Bonjour tout le monde,
lors d'une partie de poker, les 3 joueurs A, B et C sont initialement placés autour de la table comme le montre la 1ère case (en haut à gauche) de la figure ci-dessous.
Lorsque les joueurs finissent la partie, ils décident de changer de place de telle sorte qu'aucun joueur ne soit situé à la place qu'il avait à la 1ère partie (c'est-à-dire que chaque joueur doit impérativement changer de place).
On trouve assez facilement qu'il n'existe que 2 autres configurations possibles (que je vous donne dans les 2 cases en haut de la figure).
Maintenant, on va s'intéresser à ce problème pour 4 et 5 joueurs ...
Question 1 : à partir de la 1ère configuration de 4 joueurs A, B, C et D donnée ci-dessous, combien existe-t-il d'autres configurations de telle sorte qu'aucun joueur ne soit situé à la place qu'il avait initialement ?
Question 2 : à partir de la 1ère configuration de 5 joueurs A, B, C, D et E donnée ci-dessous, combien existe-t-il d'autres configurations de telle sorte qu'aucun joueur ne soit situé à la place qu'il avait initialement ?
Pour les réponses, vous ne me donnerez que le nombre de configurations possibles, inutile de me les représenter.
Pour remporter l'énigme, il faut bien entendu me donner la bonne réponse à chaque question.
Bonne recherche !
PS : l'image de la table de poker est tirée du jeu "Governor of Poker", petit jeu auquel on peut jouer en ligne gratuitement (mais pas en entier) sur plusieurs sites.

Bonjour,
Je crois qu'il y a :
Question 1 : 9
et
Question 2 : 44
configurations telles que personne n'est à sa place de départ.
Encore merci pour l'énigme
Tof
Bonjour,
Question 1 : 9 places (pour une table de 4).
Question 2 : 44 places (pour une table de 5).
En précisant qu'il s'agit bien de position absolues et non relatives, puisque l'exemple fourni, avec 3 joueurs, distingue bien les dispositions équivalentes à une rotation près...
Merci pour l'énigme
.
bonjour
voici ma reponse
Q1 : il y a 9 dispositions
Q2 : il ya 44 dispositions
merci pour l'enigme !
Bonjour;
je trouve 9 combinaisons pour 4 joueurs
et 44 combinaisons pour 5 joueurs
avec 2 méthodes différentes! (donc avec une certaine sérénité). En plus je viens de relire la question pour être certain de répondre à ce qui est demandé et pas à côté une fois de plus...)
Bonjour,
Je trouve 9 possibilités pour 4 joueurs et 44 possibilités avec 5 joueurs. J'espère que je n'en ai pas oublié, parce que j'ai fait ça de façon empirique avec un crayon et des dessins.
Merci
Bonjour,
C'est un probleme de denombrement !
question 1: il existe 3*3=9 autres configurations possibles.
question 2: il existe 4*11=44 autres configurations possibles.
Merci pour cette interessante enigme.
Bonjour Jamo,
J'espère avoir bien saisi le mot initalement: ABCD ou ABCDE!
1)
à partir de la 1ère configuration de 4 joueurs A, B, C et D donnée ci-dessus, il existe 9 autres configurations de telle sorte qu'aucun joueur ne soit situé à la place qu'il avait initialement .
2)
à partir de la 1ère configuration de 5 joueurs A, B, C ,D et E donnée ci-dessus, il existe 44 autres configurations de telle sorte qu'aucun joueur ne soit situé à la place qu'il avait initialement .
Merci pour l'énigmo.
Prouvons par récurrence que la suite des valeurs vérifie
Un = (n-1) * (Un-1 + Un-2)
avec U0 = 1 (la seule permutation à 0 éléments ne laisse aucun joueur à la même place)
et U1 = 0 (la seule permutation à 1 élément laisse le joueur à la même place)
en fait une permutation peut se représenter par des cycles
x-y-z signifie que x prendra la place de y, y celle de z, et z celle de x.
Par exemple
on a ABCDE et on applique (A-B-C D-E) donne CABED
On s'apercoit que A-B-C = B-C-A = C-A-B (mais pas A-C-B)
On cherche donc le nombre de permutations d'un ensemble à n éléments sans cycle de 1 élément.
Comment générer une telle permutation ?
La permutation à n éléments résulte d'une permutation à (n-1) éléments auquel on ajoute l'élément n.
On peut convertir par exemple
(A-B-C D-E) en (A-B-F-C D-E), (A-B-C-F D-E) ou (A-B-C D-E-F)
Comme il ne doit pas y avoir de cycle à 1 élément, l'élément n doit être ajouté à un cycle existant.
- Du coup, pour compter les permutations à n éléments ou n appartient à un cycle d'au moins 3 éléments, on génère toutes les permutations à n-1 éléments (Un-1) et on ajoute n entre 2 éléments (n-1 places), soit au total (n-1)*Un-1
- Pour compter les permutations ou n appartient à un cycle de 2 éléments, on choisit le partenaire de n dans ce cycle parmi les n-1 autre joueurs, et on génère les permutations pour les n-2 autre joueurs (n-1)*Un-2
Du coup, Un = (n-1)Un-1 + (n-1)Un-2
On regarde les premiers termes et c'est bon
Bonjour Jamo.
avec quatre joueurs : neuf configurations
avec cinq joueurs : quarante-quatre configurations
Bonjour
Je trouve 9 configurations différentes pour 4 joueurs, et 44 configurations pour 5 joueurs.
Merci pour l'énigmo et à bientôt !
Bonjour,
Question 1 : pour 4 joueurs, 9 positions
Question 2 : pour 5 joueurs, 44 positions
(bon j'ai triché : comme je ne me sortais pas de mes inclusions/exclusions, j'ai fini par faire un programme)
En fait ce programme me donne pour 6 joueurs, 7 joueurs etc et me donne une suite que j'ai cherché dans OEIS qui m'a donné plein de références ...
Mes inclusions/exclusions auraient dû finir par aboutir à la formule :
bonsoir Jamo
question 1) 9 configurations
question 2) 44 configurations
merci pour ce petit problème de dérangements
Bonjour tout le monde.
-Je propose ceci:
1/ Pour 4 joueurs: Il y'a 9 autres configurations
2/ Pour 5 joueurs: Il y'a 44 autres configurations
Elle m'a travaillé cette enigme et j'ai essayé de la généraliser:
Soit n le nb de joueurs autour de la table.
Soit f(n) le nb de configuration telle qu'aucun joueur ne conserve sa place initiale.
Trouver une expression litterale de f(n).
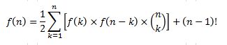
j'ai trouvé (à vérifier quand même ...) une formule par recurrence :
où C'(n;k) vaut en général C(n,k) sauf quand 2k=n où C'(n; k)= 1/2 C(n;k)
on peut aussi l'ecrire plus simplement sous la forme:
à l'aide de cette formule on peut obtenir facilement les premiers éléments de la suite f(n):
la bonne nouvelle c'est que je retrouve f(4)=9 et f(5)=44 ...
la mauvaise c'est que je ne suis pas arrivé a aller plus loin (= à résoudre la formule par recurrence pour donner une expression directe)
Certains auront peut être plus de sagacité !
9
44
Question 1 : à partir de la 1ère configuration de 4 joueurs A, B, C et D donnée ci-dessous, combien existe-t-il d'autres configurations de telle sorte qu'aucun joueur ne soit situé à la place qu'il avait initialement ?
Réponse:9
Question 2 : à partir de la 1ère configuration de 5 joueurs A, B, C, D et E donnée ci-dessous, combien existe-t-il d'autres configurations de telle sorte qu'aucun joueur ne soit situé à la place qu'il avait initialement ?
Réponse : 44
bonjour,
Pour 3 joueurs :2
Pour 4 joueurs :9
Pour 5 joueurs :44
Pour 6 joueurs : 265
Pour 7 joueurs : 1854
Pour 8 joueurs : 14833
Pour 9 joueurs : 133496
Pour 10 joueurs : 1334961
Pour 11 joueurs : 14684570
Pour n joueurs : !n
Voir Sous-factorielle :
http://fr.wikipedia.org/wiki/Analogues_de_la_factorielle
merci Jamo
Re-bonjour, tous!
Trêve de simagrées, allons au coeur de la chose.
Probleme 1: 9 configurations;
Probleme 2: 44 configurations.
Du moins, je le pense autant que je l'espère... Merci, sieur jamo.
Bonjour et merci pour l'énigmo
Un petit programme en python et le tour est joué !
Question 1
Je trouve 9 autres configurations possibles.
En voici la liste (1=A ; 2=B ; 3=C ; 4=D) :
1 -- 2143
2 -- 2341
3 -- 2413
4 -- 3142
5 -- 3412
6 -- 3421
7 -- 4123
8 -- 4312
9 -- 4321
Question 2
Je trouve 44 autres configurations possibles.
Voici la liste (1=A ; 2=B ; 3=C ; 4=D ; 5=E) :
1 -- 21345
2 -- 21354
3 -- 21543
4 -- 23145
5 -- 23154
6 -- 23514
7 -- 23541
8 -- 24153
9 -- 24315
10 -- 24351
11 -- 24513
12 -- 31245
13 -- 31254
14 -- 31524
15 -- 32145
16 -- 32154
17 -- 32514
18 -- 32541
19 -- 34125
20 -- 34215
21 -- 34251
22 -- 34521
23 -- 41253
24 -- 41325
25 -- 41523
26 -- 42153
27 -- 42315
28 -- 42351
29 -- 42513
30 -- 43125
31 -- 43215
32 -- 43251
33 -- 43521
34 -- 51243
35 -- 51324
36 -- 52143
37 -- 52314
38 -- 52341
39 -- 53124
40 -- 53214
41 -- 53241
42 -- 54123
43 -- 54213
44 -- 54321
J'propose une petite formule, il doit y en avoir sous d'autre forme sans recursivité sans doute...
c'est le nombre de façon de permuter n éléments sans en replacer un au même endroit.
Sachant qu'on a besoin des indéxés de
à
pour trouver
.
Sauf pour (bien sûr), quoiqu'il vérifie aussi la formule.
Et donc on trouve :
J'ai vérifié que pour 4 parmi les 4! permutations à 4 éléments, pas pour 5...
Je trouve assez con le mais bon... ce serait presque philosophique...
Donc, bon, ça devrait aller quand même.
Ma réponse est donc :
1/ 9
2/ 44
Par curiosité j'ai demandé à Wolframalpha ce que pouvait être la suite 0 1 2 9 44... il m'a parlé de l fonction subfactoriel, qui est tout à fait ce qu'on demande ici.
Voilà, je tenais à en parler au cas où personne ne l'eu su, ce dont je doute. ^^
C'est un truc de dingue... désolé de pourir le mur des réponses, mais cette découverte est un truc incroyable pour moi... MERCI JAMO !!!
Salut,
Je propose :
- 9 configurations possibles pour la 1ère question
- 44 configurations possibles pour la 2ème question
Merci pour cette énigme.
Groy =)
Clôture de l'énigme
Dans la branche des dénombrements, on utilise souvent les arrangements, les permutation, les combinaisons, ...
Ici, ce que je demandais s'appelle les "dérangements" :
Ceux-ci se calculent avec ce qu'on appelle la sou-factorielle, notée !n :
Bravo à tous ceux qui ont trouvé, et spécialement à ceux qui ont établi les formules sans rien connaitre de ce principe de dénombrement.
Vous devez être membre accéder à ce service...
Pas encore inscrit ?
1 compte par personne, multi-compte interdit !
Ou identifiez-vous :