Bonjour,
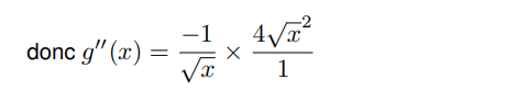
Je ne comprends pas comment on a simplifié (voir images). Il y au carré au numérateur, donc la racine carrée s'annule. Mais il reste x au numérateur et sqrt(x) au dénominateur. Donc comment ou arrive à -4sqrt(x)? Merci 
Bonjour
J'ai supprimé 2 images
Zut j'ai supprimé un truc en trop
Mais j'avais vu
Donc maintenant tu simplifiés par une racine carrée en haut et en bas
Oui ?
Ah oui, je vois. Dans ce cas, il vaut mieux développer pour simplifier au lieu de vouloir enlever la racine carrée au numérateur
Vous devez être membre accéder à ce service...
Pas encore inscrit ?
1 compte par personne, multi-compte interdit !
Ou identifiez-vous :