Inscription / Connexion Nouveau Sujet
Niveau LaTeX
Partager :

Latex

Posté par
tissadu69
24-11-12 à 20:14

Bonsoir,
je voudrais savoir comment on peut écrire A(barre) grâce au Latex svp ...

Merci  

Posté par
Tilk_11 Moderateur
re : Latex 24-11-12 à 20:18

Bonsoir,
es-tu allé voir le guide LateX ici----> [lien]

\bar{A}

Posté par
tissadu69
re : Latex 24-11-12 à 20:22

Merci,
Oui je suis allée le voir mais je n'avais pas remarquer le \bar{z}

car je ne savais pas ce qu'était " le conjugué d'un nombre complexe :"

Je me suis creusé la tête et j'ai trouvé ça : P(^{\frac{\p}{A}})
qui donnait ça P(^{\frac{\p}{A}})

Mais votre solution est beaucoup plus simple ^^
Merci encore


  

Posté par
Tilk_11 Moderateur
re : Latex 24-11-12 à 21:25

de rien

Posté par
mathafou Moderateur
re : Latex 24-11-12 à 22:09

Bonjour,

pour info, c'est le même "piège" que pour les vecteurs
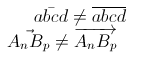
si ce qu'on veut mettre sous la barre est plus grand qu'un seul caractère ça ne marche pas : \bar{abcd} = \bar{abcd}
alors que \overline{abcd} = \overline{abcd}

de même pour les vecteurs :
\vec{A_n B_p} = \vec{A_n B_p} et \overrightarrow{A_n B_p} = \overrightarrow{A_n B_p}

bon sauf ici en fait.... ailleurs on obtient ça :
Latex
...
selon les "implémentations" de LaTeX, ça diffère...

Posté par
tissadu69
re : Latex 24-11-12 à 22:40

Bonsoir Mathafou,
Merci pour l'info complémentaire !



Vous devez être membre accéder à ce service...

Pas encore inscrit ?

1 compte par personne, multi-compte interdit !

Ou identifiez-vous :


Rester sur la page

Désolé, votre version d'Internet Explorer est plus que périmée ! Merci de le mettre à jour ou de télécharger Firefox ou Google Chrome pour utiliser le site. Votre ordinateur vous remerciera !