
Bonjour,
Trois mathiliens ont décidé de faire une petite course de 500 mètres. Le résultat est le suivant (et les victimes du jour mis en scène dans l'énigme sont) :
1. gui_tou
2. rogerd
3. gloubi
Voici dans le détail ce qui s'est passé à l'arrivée :
- lorsque gui-tou a franchi la ligne d'arrivée, il restait 5m à parcourir à rogerd ;
- lorsque rogerd est arrivé, il restait 10 mètres à parcourir à gloubi ;
- gloubi est arrivé 3 secondes après gui_tou.
La question est très simple : Quelle a été la vitesse de gloubi ?
On donnera une valeur en m/s arrondie à 10-3 (et la valeur exacte en option si vous voulez).
Bien entendu, on suppose que les vitesses ont été constantes du début à la fin de la course.
Bon sprint !

La vitesse de Gloubi a été de 14,9/3 m/s, soit 4,967 m/s à 10-3 près.
Ce qui fait le 500 m en un peu plus de 100s(1mn 40s).
Bonsoir Jamo
La question vache du jour : il y a deux Enigmo 10... C'est normal ?
Plus sérieusement :
On note t1 le temps mis par Gui_tou pour parcourir les 500 m, t2 le temps mis par Rogerd et t3 le temps mis par Gloubi.
Gui_tou a parcouru 500 m en t1 secondes. Sa vitesse est donc (500/t1).
Rogerd a parcouru 495 m en t1 secondes et 500 m en t2 secondes. Sa vitesse est donc (500/t2) = (495/t1).
Gloubi a parcouru 490 m en t2 secondes et 500 m en t3 secondes. Sa vitesse est donc (490/t2) = (500/t3).
On sait aussi que t3 = t1 + 3.
En simplifiant les équations, on arrive au système suivant :
t1 = 0,99 t2
t2 = 0,98 t3
t3 = t1 + 3
soit :
t1 = t3 - 3
t1 = 0,99 * 0,98 t3 = 0,9702 t3
soit :
t3 - 0,9702t3 = 3
t3 = 3/0,0298
100,67 secondes
La vitesse de Gloubi est donc
V3 = 500/t3 = 500 * (0,0298/3) = 14,9/3
4,967 m/s
Salut jamo
(Enigmo 10 ou 11?)
G vitesse de gui_tou, R vitesse de rogerd, L vitesse de gloubi
Quand gui_tou fait 500m, rogerd fait 495m, donc (1)
Quand rogerd fait 500m, gloubi fait 490m, donc (2)
Temps de la course de gui_tou:
Temps de la course de gloubi:
gui_tou 3 secondes avant gloubi: (3)
De (1) et (2) on obtient: , soit
(4)
De (3) et (4) on obtient:
La resolution de l'equation nous donne: (je traduis:
vitesse de gui_tou = 5.119 m/s)
D'ou: vitesse de rogerd = 5.068 m/s (valeur exacte )
Et la solution: vitesse de gloubi = 4.967 m/s (valeur exacte )

Bonjour!
D'abord, je suis très fier d'avoir battu Gloubi!
Passons aux choses sérieuses!
Mettons un v devant les pseudos pour signifier les vitesses.
On a vroger=(495/500)vguitou et vgloubi=(490/500)vroger
J'élimine vroger (!) et je trouve (sans calculatrice!)
vgloubi=(485,1/500)vguitou.
Donc, quand guitou est arrivé il restait 14,9 m à parcourir à gloubi. Comme il les a faits en 3 s, j'en déduis que
la vitesse de Gloubi est de (14,9/3) mètres par seconde, soit 4,967 m/s en arrondissant à 10^(-3) près
(me faire faire 500m à 18 km/h, à mon âge...)
Bonsoir Jamo
Sans vérifier mes calculs je réponds 4.967 m/s (ce qui fait exactement 17.88 km/h) , la valeur exacte est 149/30 m/s.
Merci pour l'énigme
.
bonjour Jamo
la vitesse de Gloubi est 4,967 m par seconde arrondie au millimètre le plus proche (14,9/3)
je voudrais en être capable
la vitesse de Rogerd est 495/500 celle de Gui-Tou
la vitesse de Gloubi est 490/500 celle de Rogerd
la vitesse de Gloubi est 98/100 * 99/100 = 9702/10000 celle de Gui-Tou
quand Gui-Tou a parcouru 500 mètres, Gloubi en a parcouru 485,1 mètres, soit 14,9 mètes de moins
on aurait pu permuter dans l'énoncé 5 mètres et 10 mètres
Bonjour !
Ca me semble trés facile pour un 3 étoiles (ça fera qu'un
de plus
).
Lorsque gui-tou franchit la ligne, rogerd a parcouru 495/500 du trajet.
Je calcule ensuite la distance entre gloubi est rogerd (proportionnelle a la distance parcourrue) : L = 10 * 495/500 = 9.9
Ainsi v = (L+5)/3 = 149/30
4.967 m/s
La vitesse de gloubi était environ de 4.967 m/s.
Bonsoir
Quand (1) franchit la ligne à 500 mètres en t1, à la vitesse v1, (2), qui court à la vitesse v2, est 5 mètres derrière :
500=v1t1
495=v2t1
Quand (2) franchit la ligne à 500 mètres en t2, à la vitesse v2, (3), qui court à la vitesse v3, est 10 mètres derrière :
500=v2t2
490=v3t2
Quand (3) franchit la ligne à 500 mètres en t3, c'est 3 secondes après (1)
500=v3t3
t3=t1+3
On déduit de tout cela
m/s
La vitesse de gloubi, exprimée en m/s, arrondie à près est de 4,967 m/s
Soit vA, vB et v C les vitesses respectives de gui_tou, rogerd et gloubi.
On a vB = 495/500 vA
et vB = 500/490 vC
d'où vC = 4851/5000 vA (1)
Soit t le temps mis par gui_tou pour atteindre la ligne d'arrivée
On a vC = t/(t+3) vA (2)
En combinant (1) et (2)
t = 14553/149
Or vA = 500/t
donc avec (1) on a vC = 4851/5000 * 500/t
en remplaçant t
vC = 149/30 soit environ 4.967 m/s
Soient V1, V2 et V3 les vitesses respectives de gui-tou, rogerd et gloubi
et t1, t2 et t3 les temps que chaque concurent met pour franchir la ligne d'arrivée.
Chaque concurrent courant à une vitesse constante et en appliquant la relation D=Vt nous avons les égalités suivantes
500=V1t1 (1)
495=V2t1 (2)
500=V2t2 (3)
490=V3t2 (4)
500=V3t3=V3(t1+3) (5)
Des deux premières équations on tire V1/V2=500/495
Des deux suivantes V2/V3=500/490
En multipliant membre à membre on obtient V1/V3=500²/(495*490)
et finalement V1=V3*500²/495*490
De l'équation (1) on tire t1=500/V1
En remplaçant V1 par sa valeur en fonction de V3 on obtient
t1=500/(495*490/(V3*500²))=495*490/(500*V3)
Puis en mettent cette valeur de t1 dans l'équation (5)
500=V3 (495*490/(500*V3)+3)=(495*490+3*500*V3)/500
Et finakement 500²=495*490+3*500*V3
V3=(500²-495*490)/(3*500)=149/30=4.96666666...
En arrondissant à 10-3 la vitesse de Gloubi est 4,967 m/s (soit 17.88 km/h)
bonjour,
Guitou:temps de parcours en seconde t vitesse en m/s v
Rogerd:temps de parcours en seconde t' vitesse en m/s v'
Gloubi:temps de parcours en seconde t" vitesse en m/s v"
d'après les données du texte:
v'=(500-5)/t=495/t => t'=500/v'=(500/495)t
v"=(500-10)/t'=490/t'=> t"=500/v"=(500/490)t'=(500²/490.495)t
par hypothèse :t"=t+3 donc t"=500²(t"-3)/(490.495) on en déduit t"=3(500²/(500²-490.495)
d'où v"=500/t"=(500²-490.495)/(3.500)=(5000-49.99)/30=149/30
la vitesse de Gloubi est donc de (149/30)m/s soit 4,966 m/s par défaut
merci pour cet énigmo et bonne journée
(c'est combien l'actuel record?)
Yop,
Soit t le temps mis par gui_tou (T), t' le temps mis par rogerd (R) et t" le temps mis par gloubi (G).
D'après l'énoncé, on a t"-t=3.
En supposant que les vitesses aient été constantes tout au long de la course, soient vT, vR et vG les vitesses associées :
,
et
Or, au temps t, R a parcouru 495m et au temps t', G a parcouru 490m.
On a donc et
De la première, on tire t' en fonction de t:
De la deuxième, on tire t" en fonction de t':
Donc on a t" en fonction de t :
Ayant la flemme de faire les calculs exacts, la réponse donnée par Maxima est :
t"=1500/149
Donc la vitesse de rogerd, qui est 500/t", est : 4.967 (4.966666666666667) m/s
Bonjour jamo,
Et merci de m'avoir mis à l'honneur
dans cette énigme.
Donc, dans cette "petite" course, ma vitesse a été de m/s, soit environ 4.967 m/s.
Vraiment pas de quoi faire le mariole sur le podium.
A+,
gloubi the loser 
Soient:
x1(t), la distance par rapport au départ de gui_tou à l'instant t,
x2(t), la distance par rapport au départ de rogerd à l'instant t,
x3(t), la distance par rapport au départ de gloubi à l'instant t.
Soient:
t1, le temps mis par gui_tou pour arriver,
t2, le temps mis par rogerd pour arriver,
t3, le temps mis par gloubi pour arriver.
Soient:
v1, la vitesse de gui_tou,
v2, la vitesse de rogerd,
v3, la vitesse de gloubi.
Par définition:
(1),(2),(3) x1(t1) = x2(t2) = x3(t3) = 500 m
(4) v1 = x1(t1)/t1
(5),(6) v2 = x2(t1)/t1 = x2(t2)/t2
(7),(8),(9) v3 = x3(t1)/t1 = x3(t2)/t2 = x3(t3)/t3
De plus, l'énoncé nous donne:
(10) x1(t1)-x2(t1) = 5 m
(11) x2(t2)-x3(t2) = 10 m
(12) t3-t1 = 3 s
On a 12 équations indépendantes à 12 inconnues, ça devrait donc pouvoir le faire...
Pour les distances, déjà:
(1),(2),(3) ...
(1) ds (10) donne (10.1) x2(t1) = 495m
(2) ds (11) donne (11.1) x3(t2) = 490m
Déjà 5 iconnues de trouvées...
Continuons:
(5)-(6) donne (5.2) t2/t1 = x2(t2)/x2(t1) = 100/99.
(7)-(8) donne (7.2) x3(t1) = x3(t2).t1/t2 = 490.t1/t2
(7) et (9) donnent (9.2) v3 = (x3(t3)-x3(t1))/(t3-t1) = (500-x3(t1))/3
On réinjecte (5.2) dans (7.2), ce qui donne:
(7.3) x3(t1) = 490.99/100 = 485,1 m
On réinjecte (7.3) dans (9.2) , d'où:
v3 = (500-485,1)/3 = 14,9/3 m/s
Application numérique:
v3 = 4,967 m/s
Gui-tou parcourt la distance de 500m en t1 secondes à la vitesse V1
V1=500/t1
Rogerd parcourt la distance de 500m en t2 secondes à la vitesse V2
V2=500/t2
Rogerd parcourt la distance de 495m à la vitesse V2 en t1 secondes
V2=495/t1
Rogerd parcourt la distance de 5m à la vitesse V2 en (t2)-(t1) secondes
V2=5/[(t2)-(t1)]
Gloubi parcourt la distance de 500m à la vitesse V3 en t3 secondes
et t3=[(t1) +3]
V3= 500/t3
Gloubi parcourt la distance de 490m à la vitesse V3 en t2 secondes
V3=490/t2
Gloubi parcourt la distance de 10m à la vitesse V3 en [(t3)-(t2)]secondes
V3= 10/ [(t3)-(t2)]=10/[(t1)+3-(t2)]
par suite 495/t1= 5/[(t2)-(t1)]===>5*(t1)=495*[(t2)-(t1)==>t2= 500*t1/495
et 490/t2=10/[(t1)+3-(t2)]===>490*t1+3*490=500*t2
490*t1+3*490=500*t2=500*500*t1/495 ==>t1=1470*495/(500²- 490*495)=727650/7450=14553/149
t3=(14553/149)+3=15000/149 s
V3=500/t3=500*149/15000=149/30 m/s
Vitesse de Gloubi 
,arronie au 10^3, 4,967 m/s
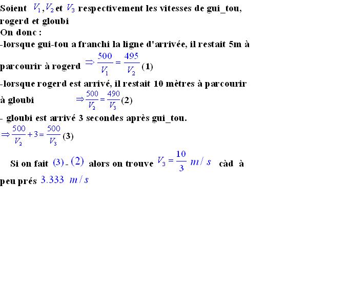
guitou: parcoure 500m en t1
rogerd: parcoure 495m en t1 et 500m en t2
gloubi: parcoure 490m en t2 et 500m en t3
t3=t2+3
5m sont parcourus par rogerd en (t2-t1)
10m sont parcourus par gloubi en (t3-t2)=(t2+3-t2)=3sec
-->gloubi parcoure 10m en 3sec --> v=3.333 m/s
-->gloubi parcoure 500m à 3.333 m/s --> t3=150sec
-->t2=150-3=147sec
-->rogerd parcoure 500m en 147sec-->v=3.401 m/s
-->rogerd parcoure 495m en t1 à 3.401 m/s--> t1=145.545sec
et guitou parcoure 500m en t1=145.545sec--> v=3.435 m/s
En somme vitesse de glitou=3.435 m/s
vitesse de rogerd=3.401 m/s
vitesse de gloubi=3.333 m/s
tout d'abord une mise en équation :
t1 le temps de Gui-tou avec v1 sa vitesse
t2 le temps de Rogerd avec v2 sa vitesse
t3 le temps de Gloubi avec v3 sa vitesse
t2-t1=5/v2,3=10/v3,t3-t1=3,v1=d/t1,v2=d/t2,v3=d/t3
on résoud et on obtient:
v3 = 10/3, t3 = 150, t1 = 147, v1 = 500/147, v2 = 165/49, t2 = 4900/33
et les arrondis:
{v1 = 3.401m/s, t3 = 150s, t1 = 147s, v3 = 3.333m/s, v2 = 3.367m/s, t2 = 148.485s}
merci et bravo Gui-tou
Soient t1, t2, t3 les temps mis respectivement par gui_tou, rogerd et gloubi pour parcourir les 500m; nous avons donc t3=t1+3, t1/t2=495/500=99/100, et t2/t3=490/500=49/50, d'où l'on tire t1/t3=4851/5000 donc t3*149/5000=3; t3=15000/149. D'où la vitesse cherchée v=500/t3=149/30=4,667 m/s
Salut,
Goulbi met 3s pour faire 15m
En 1s il parcourt : (15*1)/3 = 5m
Il parcourt donc 5m en 1s
Donc il va a 5 m/s
Je ne suis pas très forte en math, mai voilà comment j'ai procédé.
La formule de la vitesse est la suivante:
V= d/t
sachant que:
t= 3 secondes
d= 10+5= 15m
Le temps dans le problème est celui qui sépare gui-tou de gloubi, don pour la distance, il faut savoir celle qui sépare gui-tout de gloubi...
donc le calcul est le suivant:
v= 15 / 3
v= 5 m/s
Notons pour chacun des participants, leur vitesse et chrono de la façon suivante :
gui_tou
rogerd
gloubi
Au temps [1]
Au temps [2]
Au temps [3]
[ 3] devient on bien
[ 2] devient
càd
[+1]
Et donc
La vitesse de gloubi était donc càd 4,967m/s arrondi à
Si toutes les vitesses ont étés constante, cela signifie que gloubi était à 15m de l'arrivé quand Gui-tou est arrivée. Cela signifie qu'il a parcourue 15m en 3s ce qui nous fait une vitesse de 5/s, ce qui fait aussi 18 km/h, si je ne me trompe pas !
Notons v1 la vitesse du premier, v2 celle du second et v3 celle du troisième.
Pareil pour t1, t2 et t3.
On a d=500 mètres et on cherche v3.
L'énoncé nous dit que :
t1.v1 = t2.v2 = t3.v3 = 500
t1.v2 = d - 5
t2.v3 = d - 10
t3 = t1 + 3
On en déduit :
v1 = 100/99 . v2
v2 = 100/98 . v3
t1 = 500/v1
t1.v3 + 3.v3 = 500
D'où :
v3 = 149/30
Une valeur approchée à 10^-3 est : 4.967 m/s
Salut
Encore une énigme de vitesse et de distance.. j'aime beaucoup ce genre d'énigme.
Alors, Soit x la vitesse de Gui-tou en m/s et t le temps mis pour sa course
La distance étant de 500m, il aura mis 500/x secondes pour arriver.
Comme Rogerd est a 5m, il n'aura parcouru que 495m pendant ce temps de 500/x secondes
La vitesse de Rogerd est donc de 495x/500 soit 0.99x
La distance étant de 500m, il aura mis 500/0.99x secondes pour arriver
Comme Gloubi est à 10m, il n'aura parcouru que 490m pendant ce temps de 500/0.99x secondes
La vitesse de Gloubi est donc de 490x0.99x/500 soit 4851x/5000 soit 0.9702x
On obtient alors
Vguitou = x
Vrogerd = 0.99x
Vgloubi = 0.9702x
D'autre part, Gloubi est arrivé 3 secondes plus tard que Guitou
Les distances étant les mêmes, on obtient l'équation
xt = 0.9702x.(t+3)
xt = 0.9702xt + 2.9106x
0.0298xt - 2.9106x = 0
x(0.0298t - 2.9106)=0
Soit x = 0 ce qui est impossible soit
(0.0298t - 2.9106)=0
t=2.9106/0.0298
Ou en fraction si vous préférez t = 14553/149 secondes (environ 97.671 s)
On obtient alors x = 74500/14553 m/s (environ 5.119 m/s)
La vitesse de Gloubi étant de 4851x/5000
Elle est donc de (4851x(74500/14553))/5000 soit
... (suspense)...
de 149/30.
La vitesse de gloubi est donc de 149/30 (environ 4.967 m/s)
Ouf!
J'espère qu'il n'y aura pas eu d'erreur!
@ plus, Chaudrack
On notera dans cette réponse V pour vitesse, T pour temps et D pour distance, affectés des indices gl pour gloubi, gu pour guitou et ro pour rogerd (par exemple pour vitesse de gloubi on notera Vgl)...
Grace aux données de l'énoncé on obtient:
Tgu+(5/Vro)=Tro or V=D/T donc 5/Vro=(5/500)Tro.
Ensuite Tro+(10/Vgl)=Tgl et comme V=D/T on a (10/Vgl)=(10/500)Tgl.
Enfin on a Tgl-3=Tgu.
(Remarque:Tous les temps T utilisés sont en secondes, les distances D en mètres et les vitesses V en mètres par secondes.)
On obtient donc un système de trois équations:
(1) Tgu=(495/500)Tro
(2) Tro=(490/500)Tgl
(3) Tgl-3=Tgu
En resolvant ce système on obtient Tgl=(15000/149)s
D'où Vgl=Dgl/Tgl=(149/30)m.s-1 ou encore environ 4,967m.s-1.
plus sérieusement, je propose que tu attende 5 minutes que je note les solutions, et que tu remettent les énigmes en cours
on fait ca?
Bonjour à tous
Jamo >> c'est vraiment dommage de voir mon posteur d'énigme préféré partir pour une telle raison, réfléchit quand même avant de faire ca, t'es pas inscrit à l'île pour n'importe qui que ce soit, ne part donc pas à cause d'aucune persone, il est vrai que infophile a été un peu agressif mais je crois quand même pas qu'il l'a fait mechament il a juste voulu exprimer son point de vue c'est la dimocratie non?
Enfin de compte je me join à simon pour te dire ne pars pas, on t'aime !!
Bonjour à tous!
Je me permets de m'adresser directement à Jamo pour lui dire que, comme l'immense majorité des mathiliens, j'ai beaucoup apprécié ses "Enigmos" pour leur intérêt, leur variété (aussi bien dans la difficulté que dans les rapports avec les maths) et leur présentation à la fois drôle et rigoureuse.
J'apprécie aussi ses comptes-rendus lors de la clôture des énigmes, explicatifs quand il le faut, encourageants pour ceux qui ont fait des erreurs...
Visiblement, Jamo lit soigneusement chacune de nos réponses et y relève les points intéressants.
J'ai donc été surpris par la façon laconique dont il a conclu les 5 dernières énigmes et, en plus, je n'ai pas compris.
Soyons optimistes en traduisant "adios" par "Au revoir", car je pense que tous attendent avec impatience Enigmo 13!
Vous devez être membre accéder à ce service...
Pas encore inscrit ?
1 compte par personne, multi-compte interdit !
Ou identifiez-vous :