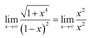
Bonjour, je ne comprends pas comment arrive-t-on à ce résultat (quel moyen utilise-t-on pour simplifier):

bjr,
ce n'est pas une simplification mais une tendence , le nummérateur tend vers la lim de du meme pour le denominateur tend vers la lim de
donc le tous tend vers
Bonsoir, ça n'est pas une simplification comme quand on simplifie des fractions. L'idée c'est que ce sont les termes qui ont l'exposant le plus élevé qui font la limite. Au numérateur c'est
x^4 donc x² et au dénominateur c'est x² donc la fraction se comporte comme x²/x² (disons : "a la même limite que x²/x²").
Ah ok mais pour le numérateur, on dit que c'est Racine carrée de x^4 l'exposant le plus élevé.
Donc en fait le 1 devant on peut l'omettre?
Et si maintenant il n'y avait pas de racine carrée au numérateur, saurait-on calculer cette limite?
oui, on dirait que le numérateur est équivalent à x4 et le dénominateur à x² et donc que le quotient serait équivalent à x² et tendrait donc vers l'infini.
Je vois merci
Et dans quel cas doit-on utiliser cela?
Car dans mon cours, on nous disait de simplifier les fractions et puis utiliser l'hospital.
Mais ici... J'ai essayé les deux mais ça mène nulle part
Vous devez être membre accéder à ce service...
Pas encore inscrit ?
1 compte par personne, multi-compte interdit !
Ou identifiez-vous :