


Bonjour tout le monde, voici l'énigme du jour...
Bonne chance à tous, clôture demain.



La fonction f(x)= sin (
/2cos x)-cos(
/2sin x)est 2
périodique et paire.
L'intervalle d'étude peut être limité à [0,
].
sin (
/2cos x)=cos(
/2sin x)
soit sin (
/2cos x)=sin(
/2-
/2sin x) (1)
soit sin (
/2cos x)=sin(
/2+
/2sin x) (2)
(1) donne cos(x-
/4)=cos(
/4)
x=
/2 sur [0,
].
(2) donne cos(x+
/4)=cos(
/4)
x=0 sur [0,
].
Par symétrie liée à la parité de f(x), la valeur x=-
/2 est également solution.
Donc en conclusion, les solutions sont :
x=0 (2
) et
x=
/2 (
)
bonjour !
alors :
cos (pi/2 *sin x) peut s'ecrire sin (pi/2 - pi/2 * sin x)
donc
sin (pi/2*cos x) = sin ( pi/2 - pi/2 * sin x)
les arg etant dans les bons intervals on peu dire que :
pi/2*cos x = pi/2 - pi/2 * sin x donc avec x compris entre 2kpi et 2kpi+pi, ou k est un entier relatif, comme sa sin x est positif et pi/2 -pi/2 * sin x depasse pas pi/2 donc on reste dans le bonne intervalle pour dire que :
pi/2*cos x = pi/2 - pi/2 * sin x
cos x = 1 - sin x
cos x + sin x = 1
et la les solution (que tous eleve de 1er connait par coeur... ou pas en fais) sont x= 2 K pi ou x = 2K pi + pi/2 avec K entier relatif evidement...
apres on fais le meme raisonement avec x compris entre 2Kpi + pi et 2(k+1) pi et sa rajoute un nouveaux groupe de solution, les 3pi/2 + 2Kpi (exactement le meme raisonement, en changeant un peu les signe et les coef)
sa fais que les solution sont 2kpi, 2kpi+pi/2 et 2 kpi +2pi/2 pour tous K entier relatif...
bon j'ai ete un peu rapide sur le raisonement mais l'essentiel y est...
Bonsoir,
<-->
<--> ou
<--> ou
<--> ou
<--> ou
<--> ou
<--> ou
<--> ou
or pout tout y réel,
d'où ou
<--> ou
<--> ou
<--> ou
ou
ou
<--> ou
ou
Conclusion :
S=
Salut 



Bonjour, alors ma réponse pour x est x =-Phy ou x = Phy
Cos (Phy/2 sin x ) = 0*sinx
Sin (phy/2 cos x)= cos x donc cos x = 0 x= Phy ou x= -Phy
Merci à tous de votre participation, la ou plutot LES bonnes réponses étaient celle formulées très correctement par dad97 et franz.
A bientôt
--> prochaine énigme ce soir.
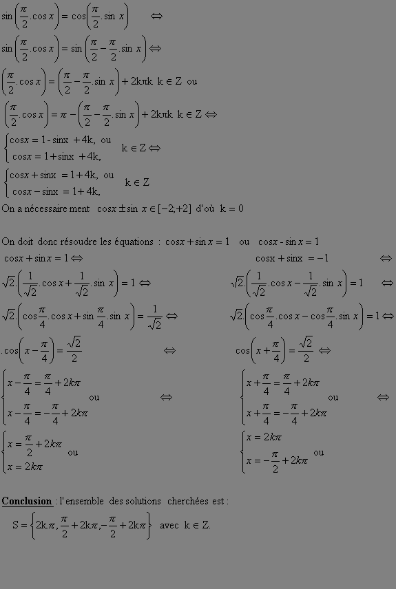
Voici une correction détaillée de l'exercice :
non la mienne est pas juste j'ai fais une faute de frape en l'ecrivant a la fin... (j'ai tapé 2pi/2 ou lieu du 3pi/2 qui aurait ete juste...)
mais celle qu'a mis gilbert est juste il me semble.

pourquoi une telle poissonnerie
je pense que les solutions de Clemclem (même si il y a des doublets dans l'expression de la solution qu'il propose)
les solutions de Ksilver (mis à part dans sa conclusion où il y a un 2 qui s'est malheureusement collé mais la ligne au dessus prouve que c'est simplement une erreur de frappe)
les solutions de Gilbert (où tu aurais peut être préféré voir des crochets plutôt que des parenthèses pour signifier le modulo)
sont tout à fait recevable (j'ai pas regardé leurs raisonnements mais leurs résultast sont corrects)
Salut
Alors, j'ai refusé la réponse de Gilbert pour la raison suivante :
J'attendais trois solutions, il ne m'en a donné que deux, donc sauf erreur de ma part il manque une solution...
J'ai refusé la réponse de clemclem pour la raison suivante :
Il donne comme réponse pi/2 + kpi alors que c'est pi/2 + 2kpi, idem pour l'autre... Sinon il avait bon pour la première solution étant : 2kpi.
J'ai refusé la réponse de Ksilver pour la raison suivante :
Je suis resté sur la conclusion principalement, je n'ai que survolé le développement, je n'avauis donc pas vu que tu avais fait une faute de frappe, ceci étant dis, je vais te mettre un smiley
Voila, j'espère avoir fait les bons choix cette fois-ci ? 



Je suis désolé de contester .
Mes solutions sont bien x = 0 modulo 2
et x=
/2 modulo 
euh j'ai donné la même réponse que Gilbert
en effet on pouvait donner que deux réponses en rassemblant les cas ( ou -
) en
salut 
Vous devez être membre accéder à ce service...
Pas encore inscrit ?
1 compte par personne, multi-compte interdit !
Ou identifiez-vous :