Inscription / Connexion Nouveau Sujet
Niveau Maths sup
Partager :

Nombres complexes - Lieux géométriques

Posté par
cl4dou
03-01-09 à 19:22

  
   Bonjour,

je voudrais avoir vos lumières sur un exercice qui me perturbe :

  « 1.14. Déterminer le lieu des points d'affixe z tels que les points d'affixe z³, az², a²z forment un triangle équilatéral. »

J'ai procédé de la manière suivante :

  1) D'une part, si z³=az²=a²z, alors le triangle est équilatéral et ce cas est possible si et seulement si a=0 ou z=0.

  Ensuite, j'ai tenté avec la formule classique AC/AB = e ^ +- iπ/3 mais cela ne m'a rien donné... Après avoir cherché un bon moment, j'ai regardé la correction et elle utilise le fameux j = e ^ 2ikπ/3.

   Je voulais savoir comment faire à partir de ce j et également comment le correcteur peut-il écrire « (z + a) / a = -j² soit finalement z = aj ».

   Je vous remercie d'avance chers passionnés !

   Jordane - www.cl4dou.net

Posté par
Nicolas_75 Correcteur
re : Nombres complexes - Lieux géométriques 03-01-09 à 21:02

Bonjour,

La méthode de lycée me semble pourtant fonctionner.

Si je pars de 3$\frac{z^3-a^2z}{az^2-a^2z}=e^{i\frac{\pi}{3}} (un autre cas avec -pi/3 doit aussi être considéré), j'aboutis à 3$z=\frac{e^{i\frac{\pi}{3}}a\pm a(e^{i\frac{\pi}{3}}-2)}{2}

Posté par
cl4dou
re : Nombres complexes - Lieux géométriques 04-01-09 à 02:43

   Justement, ce de quoi vous partez, ce n'est pas AC/AB mais CA/CB. Comment savez-vous qu'il faut tourner la formule dans ce sens pour avoir un résultat raisonnable à l'arrivée?

   De plus, comprenez-vous pourquoi le correcteur peut-il écrire « (z + a) / a = -j² soit finalement z = aj » ?

   Merci d'avance !

   Jordane - www.cl4dou.net

Posté par
Nicolas_75 Correcteur
re : Nombres complexes - Lieux géométriques 04-01-09 à 07:45

Dans l'expression du rapport, un point apparaît deux fois (le centre de la rotation).
J'ai choisi pour ce point celui de puissance en z la plus faible.
Mais, quel que soit celui que tu retiens, cela devrait fonctionner. Montre tes calculs...

Concernant ta 2ème question, n'oublie pas que 1+j+j²=0

Posté par
cl4dou
re : 05-01-09 à 21:25


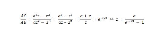
   Si je considère z³ comme A, az² comme B et a²z comme C, alors (je prend l'exemple ac π/3) :

    

  

re :

Posté par
cl4dou
re : 05-01-09 à 21:32


   Cependant, ce résultat ne me convient guère : d'une part, car je n'utilise pas l'expression J qu'il me paraît important de savoir maîtriser en sup' ; d'autre part, la lourdeur de l'expression et son manque de synthèse m'empêcherait sûrement de le réutiliser si le pb était plus long.

   Mais en fait, l'utilisation de ce fameux J n'est possible que si l'on considère dans le Plan de Gauss z³=1 pour dire z = e ^ (2ikπ/3), n'est-ce pas?

Posté par
Nicolas_75 Correcteur
re : Nombres complexes - Lieux géométriques 07-01-09 à 21:08

Partons de ton résultat...

3$z=\frac{a}{e^{i\frac{\pi}{3}}-1}

3$\Longleftrightarrow \frac{z+a}{a}=\frac{ e^{i\frac{\pi}{3}} }{ e^{i\frac{\pi}{3}}-1 }

Rappelons les propriétés de j :
j3=1
1+j+j²=0

De plus :
3$e^{i\frac{\pi}{3}} = -e^{i\pi}e^{i\frac{\pi}{3}} = e^{i\frac{4\pi}{3}} = -j^2

Revenons à nos calculs...

3$... \Longleftrightarrow \frac{z+a}{a}=\frac{ -j^2 }{ -j^2-1 }

3$... \Longleftrightarrow \frac{z+a}{a}=\frac{ -j^2 }{ j }

3$... \Longleftrightarrow \frac{z+a}{a} = -j

Le -j² s'obtient peut-être en prenant -pi/3 au début

Posté par
cl4dou
re : 07-01-09 à 21:42


   Merci beaucoup! Ce n'était pas si complexe (sans jeu de mot) mais je n'avais pas assez de recul sur l'exercice je pense...
  
   Bien à vous !

   Jordane - www.cl4dou.net



Vous devez être membre accéder à ce service...

Pas encore inscrit ?

1 compte par personne, multi-compte interdit !

Ou identifiez-vous :


Rester sur la page

Inscription gratuite

Fiches en rapport

parmi 1768 fiches de maths

Désolé, votre version d'Internet Explorer est plus que périmée ! Merci de le mettre à jour ou de télécharger Firefox ou Google Chrome pour utiliser le site. Votre ordinateur vous remerciera !