Fiche de mathématiques
> >

Exercice de spécialité du

Sujet maths bac 2016 ES spé Pondichéry

Partager :

5 points

exercice 4



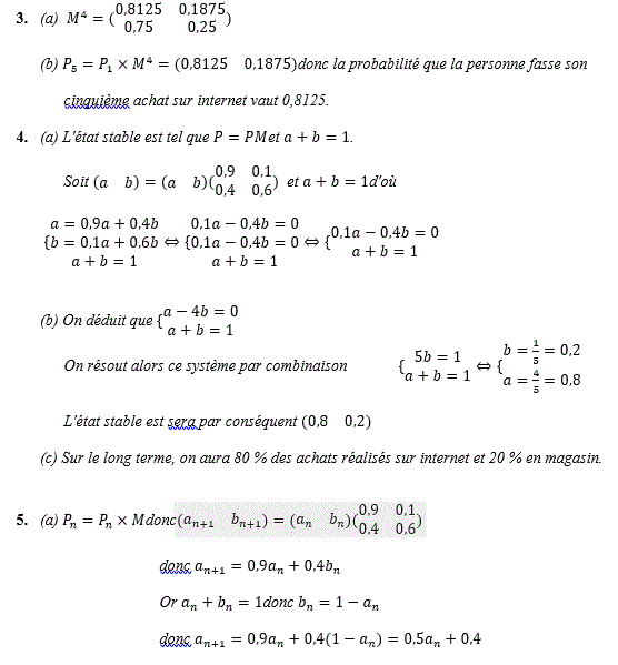
Sujet corrigé maths bac 2016 ES spé Pondichéry : image 16


Sujet corrigé maths bac 2016 ES spé Pondichéry : image 17






Sujet corrigé maths bac 2016 ES spé Pondichéry : image 18

Sujet corrigé maths bac 2016 ES spé Pondichéry : image 19

Sujet corrigé maths bac 2016 ES spé Pondichéry : image 20
Publié le
ceci n'est qu'un extrait
Pour visualiser la totalité des cours vous devez vous inscrire / connecter (GRATUIT)
Inscription Gratuite se connecter


Vous devez être membre accéder à ce service...

Pas encore inscrit ?

1 compte par personne, multi-compte interdit !

Ou identifiez-vous :


Rester sur la page

Inscription gratuite

Fiches en rapport

parmi 1745 fiches de maths

Désolé, votre version d'Internet Explorer est plus que périmée ! Merci de le mettre à jour ou de télécharger Firefox ou Google Chrome pour utiliser le site. Votre ordinateur vous remerciera !