Inscription / Connexion Nouveau Sujet
Niveau troisième
Partager :

dm sur les probabilité

Posté par
damien06
26-05-12 à 10:08

bonjour à tous

on dispose de deux urnes :

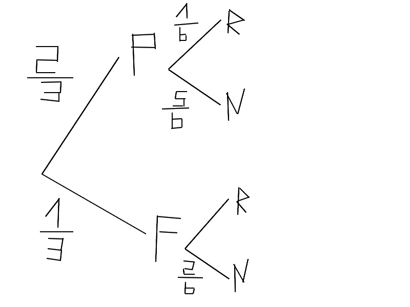
une urne est marquée de la lettre P elle contient 1 jeton rouge et 5 jetons noirs

une urne est marquée de la lettre F elle contient 4 jetons rouges et 2 jetons noirs

on considére aléatoire suivante

on tire à pile ou face avec une PIECE TRUQUE dont la probabilité d'obtenir Pile est égale à 2/3

si on obtient pile on tire un jeton de l'urne P si on obtient Face on tire un jeton de l'urne F

1) traduire l'expérience aléatoire par un arbre pondéré et écrire les issues possibles. (je l'ai faits)

2a) calculer la probabilité des issus PN et PR avec l'arbre pondéré ( fait aussi

2b) sommes nous dans un situation d'équiprobabilité ( fait aussi)

2c)utiliser l'arbre pour calculer les probabilité de l'évenement N "Tirer tirer un jeton noir"

3) calculer la probabilité de lévènement R "Tirer un jeton rouge " de deux manières differentes


merci de bien vouloir m'aider pour la question 2c) et 3)

Posté par
borneo
re : dm sur les probabilité 26-05-12 à 11:16

Bonjour,

tu peux poster ton arbre ? On ne peut pas faire la suite sans savoir si l'arbre est juste.

Posté par
borneo
re : dm sur les probabilité 26-05-12 à 11:21

Si tu n'arrives pas à poster ton arbre, écris les réponses à ces questions :

Citation :
2a) calculer la probabilité des issus PN et PR avec l'arbre pondéré ( fait aussi

2b) sommes nous dans un situation d'équiprobabilité ( fait aussi)


ça permettra de voir si l'arbre est juste.

Posté par
damien06
re : dm sur les probabilité 26-05-12 à 11:23


voila ( vite fait avec photofiltre )

le petit truc qui ressemble à un b mal fait est un 6

Posté par
damien06
re : dm sur les probabilité 26-05-12 à 11:26

5min il faut que je convertis l'image qui est en BMP

Posté par
damien06
re : dm sur les probabilité 26-05-12 à 11:29

voila

dm sur les probabilité

Posté par
borneo
re : dm sur les probabilité 26-05-12 à 16:10

D'accord pour l'arbre.

2/6 = 1/3

Posté par
damien06
re : dm sur les probabilité 27-05-12 à 11:22

désoler pour cette réponse tardive mais pouvez vous m'aidez pour la question 3) j'ai trouver une solution mais je ne vois pas la deuxième

Posté par
borneo
re : dm sur les probabilité 28-05-12 à 00:55

Poste déjà tes réponses pour

Citation :
2a) calculer la probabilité des issus PN et PR avec l'arbre pondéré ( fait aussi

2b) sommes nous dans un situation d'équiprobabilité ( fait aussi)

Posté par
plumemeteore
re : dm sur les probabilité 28-05-12 à 20:36

Bonsoir Damien et Bornéo.
2b : les probabilités des différentes issues ne sont pas égales
2c : probabilité de tirer un jeton noir = probabilité de PN + probabité de FN
3 : première façon : 1 moins probabilité de tirer un jeton noir
deuxième façon : probabilité de PR + probabilité de FR



Vous devez être membre accéder à ce service...

Pas encore inscrit ?

1 compte par personne, multi-compte interdit !

Ou identifiez-vous :


Rester sur la page

Inscription gratuite

Fiches en rapport

parmi 1768 fiches de maths

Désolé, votre version d'Internet Explorer est plus que périmée ! Merci de le mettre à jour ou de télécharger Firefox ou Google Chrome pour utiliser le site. Votre ordinateur vous remerciera !