Inscription / Connexion Nouveau Sujet
Niveau école ingénieur
Partager :

Multiplexeur -structure machine

Posté par
datasciecectt
14-01-22 à 11:44

Bonjour, J'ai une question à propos ce multiplexeur(8vers1): Multiplexeur -structure machine

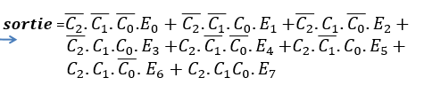
ou ils ont trouvé comme sortie:
S= Multiplexeur -structure machine

mais normalement si je n'ai pas tord on inverse la position de C0C1C2, c-à-d que S=...+C0+C1+C2(bar)+...
j'espere que j'étais claire.

Posté par
mathafou Moderateur
re : Multiplexeur -structure machine 14-01-22 à 12:33

Bonjir,

je ne vois pas du tout ce que tu cherches à faire, à part vouloir rendre incompréhensible le fonctionnement de ce multiplexeur

la sortie est égale à l'entrée numéro n avec n = la valeur du nombre binaire codé par C2C1C0

si C2 = C1 = C0 = 0, c'est à dire si \bar{C_2}.\bar{C_1}.\bar{C_0} = 1, c'est l'entrée numéro 000, E0, d'où le terme \bar{C_2}.\bar{C_1}.\bar{C_0}.E_0
si C2 = 1, C1 = 1 C0 = 0, c'est à dire si C_2.C_1.\bar{C_0} =1, c'est l'entrée 110 c'est à dire E6 par le terme C_2.C_1.\bar{C_0}.E_6
etc

nota : ceci est il vraiment des mathématiques ???
parce que :

attentionextrait de c_faq la FAQ du forum :

Q14 - Les questions sur d'autres matières que les maths sont elles acceptées sur le forum ?



Vous devez être membre accéder à ce service...

Pas encore inscrit ?

1 compte par personne, multi-compte interdit !

Ou identifiez-vous :


Rester sur la page

Inscription gratuite

Fiches en rapport

parmi 1768 fiches de maths

Désolé, votre version d'Internet Explorer est plus que périmée ! Merci de le mettre à jour ou de télécharger Firefox ou Google Chrome pour utiliser le site. Votre ordinateur vous remerciera !