverge vers  \overset{ { \white{ _. } } } {  +\infty .  } 
{ \white{ xx } }Affirmation VRAIE.

Pour tout entier naturel  \overset{ { \white{ -. } } } { n   } ,

{ \white{ xxi } } -1\leq \cos(n)\leq 1\quad\Longrightarrow\quad 2-1\leq 2+\cos(n)\leq 2+1 \\\overset{ { \white{ . } } } {  \phantom{   -1\leq \cos(n)\leq 1}\quad\Longrightarrow\quad 1\leq 2+\cos(n)\leq 3  } \\\overset{ { \white{ . } } } {  \phantom{   -1\leq \cos(n)\leq 1}\quad\Longrightarrow\quad \dfrac11\geq \dfrac{1}{2+\cos(n)}\geq \dfrac13  } \\\overset{ { \white{ . } } } {  \phantom{   -1\leq \cos(n)\leq 1}\quad\Longrightarrow\quad \dfrac n1\geq \dfrac{n}{2+\cos(n)}\geq \dfrac n3  } \\\overset{ { \phantom{ . } } } {  \phantom{   -1\leq \cos(n)\leq 1}\quad\Longrightarrow\quad n\geq v_n\geq \dfrac n3  } \\\\\Longrightarrow\quad\boxed{\forall\, n\in \N, \quad \dfrac n3\leq v_n}

Par le théorème de comparaison, nous obtenons :

{ \white{ xxi } }  \begin{cases} \dfrac n3\leq v_n \\\lim\limits_{n\to+\infty}\dfrac n3=+\infty \end{cases}\quad\Longrightarrow\quad \boxed{\lim\limits_{n\to+\infty}v_n=+\infty }

L'affirmation 3 est vraie.


4.  Dans l'espace rapporté à un repère orthonormé  \overset{ { \white{ _. } } } { (O;\,\vec i,\,\vec j,\,\vec k)   } , on considère les points  \overset{ { \white{ _. } } } { A (1;\, 1;\, 2), B (5;\, -1;\, 8)   }  et  \overset{ { \white{ _. } } } { C (2;\, 1;\, 3) .   } 
{ \white{ xx } }Affirmation 4 :  \overrightarrow{AB} \cdot \overrightarrow{AC}= 10  et une mesure de l'angle  \widehat{BAC}  est 30°.
{ \white{ xx } }Affirmation FAUSSE.

\overset{ { \white{ . } } }{\bullet}{\white{x}}D'une part,

{ \white{ xxi } }  \begin{cases} A(1;1;2)\\ B(5;-1;8) \end{cases} \quad\Longrightarrow\quad\overrightarrow{AB}\begin{pmatrix}5-1\\-1-1\\8-2\end{pmatrix} \quad\Longrightarrow\quad\boxed{\overrightarrow{AB}\begin{pmatrix}4\\-2\\6\end{pmatrix}} \\\\  \begin{cases} A(1;1;2)\\ C(2;1;3) \end{cases} \quad\Longrightarrow\quad\overrightarrow{AC}\begin{pmatrix}2-1\\1-1\\3-2\end{pmatrix} \quad\Longrightarrow\quad\boxed{\overrightarrow{AC}\begin{pmatrix}1\\0\\1\end{pmatrix}}

Dès lors,  \overset{ { \white{ _. } } } {  \overrightarrow{AB}\cdot \overrightarrow{AC}=4\times1+(-2)\times0+6\times1\quad\Longrightarrow\quad\boxed{\overrightarrow{AB}\cdot \overrightarrow{AC}=10}  } 

\overset{ { \white{ . } } }{\bullet}{\white{x}}D'autre part,  \overrightarrow{AB}\cdot \overrightarrow{AC}=AB\times AC\times\cos(\widehat{BAC})

où  \overset{ { \white{ _. } } } {  \begin{cases}AB=\sqrt{4^2+(-2)^2+6^2} \\\phantom{AB}=\sqrt{16+4+36}\\\phantom{AB}=\sqrt{56}  \\\phantom{AB}=2\sqrt{14}   \\AC=\sqrt{1^2+0^2+1^2} \\\phantom{AC}=\sqrt{1+0+1}\\\phantom{AC}=\sqrt{2}   \end{cases}  } 

Dès lors,

{ \white{ xxi } }  \overrightarrow{AB}\cdot \overrightarrow{AC}=AB\times AC\times\cos(\widehat{BAC}) \\\overset{ { \white{ . } } } {  \phantom{   \overrightarrow{AB}\cdot \overrightarrow{AC}}=2\sqrt{14}\times\sqrt 2\times\cos(\widehat{BAC}) }  \\\overset{ { \white{ . } } } {  \phantom{   \overrightarrow{AB}\cdot \overrightarrow{AC}}=2\sqrt{28}\times\cos(\widehat{BAC}) }  \\\overset{ { \white{ . } } } {  \phantom{   \overrightarrow{AB}\cdot \overrightarrow{AC}}=4\sqrt{7}\times\cos(\widehat{BAC}) }  \\\\\Longrightarrow\quad\boxed{\overrightarrow{AB}\cdot \overrightarrow{AC}=4\sqrt{7}\times\cos(\widehat{BAC}) }  

Nous en déduisons que :

{ \white{ xxi } }  \begin{cases}\overrightarrow{AB}\cdot \overrightarrow{AC}=4\sqrt{7}\times\cos(\widehat{BAC})\\\overrightarrow{AB}\cdot \overrightarrow{AC}=10\end{cases}\quad\Longrightarrow\quad 4\sqrt{7}\times\cos(\widehat{BAC})=10 \\\overset{ { \white{ . } } } {  \phantom{   \begin{cases}\overrightarrow{AB}\cdot \overrightarrow{AC}=4\sqrt{7}\times\cos(\widehat{BAC})\\\overrightarrow{AB}\cdot \overrightarrow{AC}=10\end{cases}}\quad\Longrightarrow\quad \cos(\widehat{BAC})=\dfrac{10}{4\sqrt{7}}=\dfrac{5}{2\sqrt{7}} } \\\overset{ { \white{ . } } } {  \phantom{   \begin{cases}\overrightarrow{AB}\cdot \overrightarrow{AC}=4\sqrt{7}\times\cos(\widehat{BAC})\\\overrightarrow{AB}\cdot \overrightarrow{AC}=10\end{cases}}\quad\Longrightarrow\quad \boxed{\cos(\widehat{BAC})=\dfrac{5\sqrt 7}{14} }}

Or   {   \cos(30^\circ)=\dfrac{\sqrt 3}{2}\;{\red{\neq \dfrac{5\sqrt 7}{14} }}. } 

Par conséquent,  \boxed{\text{mes}(\widehat{BAC}) \neq 30^\circ}  
L'affirmation 4 est fausse.


5.  On considère une fonction  \overset{ { \white{ _. } } } {  h  }  définie sur  \overset{ { \white{ _. } } } { ]0\;;\;+\infty[   }  dont la dérivée seconde est définie sur  \overset{ { \white{ _. } } } { ]0\;;\;+\infty[   }  par :  \overset{ { \white{ _. } } } {h''(x)=x\ln x-3x  } .
{ \white{ xx } }Affirmation 5 : La fonction  \overset{ { \white{ _. } } } { h   }  est convexe sur  \overset{ { \white{ _. } } } { [\text e^3\;;\;+\infty[   } 
{ \white{ xx } }Affirmation VRAIE.

En effet, une fonction est convexe sur un intervalle si sa dérivée seconde est positive sur cet intervalle.

Or, pour tout  \overset{ { \white{ . } } } {  x  }  appartenant à  \overset{ { \white{ . } } } { ]0\;;\;+\infty[   } ,

{ \white{ xxi } } h''(x)\geq0 \quad\Longleftrightarrow\quad x\ln x -3x \geq 0 \\\overset{ { \white{ . } } } {  \phantom{   h''(x)\geq0 }\quad\Longleftrightarrow\quad x(\ln x -3) \geq 0  } \\\overset{ { \white{ . } } } {  \phantom{   h''(x)\geq0 }\quad\Longleftrightarrow\quad \ln x -3 \geq 0 \quad\text{(car }x>0) } \\\overset{ { \white{ . } } } {  \phantom{   h''(x)\geq0 }\quad\Longleftrightarrow\quad \ln x  \geq 3 } \\\overset{ { \phantom{ . } } } {  \phantom{   h''(x)\geq0 }\quad\Longleftrightarrow\quad  x  \geq \text e^3 } \\\\\Longrightarrow\quad \boxed{h''(x)\geq0\quad\Longleftrightarrow\quad  x  \geq \text e^3 }

Par conséquent, la fonction  \overset{ { \white{ _. } } } { h   }  est convexe sur  \overset{ { \white{ _. } } } { [\text e^3\;;\;+\infty[   } .

Merci à Hiphigenie et malou pour avoir élaboré cette contribution.
Publié le
ceci n'est qu'un extrait
Pour visualiser la totalité des cours vous devez vous inscrire / connecter (GRATUIT)
Inscription Gratuite se connecter
Merci à
Hiphigenie
/
malou Webmaster
pour avoir contribué à l'élaboration de cette fiche


Vous devez être membre accéder à ce service...

Pas encore inscrit ?

1 compte par personne, multi-compte interdit !

Ou identifiez-vous :


Rester sur la page

Inscription gratuite

Fiches en rapport

parmi 1768 fiches de maths

Désolé, votre version d'Internet Explorer est plus que périmée ! Merci de le mettre à jour ou de télécharger Firefox ou Google Chrome pour utiliser le site. Votre ordinateur vous remerciera !