Bonjour,
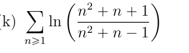
Je dois déterminer la convergence ou non de ma série ci dessous.
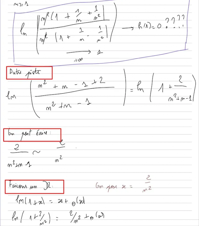
Jai commencé par essayer de simplifier l'intérieur de mon ln en faisant tendre le tout pour voir ce que ça me donnait. Je me retrouve avec du ln(1) qui fait 0 . Ce qui ne me permet pas de conclure ???
J'ai alors opté pour une deuxième méthode avec l'utilisation des DL, qui ma parut plus correct.
Pouvez vous me dire pourquoi ma première option ne marche pas ?
Et comment pourrais je améliorer ma rédaction?
Merci ,

Bonjour,
Soit une série numérique. Le cours te dit que :
1. Si la série converge, alors .
(Ceci permet, par exemple, de conclure que si ne tend pas vers 0, alors la série ne peut pas converger ...
2. La réciproque est fausse en général, comme l'illustre l'exemple très classique de la série harmonique.
==> Regarder si tend vers 0, cela n'est utile que si ce n'est pas le cas pour conclure que la série diverge grossièrement.
Ensuite, il n'est pas nécessaire de faire apparaître le DL, c'est connu que au voisinage de 0, et il est également bien connu que si deux suites sont équivalentes en
, alors les séries associées sont de même nature.
Au niveau de la rédaction, on apprécierait simplement l'introduction de n : Soit ...

Vous devez être membre accéder à ce service...
Pas encore inscrit ?
1 compte par personne, multi-compte interdit !
Ou identifiez-vous :