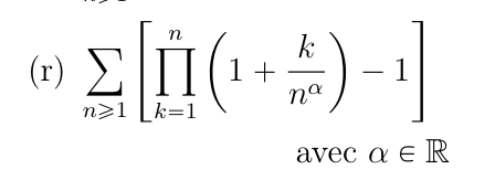
Bonjour, je suis en L2 de maths et je ne comprend pas très bien la manière de résoudre cette partie de l'exo ou l'on doit déterminera la nature de la convergence de cette série.
Je pensais à utiliser le critère d'Alembert ou encore les équivalences ou même décomposé le terme mais je bloque je ny arrive pas
Ma demande est la suivante : pouvez vous me donner une méthode à suivre ou une piste à privilégier pour résoudre ce problème.
Je vous en serai reconnaissante. Merci

Bonjour
Sauf erreur, il me semble que le terme général de cette série ne converge pas vers 0. C'est la première chose qu'il faut regarder
Pardon, j'ai parlé trop vite, ça semble dépendre d'alpha bien évidemment. Mais il peut être intéressant de regarder d'abord pour quel alpha le terme général converge bien vers 0
Bonjour,
Merci pour votre temps.
Quand vous parlez de terme général, nous parlons de l'expression (1+k/n^alpha-1) ou bien de cette expression en incluant le produit ?
Merci.
En effet je viens de comprendre pourquoi étudier le terme avec le produit.
Selon la propriété si Un ->0 , alors la somme Un converge.
Le terme produit me dérange dans l'étude de cette expression 
Bonjour,
Bonsoir,
Oui autant pour moi haha merci de m'avoir reprise!
Désolé de la question j'espère ne pas embêter ;( , pourquoi et comment as tu choisi de travailler avec ln ? Comment est ton passé d'un produit à une somme avec ln qui intervient.
Merci beaucoup d'avoir pris le temps.
Bonne soirée
Bonsoir
Une piste possible pour démarrer
En utilisant l'inégalité (facile à établir)
on a
on en déduit alors que la série diverge si ...
sauf erreur de ma part bien entendu
Vous devez être membre accéder à ce service...
Pas encore inscrit ?
1 compte par personne, multi-compte interdit !
Ou identifiez-vous :