Bonjour à tous,
Je n'arrive pas à résoudre un problème de math de niveau seconde:
Voici l'énoncé:
j'ai accroché au mât de mon bateau un pavillon multicolore, composé de six triangles de couleurs: Jaune (J), orange (O), rouge (R), Violet (Vi), Bleu (B), Vert (Ve).
(voir image attachée)
Quelles sont les aires des triangles bleu et jaunes?
Cette exercice se trouve dans le chapitre sur les équations de droites et les systèmes linéaires. Notre professeur avant de nous le proposer nous a apris a résoudre un système à 3 inconnus (Peut etre un rapport !?!?).
Merci de votre aide.
tu arrive a résoudre une éqution a 3 inconnu en 2nd?
En fait notre professeur donne du travail en plus au 3 meilleur de la classe (J'en fais parti ^^) et il nous a apprend des choses en plus et nous donne des exs a la maison.
Il nous a donc apris a résoudre des systèmes à 3 inconnus vu que le reste de la classe s'en sort pas avec 2 inconnus ~~
Voilà, sinon tu saurai m'aider??
non je ne vois pas comment faire je suis aussi en seconde et je n'ai pas vu les équtions a 3 inconnues mais j'ai une petite idée pour les résoudre
a pars ca rien a rajouter
Oki, merci
Bon espérons que quelqu'un puisse m'aider 
enfet ton énnoncé est il en entier ? car j'ai l'impression qu'il manque qqch
comme par exemple l'aire total du pavillon
Mon énoncé est entier. C'est sur qu'avec l'air total ce serait plus simple 
Oui mais je ne connais aucune base ni aucune hauteur.
Bah oui c'est le but d'un DM d'apres mon prof.
Enfin bon, là je trouve vraiment alors que tout les autres DM etait plus simples.
Dis moi il n'y a que toi sur le forum, lol ??
J'aurai besoin d'un prof ou d'un prepa là je crois 
bonjour
comme on te donnes les surfaces d'apres pythagore tu calcules les hypothenuses verte,orange....de toutes les surfaces que l'on te donnes
Bonjour à tous,
J'ai posté dans la catégorie lycée un exercice mais apparement personne n'arrive a le resoudre, je viens donc voir ici puisque vous etes du niveau au dessus.
Merci de vous rendre ici pour m'aider:
https://www.ilemaths.net/sujet-probleme-pavillon-34396.html
*** message déplacé ***
Ah bon?? J'ai pas poster le meme exo, j'ai juste fais un lien vers mon poste.
Je pensais pas que c'etais sa du multiposte dsl...
Sinon est-ce que quelqu'un peut m'aider??
*** message déplacé ***
Oui je veux bien t'aider,
Je pense mais je ne suis pas sur qu'il manque des infos,
le mat est il perpendiculaire avec la droite qui va jusqu'au bout de la voile ? Si c'est le cas ça aiderai beaucoup, oui à ma connaissance c'est du multipost
*** message déplacé ***
SAlut,
Si l'on considère les deux triangles violet et rouge, on va trouver une relation de proportionalité entre leurs bases. Ces deux triangles ont même hauteur et avc la formule de l'aire d'un trinagle : on trouve que Bvi = 3/2 Br
Par le même raison, si on considère les deux grds triagles (le 1er formé de : violet + bleu + vert et le 2è de : orange + rouge + jaune) alors on peut dire que l'aire du 1er grd triangle vaut 2/3 de l'aire totale et l'aire du 2ème triangle vaut 1/3 de l'aire totale.
Et puis, bien sur l'aire totale vaut la somme de toutes les petites aires.
on se retrouve donc avc les trois équations suivantes :
2/3 Aire totale = 372 + Aire bleue
1/3 Aire totale = 185 + Aire jaune
Aire totale = 557 + aire bleue + aire jaune !
et on se retrouve bien avc un système 3équations + 3 inconnues ! on peut résoudre !
voilou, en espèrant ne pas me tromper sur toute la ligne !!
Tshucch
@nightmare dsl encore pour le multiposte....
@djédai primo: BRAVO!! et merci.
secundo: j'ai pas tout compris ~~
Comment peut-tu savoir au début que les hauteur de vi et r sont égales??
Je ne comprend pas comment tu trouve ensuite que l'aire du premier triangle ( Ve+B+Vi) est égale a 2/3 de l'air totale et que le 2eme triangle est 1/3 de l'aire totale??
Ah j'ai peut-etre compris, tu ne parle pas des hauteurs mais du coté commun a Vi et R!!
Bon pour la deuxième question je compends tjrs pas ^^
ah c'est bon j'ai tout compris, merci beaucoup.
Pfiou, j'ai vraiment le don de poster pour rien
Merci à tous ceux qui m'ont aidés!!!
Dis moi djédai c'est quoi ton niveau d'étude? ( si je suis pas indiscret !!
)
me revoilou
désolé du temps lol
Comme Mauricette le dit
, je suis en 2ème année d'école d'ingé mais je précise juste que c'est une école avc prépa intégrée, si tu veux c'est comme si j'étais en Maths Spé
voilou a+ !!!
Savais pas que sa existait !!! C'est quel école et ou??
EPF Ecole d'ingénieurs
à Sceaux (92)
c'est donc une école généraliste et en dernière année tu prends une option et elles sont super diverses, genre informatique, aéronautique, affaires, matériaux, environnement, médical ...
tu as le site de l'école : www.epf.fr
et si t'appelles le service concours, la nana est super sympa elle te donnera tous les renseignements que tu veux !!
Merci lol, mais j'ai encore le temps, je suis en seconde!!
L'année prochaine 1ere S, puis term, puis une prépa si j'y arrive et apres je verai pour l'école d'inge.
Bien que je ne soit plus tres sur de vouloir faire ingenieur.
Car il y a de + en + ... surtout en informatique.
Enfin bon sa c'est ma vie
Merci encore a toi djédai pour mon DM, je vais essayer de résoudre l'eq a 3 inconnu cette aprem ou ce soir et je posterai surement ici mon resultat.
++
Mince, j'ai un problème pour la résolution du système.
Je trouve que les 2 dernières équations sont les mêmes
Voilà ce que j'ai fait:
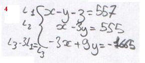
Soit x l'aire totale, y l'aire du triangle bleu et z l'aire du triangle jaune:
voir images attachés.
Hum hum
tiens regardes peut être plutôt de cette manière :
z = 2/3 x - 372 (L1)
y = 1/3 x - 185 (L2)
x = 557 + y + z (L3)
ds L3, tu met L1 et L2
x = 557 + 1/3 x - 185 + 2/3 x - 372
tu obtiens x
et tu remplaces ta valeur de x dans L1 et et L2 et tu te retrouves avec y et z
Je l'avais pas vu de cette facon. ^^
En fait notre prof nous a donné la methode de gauss donc j'ai essayer de l'appliquer ici alors qu'il fallait juste réfléchir.
Merci encore, m'en vais faire mes calculs.
Oui j'ai vu que tu utilisais la méthode de Gauss, d'ailleurs je suis surprise que tu saches déjà la manier !! c'est bien !!
Cette méthode marche très bien mais parfois elle est un peu longue (je n'ai pas dit ch***
mais longue lol) et là on pouvait faire un poil plus rapide !
Bah surtout la methode de gauss ya beaucoup de calculs et par consequent beaucoup d'erreur de calcul^^.
Bon sérieusement j'ai toujours un problème:
on obtiens x = 557 + 1/3 x - 185 + 2/3 x - 372
En gros : x = x
et là problème.....
Ah mer**
là effectivement problème
donc t'as bien résolu ton système avc Gauss !
et il faut qu'on se retrouve une autre équation.
mais là j'avoue je sèches total !!
Bon dis moi si j'ai bien compris :
Deux de nos équations sont les mêmes et il faut qu'on en trouve une autre ?? 
Tu pense que c'est trouvable une 3ème equation dans ce maudit pavillon ??
J'ai peut-etre une idée:
185+y=1/3 de l'aire totale
272+z=2/3 de l'aire totale
donc:
2(185+y)=272+z
370+2y=272+z
z=2y+98
mince je me suis trompé, je rectifie:
2(185+y)=372+z
370+2y=372+z
z=2y-2
Vous devez être membre accéder à ce service...
Pas encore inscrit ?
1 compte par personne, multi-compte interdit !
Ou identifiez-vous :