Bonjour à tous,
Comme c'est bientôt les vacances, je me suis dit que vous auriez du temps pour cogiter
Prenons un carré ABCD de 10 cm de côté.
Dessinons maintenant le triangle AEF dont les sommets E et F se balladent sur les côtés du carré (voir l'exemple ci-dessous).
Attention : le sommet E est toujours situé à une distance entière des extrémités du segment auquel il appartient.
Question : Combien existe-t-il de triangles différents ainsi construits dont le périmètre soit un nombre entier de centimètres strictement supérieur à 30 ?
Deux triangles seront considérés comme différents si on ne peut pas les superposer par translation, rotation, symétrie ou toute composée de telles transformations.
Bonjour à tous.
Problème impossible. Il n'y a pas de triangle dont le périmètre soit un entier supérieur à 30.
Merci pour l'énigme.
Sans aucune conviction, je trouve 90 triangles différents ayant un périmètre entier supérieur strictement à 30.
Bonjour,
Dans un premier temps, je trouve 20 triangles vérifiant ces conditions.
En retirant les doublons considérant les symétries, j'en trouve encore 17.
Ma réponse est donc : 17 triangles
Merci pour cette énigme.
J'en ai compté en tout 184 triangles avec des sommets d!fferents
Et je viens de lire sous la question qu'ils sont différents dans le sens pas semblables. Il faudrait que j'apprenne lire les énoncés, ça pourrait m'aider...
Tout est donc compté en double voir en quadruple....
MA REPONSE EST 84
Bonjour à tous,
Je n'ai trouvé que deux triangles à périmètre entier. L'un de périmètre 27, et l'autre 32.
Il n'y aurait donc qu'une solution à ce problème.
Avec AE = 8 et BF = racine carrée de 21
bonjour
allez zou, je me jette à l'eau (pour cette joute très difficile...)
n'ayant pas exclu que le point E puisse lui-même être un des sommets du carré, je compte 60 triangles distincts (dont seulement 3 pour un périmètre de 34 cm, et 11 pour 33 cm).
quant à mon degré de certitude sur cette réponse... pfffiouuuu, au moins ça.
en tout cas, merci pour cette belle joute !
Bonjour godefroy,
Il existe 80 triangles différents ainsi construits !
Merci pour cette énigme délicate dont la résolution doit être méticuleuse...
A rever de triangles....
Je vais affiner ma réponse à 82 car je crois avoir oublié deux triangles semblables qd AE=9...
Bonsoir Godefroy,
Il existe
23
triangles différents dont le périmètre est un nombre entier de centimètres strictement supérieur à 30 .
Merci pour la joute
NB: Xcas a beaucoup chauffé!
j'ai trouvé 80 triangles différents
(sur un total de 188 triangles)
voici les coordonnées et les périmètres de ces 80 triangles :
Triangle 1 < 0;0> <8.119;10> < 0 ; 10> Périmètre :31
Triangle 2 < 0;0> <8.727;10> < 0 ; 10> Périmètre :32
Triangle 3 < 0;0> <9.326;10> < 0 ; 10> Périmètre :33
Triangle 4 < 0;0> <9.917;10> < 0 ; 10> Périmètre :34
Triangle 5 < 0;0> <10;9.795> < 0 ; 10> Périmètre :34
Triangle 6 < 0;0> <10;7.99> < 0 ; 10> Périmètre :33
Triangle 7 < 0;1> <9.887;0> < 0 ; 10> Périmètre :33
Triangle 8 < 0;1> <9.294;0> < 0 ; 10> Périmètre :32
Triangle 9 < 0;1> <10;9.264> < 0 ; 10> Périmètre :32
Triangle 10 < 0;1> <10;6.449> < 0 ; 10> Périmètre :31
Triangle 11 < 0;2> <9.798;0> < 0 ; 10> Périmètre :32
Triangle 12 < 0;2> <9.198;0> < 0 ; 10> Périmètre :31
Triangle 13 < 0;3> <9.649;0> < 0 ; 10> Périmètre :31
Triangle 14 < 1;0> <8.469;10> < 0 ; 10> Périmètre :31
Triangle 15 < 1;0> <9.088;10> < 0 ; 10> Périmètre :32
Triangle 16 < 1;0> <9.697;10> < 0 ; 10> Périmètre :33
Triangle 17 < 1;0> <10;9.275> < 0 ; 10> Périmètre :33
Triangle 18 < 1;0> <10;7.31> < 0 ; 10> Périmètre :32
Triangle 19 < 2;0> <8.742;10> < 0 ; 10> Périmètre :31
Triangle 20 < 2;0> <9.376;10> < 0 ; 10> Périmètre :32
Triangle 21 < 2;0> <9.997;10> < 0 ; 10> Périmètre :33
Triangle 22 < 2;0> <10;9.995> < 0 ; 10> Périmètre :33
Triangle 23 < 2;0> <10;8.53> < 0 ; 10> Périmètre :32
Triangle 24 < 3;0> <8.932;10> < 0 ; 10> Périmètre :31
Triangle 25 < 3;0> <9.586;10> < 0 ; 10> Périmètre :32
Triangle 26 < 3;0> <10;9.154> < 0 ; 10> Périmètre :32
Triangle 27 < 4;0> <9.034;10> < 0 ; 10> Périmètre :31
Triangle 28 < 4;0> <9.713;10> < 0 ; 10> Périmètre :32
Triangle 29 < 4;0> <10;9.476> < 0 ; 10> Périmètre :32
Triangle 30 < 5;0> <9.036;10> < 0 ; 10> Périmètre :31
Triangle 31 < 5;0> <9.749;10> < 0 ; 10> Périmètre :32
Triangle 32 < 5;0> <10;9.585> < 0 ; 10> Périmètre :32
Triangle 33 < 6;0> <8.92;10> < 0 ; 10> Périmètre :31
Triangle 34 < 6;0> <9.682;10> < 0 ; 10> Périmètre :32
Triangle 35 < 6;0> <10;9.52> < 0 ; 10> Périmètre :32
Triangle 36 < 7;0> <8.657;10> < 0 ; 10> Périmètre :31
Triangle 37 < 7;0> <9.488;10> < 0 ; 10> Périmètre :32
Triangle 38 < 7;10> <9.391;0> < 0 ; 10> Périmètre :31
Triangle 39 < 8;0> <8.192;10> < 0 ; 10> Périmètre :31
Triangle 40 < 8;0> <9.13;10> < 0 ; 10> Périmètre :32
Triangle 41 < 8;0> <9.996;10> < 0 ; 10> Périmètre :33
Triangle 42 < 8;0> <10;9.996> < 0 ; 10> Périmètre :33
Triangle 43 < 8;10> <9.612;0> < 0 ; 10> Périmètre :32
Triangle 44 < 8;10> <8.3;0> < 0 ; 10> Périmètre :31
Triangle 45 < 9;0> <7.423;10> < 0 ; 10> Périmètre :31
Triangle 46 < 9;0> <8.536;10> < 0 ; 10> Périmètre :32
Triangle 47 < 9;0> <9.532;10> < 0 ; 10> Périmètre :33
Triangle 48 < 9;10> <9.757;0> < 0 ; 10> Périmètre :33
Triangle 49 < 9;10> <10;1.307> < 0 ; 10> Périmètre :31
Triangle 50 < 9;10> <0;0.261> < 0 ; 10> Périmètre :32
Triangle 51 < 9;10> <0;0.841> < 0 ; 10> Périmètre :31
Triangle 52 < 10;0> <6.138;10> < 0 ; 10> Périmètre :31
Triangle 53 < 10;0> <7.566;10> < 0 ; 10> Périmètre :32
Triangle 54 < 10;0> <8.784;10> < 0 ; 10> Périmètre :33
Triangle 55 < 10;0> <9.857;10> < 0 ; 10> Périmètre :34
Triangle 56 < 10;1> <2.95;0> < 0 ; 10> Périmètre :31
Triangle 57 < 10;1> <8.406;10> < 0 ; 10> Périmètre :31
Triangle 58 < 10;1> <1.648;0> < 0 ; 10> Périmètre :32
Triangle 59 < 10;1> <9.534;10> < 0 ; 10> Périmètre :32
Triangle 60 < 10;1> <0.52;0> < 0 ; 10> Périmètre :33
Triangle 61 < 10;2> <2.331;0> < 0 ; 10> Périmètre :31
Triangle 62 < 10;2> <1.087;0> < 0 ; 10> Périmètre :32
Triangle 63 < 10;3> <1.931;0> < 0 ; 10> Périmètre :31
Triangle 64 < 10;3> <0.703;0> < 0 ; 10> Périmètre :32
Triangle 65 < 10;4> <1.726;0> < 0 ; 10> Périmètre :31
Triangle 66 < 10;5> <1.72;0> < 0 ; 10> Périmètre :31
Triangle 67 < 10;6> <1.948;0> < 0 ; 10> Périmètre :31
Triangle 68 < 10;7> <10;0.342> < 0 ; 10> Périmètre :31
Triangle 69 < 10;7> <9.066;0> < 0 ; 10> Périmètre :31
Triangle 70 < 10;7> <2.515;0> < 0 ; 10> Périmètre :31
Triangle 71 < 10;8> <10;0.792> < 0 ; 10> Périmètre :31
Triangle 72 < 10;8> <10;0.2> < 0 ; 10> Périmètre :32
Triangle 73 < 10;8> <9.489;0> < 0 ; 10> Périmètre :32
Triangle 74 < 10;8> <7.215;0> < 0 ; 10> Périmètre :31
Triangle 75 < 10;8> <3.867;0> < 0 ; 10> Périmètre :31
Triangle 76 < 10;9> <10;1.303> < 0 ; 10> Périmètre :31
Triangle 77 < 10;9> <10;0.704> < 0 ; 10> Périmètre :32
Triangle 78 < 10;9> <10;0.113> < 0 ; 10> Périmètre :33
Triangle 79 < 10;9> <9.72;0> < 0 ; 10> Périmètre :33
Triangle 80 < 10;9> <7.808;0> < 0 ; 10> Périmètre :32
Bonjour
Il y a plusieurs façons d'aborder ce problème simple
en apparence..
1/la force brute et bonjour les décimales..
2/se dire que les valeurs objectifs étant de 31 32 33 et 34
et ayant une base entière déjà connue n de 0 à 10,on cherche à
résoudre l'équation du type
(x²+(10-n²)) +
(100+x²) =31-n etc
cela devrait faire un cinquantaine d'équations...
3/on voit bien que géométriquement les triangles de Pythagore conviendraient
mais hélas le plus joli 6+8+10 ne fait que 24
4/un petit espoir de périmètre entier avec 7.5 /4
donnant 8.5+6+12.5 =27
5/revenir à 1/en interpolant et en se désespérant au delà de 15 décimales..
Donc pas de périmètres entiers tels que 31 32 33 ou 34 cm

Premier cas
L'équation à résoudre est
Par observation, , il n'y a donc aucune solution dans cet intervalle.
En revanche, il y a 10 solutions comprises entre 31 et 34 inclus, :
Deuxième cas
L'équation à résoudre est
Par observation, , il n'y a donc aucune solution dans cet intervalle.
En revanche, il y a 8 solutions comprises entre 31 et 34 inclus, :
On aurait pu penser qu'il y aurait deux autres solutions : une pour E(0;0) avec un périmètre de 31 et 32 mais elles ne sont pas réelles, donc ne comptent pas.
Il y a donc en tout 10+8 = 18 triangles (et non 19 comme je l'ai mis dans mon premier message
) tous différents dont le périmètre est un entier strictement supérieur à 30.
Merci beaucoup et à bientôt !
Bonjour Godefroy.
Je ne trouve qu'un triangle, avec E sur la graduation 2 de [AB] et F sur [BC] à (racine carrée de 96) de B.
AE = 8; AF = 14; EF = 10; périmètre = 32.
Je n'ai cherché que dans les longueurs entières. Peut-être y a-t-il d'autres triangles avec des longueurs fractionnaires.
Bonjour,
Il n'y a pas de solution qui dépasse le périmètre de 30.
On a des solutions pour tous les périmètres entre 21 et 30.
amitiés
bonsoir à tous.
j'ai compté 10 triangles ayant un périmètre entier >30cm
4 triangles sont rectangles avec AE = 10
pour les six autres : 3 triangles avec AE = 9cm
2 triangles avec AE = 8cm
1 triangle avec AE = 7cm
Clôture de l'énigme :
J'ai été un peu affolé quand j'ai vu qu'il n'y avait pas deux réponses identiques (et en plus personne ne trouvait comme moi
).
J'ai donc refait (et corrigé) mes calculs, avec l'aide de Nicolas75 qui a utilisé une autre méthode et qui a confirmé le résultat. Merci beaucoup
.
J'en profite aussi pour corriger une erreur orthographique (que personne n'a relevée d'ailleurs
) : E et F se baladent (et pas "balladent").
Bonjour,
A part torio, personne ne donne les coordonnées
de tels triangles.
J'aimerai que l'on m'en donne un seul sous la forme:
AE = ? EF ? = FA = ?
Bonjour dpi,
Il existe 7 configurations possibles pour l'emplacement des points E et F sur les différents côtés du carré (compte tenu des symétries).
Pour chacune, on obtient une équation du premier ou du second degré avec comme paramètre le périmètre cherché.
La résolution de ces équations permettent de trouver l'ensemble des solutions, à partir desquelles il faut ensuite éliminer les triangles identiques.
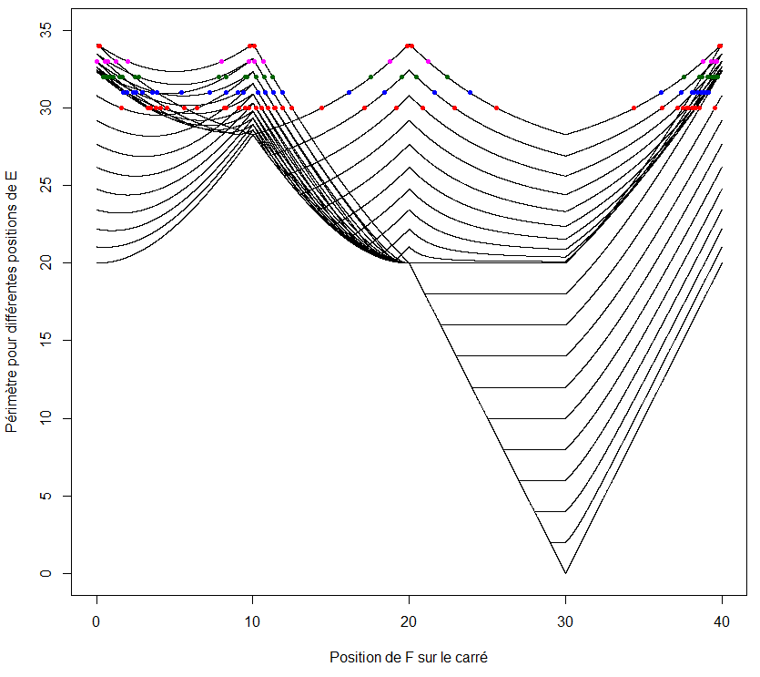
Je n'ai pas d'exemple de coordonnées à te proposer mais le graphique ci-dessous (merci Nicolas75) donne une petite idée de répartition des solutions de ces équations avec en couleur les solutions pour des périmètres entiers (les points rouges correspondent au périmètre 30 que j'ai finalement abandonné
)

Par exemple
périmètre 31
A = [0, 10]
E = [0, 0]
F = [8.119047619047619047619047619, 0]
EF = 8.119047619047619047619047619...
AE = 10
AF = 12.88095238095238095238095238...
Bonjour,
Quelle énigme difficile ! J'avais commencer à la résoudre, en faisant plusieurs cas selon le côté de E et celui de F, j'avais de nombreux triangles rien que pour un seul cas, et ce qui m'effrayait, c'était de faire le tri informatique relatif à la condition "pas de translation, rotation ou symétrie", je ne voyais pas comment l'implémenter simplement dans Maple. Bravo aux 6 bonnes réponses 
Bonjour,
Quelques exemples pour répondre à dpi.
Voici les côtés des triangles à côtés rationnels (entre parenthèse le périmètre) :
Deux exemples de triangles à deux côtés irrationnels :
Deux exemples de triangles aux trois côtés irrationnels :

Merci frenicle
Pour ma part lorsque je rencontrais des décimales
à la suite d'une racine, je considérais que la réponse
ne convenait pas...
Bonjour,
oui, j'aime bien les coniques
ceci dit ce n'est pas parce qu'il y a une ellipse dans un problème que les deux problèmes ont un quelconque rapport 
Bonjour,
Le déclic n'était pas intervenu immédiatement:
Nb_ch:=10:;
f1(x,k):=10-k:;
f2(x,k):=sqrt(x*x+k*k):;
f3(x,k):=sqrt(x*x+100):;
f4(x,k):=sqrt((k-x)*(k-x)+100):;
f5(x,k):=sqrt((10-x)*(10-x)+100):;
f6(x,k):=sqrt((10-k)*(10-k)+x*x):;
f7(x,k):=x:;
f8(x,k):=sqrt(k*k+100):;
f9(x,k):=10-x:;
//f10(x,k):=abs(x-k):;
f10(x,k):=x-k:;
f11(x,k):=sqrt((x-k)*(x-k)+100):;
f12(x,k):=sqrt((10-k)*(10-k)+100):;
f13(x,k):=sqrt((10-x)*(10-x)+k*k):;
f14(x,k):=sqrt((10-x)*(10-x)+(10-k)*(10-k)):;
d1:=[unapply (f1(x,n1),x),unapply (f1(x,n1),x),unapply (f1(x,n1),x),unapply (f8(x,n1),x),unapply (f1(x,n1),x),unapply (f1(x,n1),x),unapply (f8(x,n1),x),unapply (f8(x,n1),x),unapply (f8(x,n1),x),unapply (f1(x,n1),x),unapply (f8(x,n1),x)]:;
d2:=[unapply (f2(x,n1),x),unapply (f4(x,n1),x),unapply (f6(x,n1),x),unapply (f2(x,n1),x),unapply (f9(x,n1),x),unapply (f10(x,n1),x),unapply (f2(x,n1),x),unapply (f10(x,n1),x),unapply (f6(x,n1),x),unapply (f10(x,n1),x),unapply (f11(x,n1),x)]:;
d3:=[unapply (f3(x,n1),x),unapply (f5(x,n1),x),unapply (f7(x,n1),x),unapply (f9(x,n1),x),unapply (f5(x,n1),x),unapply (f6(x,n1),x),unapply (f9(x,n1),x),unapply (f3(x,n1),x),unapply (f5(x,n1),x),unapply (f6(x,n1),x),unapply (f7(x,n1),x)]:;
sol:=[]:;
sol_file:=%{%}:;
AddSol(num,n1):={
local p,s,s1,m,(tr:=[]), (ret:=[]);
for(p:=31;p<=34;p++)
{
eq:=unapply (d1[num](x)+d2[num](x)+d3[num](x),x);
s:=simplify(solve(eq(x)=p,x));
// afficher(size(s),s);
for(m:=0;m<size(s);m++)
{
s1:=simplify(s[m]);
// s1:=evalf(s[m],Nb_ch);
if (s1>=0 && s1<=10)
{
cp++;
tr:=[ simplify(d1[num](s1) ),simplify( d2[num](s1)) ,simplify( d3[num](s1)) ];
tr:=sort(tr);
sol_file:=append(sol_file,tr);
// afficher(tr);
fprint(f,tr,char(13));
sol:=append(sol,[(tr[0],tr[1],tr[2],"=>",evalf(tr[0],Nb_ch) , evalf(tr[1],Nb_ch) , evalf(tr[2],Nb_ch) ,"<=",p,cp,n1,evalf(s[m],Nb_ch),num) ]);
};
};
};
}:;
joute_123():={
local i1,i2,j,(triple:=[]), (cp:=0);
f:=fopen("c:/_joute/123/123.sol");
for(i1:=0;i1<=10;i1++) { for(i2:=0;i2<=10;i2++) { AddSol(i1,i2); }; };
fclose(f);
sol:=sort(sol,(a,b)->(a[0]<b[0]) or ( (a[0]==b[0]) and ( (a[1]<b[1]) or ( (a[1]==b[1]) and (!(a[2]>b[2])) ) ) ) );
sol_file:=sort(sol_file,(a,b)->(a[0]<b[0]) or ( (a[0]==b[0]) and ( (a[1]<b[1]) or ( (a[1]==b[1]) and (!(a[2]>b[2])) ) ) ) );
return %{op(sol_file)%};
}:;
aa:=joute_123():;
//afficher(sol_file);
afficher(size(aa),aa);
Vous devez être membre accéder à ce service...
Pas encore inscrit ?
1 compte par personne, multi-compte interdit !
Ou identifiez-vous :