Bonjour, j'ai un petit soucis, à la fin d'un devoir de mathématiques, on me demande de tracer une courbe et c'est bien la seule question à laquelle je bloque! ahahah
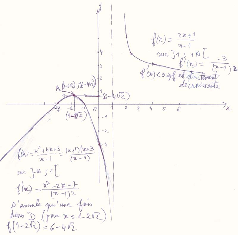
On considère la fonction f définie par f(x) = x2+4x+3 / x-1 sur ]-
;1[ ;
et par f(x) = 2x+1 / x-1 sur ]1;+
[
La question : Tracer la courbe représentative de f dans un repère orthonormé
Je suis totalement bloquée! Merci d'avance pour votre aide ! 
Bonjour!
Regarde sur le graphique tu as en rouge , et en bleu l'autre courbe.
On te demande de tracer (la courbe bleue) sur
et l'autre sur
Donc sur , tu garde juste la courbe bleue, et sur
, la courbe rouge.

D'accord, j'ai compris ! C'est super simple en fait ! Merci beaucoup beaucoup a vous deux d'avoir pris le temps de m'expliquer! C'est super cool ! Juste une petite question : pourquoi dans ]-
; 1[, la courbe coupe l'axe des ordonnées en - 3 ?
Vous devez être membre accéder à ce service...
Pas encore inscrit ?
1 compte par personne, multi-compte interdit !
Ou identifiez-vous :