Bonjour à tous.
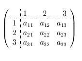
Je cherche à obtenir un résultat similaire à ci-dessous mais avec Miktex.
Une idée ? Car pour le moment les commandes ne sont pas acceptées, je suppose qu'il y a des commandes similaires utilisables.
Merci d'avance.
Salut Kévin.
Et bien non, vu ma maigre expérience je sais pas trop ce qui est réalisable ou pas avec miktex... J'ai toujours été habitué à l'écriture sur l'île donc j'ai un peu de mal lorsqu'il faut faire quelque chose de plus ou moins évolué...
Essaye ceci et dis moi si ça te convient :
Pour avoir les lignes en pointillées c'est possible mais ça nécessite un package, tu en as besoin ?
Il doit y avoir plus simples comme commandes mais bon...
Non que ce soit en pointillé ou pas n'a pas grande importance...
Pour ce qui est du bidouillage, pourquoi faire simple, quand on peut faire compliqué ? 
C'est quand même plus joli en pointillés
Dans le préambule colle \usepackage{arydshln}
Puis utilise le code :

Vous devez être membre accéder à ce service...
Pas encore inscrit ?
1 compte par personne, multi-compte interdit !
Ou identifiez-vous :