Bonjour,
voila j'aimerai savoir si la fonction suivante est dérivable :
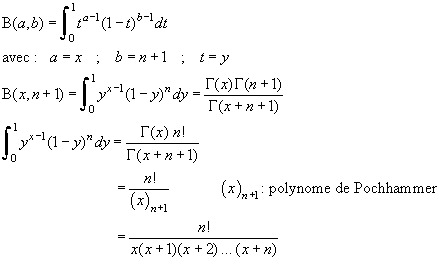
On reconnait un peu la fonction bêta! En fait on a . Je ne sais pas s'il existe une relation du type "formule des compléments". Toute aide est la bienvenue

Bonjour,
il y a une confusion entre la variable d'intégration et le paramètre (y) dans l'intégrale que tu as écrite pour définir la fonction Beta(x,y).
A condition de l'écrire correctement, on voit immédiatement comment répondre à la question :
Bonjour JJa,
en fait je préfère travailler avec la fonction qui elle est je pense bien définie!
Selon ton écriture, on a , donc ok, je vois à peu près les formules que tu utilises suivant la fonction gamma.
Autre question, vu comme fonction du paramètre x est-elle dérivable ?
Remarque pour la limite on aurait pu la trouvé en passant par la définition de l'intégrale à coup de convergence dominée.
Bn(x) étant une fraction polynômiale, elle est dérivable au même titre que toute fraction polynômiale (sauf aux points singuliers bien entendu) et sa dérivée est une fraction polynômiale :
note : la dérivée écrite avec les fonctions usuelles (fraction polynômiale) s'obtient immédiatement par dérivation logarithmique.
Il n'y a pas de dérivation sous le signe intégral puisqu'il n'y a pas d'intégrale : Bn(x) est une fraction polynômiale, tout simplement.
Ok, admettons que dans le cadre d'un exercice on me demande de dériver sous le signe intégrale la fonction , ce que j'ai fais est-il correct ?
Nightmare, si tu repasses, peux-tu préciser :
Salut
La suite de fonction converge simplement vers l'application
et elle est dominée par
qui est intégrable sur [0,1] puisque continue. (évidement, pourvu que x soit strictement supérieur à 1)
On en déduit la convergence de Bn vers l'intégrale de l'application f sur [0,1] qui vaut bien sûr 0.
Ce n'est pas Bn(x) qui est équivalent à ça mais x(x+1)...(x+n). C'est un résultat connu mais me semble-t-il loin d'être trivial !
En fait, j'ai fait ceci :
Puis je vais le changement de variable :
J'applique la cv. dominée à la suite qui converge simplement vert la fonction
.
Donc j'arrive à .
Peux-tu regarder aussi ma justification sur le théorème de dérivation sous le signe intégral. En particulier, je ne suis pas sur que la fonction soit intégrable !
Re !
Oui pour Bn(x) j'avais oublié d'inverser.
Ensuite ta fonction g est bien intégrale puisque prolongeable par continuité en 0.
Donc pour la fonction , il y a un problème en 0. En 1, il n'y a pas de problème car continue, c'est bien ça ?
Mon prof dit qu'en 0, on a toujours mais je ne vois pas comment conclure avec ceci!
Je n'arrive pas à être convaincu que ma majoration convient!
On veut l'intégrabilité sur . Donc, soit je regarde sur
avec
, soit je regarde sur
avec
. Je pense que cela revient au même!
Bref, je choisis la seconde option : je trouve que . Notant
je cherche à montrer que
est intégrable.
J'ai deux résultats :
- où
est une constante strictement positive.
-
Je vois pas comment conclure!
Je ne comprends pas, pourquoi tu cherches l'intégrabilité sur ]0,+oo[? On est sur [0,1] ici ! Sur cet intervalle, ton majorant est continue (du moins, se prolonge par continuité en 0)
Non! Le paramètre x est bien dans \Large ]0,+\infty[!
Je veux montrer que est dérivable comme fonction de
!
Ben Oui, c'est bien ce que je dis ! Il faut donc que tu montres que la dérivée par rapport à x de ton intégrande est intégrable par rapport à y sur [0,1] donc.
Comment je fais dans ce cas ? Et même dans l'autre, je ne vois pas trop!
Je préfère utiliser les majorations et équivalents plutôt que le prolongement par continuité.
Donc si je comprend bien, il faut distinguer selon que ou
?
Si pourquoi la fonction
est-elle intégrable sur
?
Pas de problème sur tout compact de par continuité, en 1 par de problème non plus aussi par continuité, mais en 0 ? C'est ici que j'aimerais précisément utiliser des équivalents du type \Large |ln(y)|=o(y^{-\epsilon}) pour tout
!
Pour [1,+oo[, je te l'ai dit c'est un prolongement par continuité, en 0 la limite est 0 (croissance comparée).
Et si je voulais éviter le prolongement par continuité ?
On sait que tend vers 0 lorsque y tend vers 0 car dans ce cas
.
Donc il existe une constante strictement positive tel que et donc
, en utilisant la monotonie de l'intégrale.
Qu'en penses-tu ?

Je me trompe si je dis qu'on a même plus besoin de discuter suivant que a soit dans ]0,1[ ou [1,+\infty[ ?
Merci!
Par contre, autre question, je suppose que est continue ! Ce coup-ci, il faut majorer
par une fonction intégrable positive.
Alors je trouve et
est bien intégrable sur
relativement à la mesure de Lebesgue compte tenu de ce que
(critère de Riemann).
Qu'en dis-tu ?
Vous devez être membre accéder à ce service...
Pas encore inscrit ?
1 compte par personne, multi-compte interdit !
Ou identifiez-vous :