Inscription / Connexion Nouveau Sujet
Niveau LaTeX
Partager :

Latex_multiple_numérotation

Posté par
MK20211
18-12-15 à 18:53

Bonjour à tous,

Tout d'abord, excusez moi pour une éventuelle erreur de post, je suis tout nouveau sur votre forum

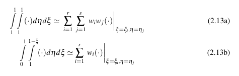
Mon soucis concerne une numérotation latex. Je voudrais écrire deux équations, numérotées par le même indice (type 3.13) mais différencié par a et b (voir image). Pour le moment, je n'arrive qu'à la solution suivante affichée sur mon image, en me servant du code suivant :
''
\begin{subequations} \label{E:gp}
\begin{gather}
\displaystyle{\int\limits_{1}^{1}} \displaystyle{\int\limits_{1}^{1}} ( \cdot ) d\eta d\xi \simeq \hspace{0.1cm} \sum_{i = 1}^{r} \hspace{0.1cm} \sum_{ j = 1}^{s} \hspace{0.1cm} w_i w_j ( \cdot ) \bigg|_{\xi = {\xi}_i, \eta = {\eta}_j}   \label{E:gp1} \\
\displaystyle{\int\limits_{0}^{1}} \displaystyle{\int\limits_{1}^{1-\xi}} ( \cdot ) d\eta d\xi \simeq \sum_{i = 1}^{r}  \hspace{0.1cm} w_i  ( \cdot ) \bigg|_{\xi = {\xi}_i, \eta = {\eta}_j}  \label{E:gp2}
\end{gather}
\end{subequations}
''

Quelqu'un aurait-il une idée pour arriver au résultat similaire à mon image ?

Merci par avance!

Latex_multiple_numérotation

Latex_multiple_numérotation


***lafol > topic déplacé dans "Autre" - LaTeX

Posté par
glouvincs
re : Latex_multiple_numérotation 18-12-15 à 19:42

salut, je ne suis pas sur que l'on puisse t'aider sur l'île pour le latex!

Posté par
luzak
re : Latex_multiple_numérotation 19-12-15 à 14:42

Bonjour !
Essaies sur ce site

Posté par
lafol Moderateur
re : Latex_multiple_numérotation 19-12-15 à 20:54

Bonjour
dire qu'il existe un sous forum \LaTeX dans le forum "Autre" ...
EN postant dans le bon secteur de l'île, on augmente les chances d'avoir des réponses ...

Posté par
MK20211
re : Latex_multiple_numérotation 21-12-15 à 17:08

Bonjour lafol,

Merci pour l'indication , je vais poster dans la sous rubrique dédiée. Il est vrai que ''autres'', ça sous entend Latex. Merci beaucoup, mention bien pour l'amabilité.

@luzak : merci, le site est intéressant, j'ai trouvé pas mal de choses!

Posté par
malou Webmaster
re : Latex_multiple_numérotation 21-12-15 à 17:10

Citation :
je vais poster dans la sous rubrique dédiée


non, non, ne reposte pas, on a fait migrer ton message vers le bon endroit !

Posté par
MK20211
re : Latex_multiple_numérotation 21-12-15 à 17:53

malou  Pas de soucis Merci ! Encore désolé, première fois sur le forum ...

Posté par
glouvincs
re : Latex_multiple_numérotation 21-12-15 à 17:55

MK20211 @ 21-12-2015 à 17:53

malou   Encore désolé, première fois sur le forum ...


Il faut bien une première fois à tout!  

Posté par
malou Webmaster
re : Latex_multiple_numérotation 21-12-15 à 17:56

et n'hésite pas à faire de "up" de temps en temps sur ce message en te répondant à toi-même , tu trouveras peut-être quelqu'un pour te renseigner

Posté par
lafol Moderateur
re : Latex_multiple_numérotation 21-12-15 à 23:25

Tu as essayé de faire une seule équation en deux lignes, chaque ligne contenant son (a) ou (b) ? pour l'espacement tu peux mettre ça en matrice : une colonne alignée à gauche pour l'équation proprement dite, et une alignée à droite pour le "numéro"

Posté par
MK20211
re : Latex_multiple_numérotation 27-12-15 à 09:37

Bonjour @lafol,

Cette solution fonctionne mais c'est un peu ''bricoler'' je trouve, je cherchais quelque chose de plus formel... Mais j'ai conservé cette méthode pour le rendu final, le résultat étant le même le lecteur n'y verra que du feu. Merci



Vous devez être membre accéder à ce service...

Pas encore inscrit ?

1 compte par personne, multi-compte interdit !

Ou identifiez-vous :


Rester sur la page

Désolé, votre version d'Internet Explorer est plus que périmée ! Merci de le mettre à jour ou de télécharger Firefox ou Google Chrome pour utiliser le site. Votre ordinateur vous remerciera !