Bonjour à tous, je cherche désespérément ce qu'est la formule mathématique suivante...
Malgré énormément de recherche, je n'avance pas... Je suis pas un expert en math
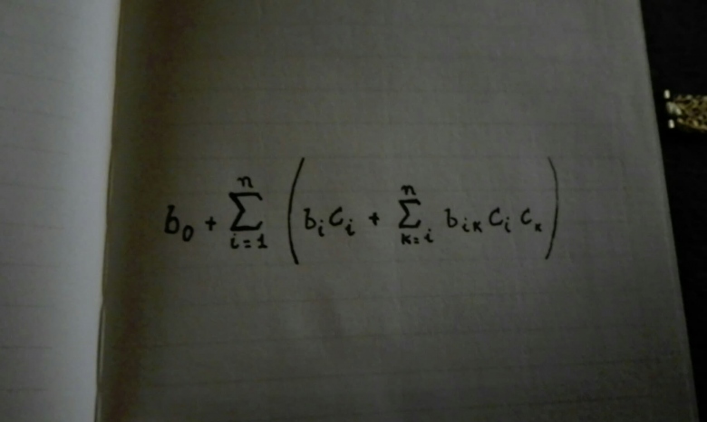
Je sais seulement que c'est un polynôme du second degré. Je n'ai strictement aucune autre information, ni indice.
Si quelqu'un pouvait me dire à quoi cela correspond :]
Merci beaucoup

Ah d'accord 



J'esperais peut etre d'autres avis, d'autres pistes, un ptit quelque chose qui m'aurait mis sur une piste... 
J'esperais peut etre trouver dans quel domaine peut etre utilisé cette formule, dans quelle situation, dans quel métier etc...
Il ne faut pas fantasmer sur cette formule.
Si tu veux savoir ce qui a pu pousser ton grand-père à calligraphier cette formule, au beau milieu d'une page, analyse plutôt le contenu des autres pages, qui est peut-être plus informatif.
peut-être que ce jour là, il a aidé quelqu'un à comprendre une notion, une formule, le signe sigma...va savoir...
si tu voyais les formules qui traînent partout autour de moi sur des papiers, sur d'autres supports...vaut mieux pas que je te confie mes notes....
Je t'ai déjà dit que c'est un polynôme de degré 2 en les . Un polynôme de degré 2, ça peut être l'équation d'une quadrique, ça peut être le développement de Taylor à l'ordre 2 d'une fonction de n variables ...
Encore une fois, ce n'est pas ça qui va te renseigner sur les intérêts de ton grand-père.
J'écris "fantasme" parce que tu donnes l'impression d'accorder une importance particulière à cette formule, qui n'en a pas à mon avis. À moins, encore une fois, que tu la relies au contenu d'autres pages. Mais rester scotché sur cette formule isolée ne t'apportera rien.
Vous devez être membre accéder à ce service...
Pas encore inscrit ?
1 compte par personne, multi-compte interdit !
Ou identifiez-vous :