Inscription / Connexion Nouveau Sujet

1 2 +


Niveau première
Partager :

Tangente à une courbe

Posté par
maroui
13-02-22 à 16:53

Bonjour j'ai un exercice et je ne sais pas par où commencer :
On considère la fonction f définie sur R par f(x)=(-4/3) × x**3 +2x**2 + x - 1.
On designe par C sa courbe représentative dans un repère orthonormé.
1) Démontrer que la Courbe C admet deux tangentes parallèles à l'axe des abscisses.

Deja je sais que si f admet un extremun local en a alors f'(a)=0
Et si c'est 0 ça veut dire que la tengante est parallèle a l'axe des abscisses

Posté par
philgr22
re : Tangente à une courbe 13-02-22 à 16:56

Bonjour

Ce que tu dis est correct donc calcule la dérivée.

Posté par
Leile
re : Tangente à une courbe 13-02-22 à 16:57

bonjour,

oui, quand la dérivée s'annule, la tangente à la courbe est //  à l'axe des abscisses..

Donc il faut trouver quand la dérivée s'annule..

1ère chose à faire : exprimer f'(x).
vas y !!

Posté par
Leile
re : Tangente à une courbe 13-02-22 à 16:57

bonjour philgr22,
je n'ai pas été assez rapide    !

Posté par
ty59847
re : Tangente à une courbe 13-02-22 à 16:59

Oui, tu es plus ou moins sur la bonne piste.
Quand la dérivée est 0, la tangente est parallèle à l'axe des abscisses.
Et c'est vrai aussi dans l'autre sens : Quand la tangente est parallèle à l'axe des abscisses , alors la dérivée est 0

Ou encore, je redis exactement la même chose : chercher les points où la tangente est parallèle à l'axe des abscisses, c'est la même chose que chercher les points où la dérivée vaut 0.

Là, j'en ai beaucoup dit ! il  n'y a plus qu'à poser les calculs.

Posté par
ty59847
re : Tangente à une courbe 13-02-22 à 17:01

Arrrgh !
3 messages.
Allez, c'est l'heure du footing, l'exercice devrait être fini quand je reviens.

Posté par
maroui
re : Tangente à une courbe 13-02-22 à 17:12

Je ne suis pas très à l'aise avec le calcul de dérivé donc je ne trouve pas le théorème à appliquer.

Posté par
philgr22
re : Tangente à une courbe 13-02-22 à 17:14

Dérivée de xn?

Posté par
maroui
re : Tangente à une courbe 13-02-22 à 17:19

De la fonction f

Posté par
philgr22
re : Tangente à une courbe 13-02-22 à 17:20

Oui je te demande d'ecrire la dérivée de xnet de t'en servir.

Posté par
maroui
re : Tangente à une courbe 13-02-22 à 17:22

nx**n-1

Posté par
philgr22
re : Tangente à une courbe 13-02-22 à 17:22

D'accord donc utilise cette formule.

Posté par
maroui
re : Tangente à une courbe 13-02-22 à 17:25

-(4/3)*3x**2+2*2x+x-1

Posté par
philgr22
re : Tangente à une courbe 13-02-22 à 17:27

Tu n'as qu'une partie de juste .
Quelle est la dérivée de ax+b?

Posté par
maroui
re : Tangente à une courbe 13-02-22 à 17:31

ah c'est -(4/3)*3x**2+2*2x+1 ?

Posté par
philgr22
re : Tangente à une courbe 13-02-22 à 17:34

oui mais va jusqu'au bout de ton calcul.

Posté par
maroui
re : Tangente à une courbe 13-02-22 à 17:40

-4x**2+4x+1

Posté par
philgr22
re : Tangente à une courbe 13-02-22 à 17:42

Ensuite que fais tu?

Posté par
maroui
re : Tangente à une courbe 13-02-22 à 17:49

j'etudie les variations en calculant le discriminant?

Posté par
philgr22
re : Tangente à une courbe 13-02-22 à 17:53

Relis la question ;pour l'instant , on ne te parle pas d'etude de fonction....

Posté par
maroui
re : Tangente à une courbe 13-02-22 à 17:54

-4x**2+4x+1=0

Posté par
philgr22
re : Tangente à une courbe 13-02-22 à 17:57

Oui : il faut raisonner .
tangente parallele à (OX) , donc coefficient directeur nul .
Or le coefficient directeur d'une tangente à une courbe en un point est egal au nombre dérivé d'où l'equation que tu ecris.

Posté par
maroui
re : Tangente à une courbe 13-02-22 à 18:05



Tangente à une courbe

Posté par
philgr22
re : Tangente à une courbe 13-02-22 à 18:09

Oui donc que conclus tu?

Posté par
maroui
re : Tangente à une courbe 13-02-22 à 18:11

Je ne sais pas

Posté par
philgr22
re : Tangente à une courbe 13-02-22 à 18:16

bah reprend la question.

Posté par
maroui
re : Tangente à une courbe 13-02-22 à 18:24

vraiment je vois pas

Posté par
philgr22
re : Tangente à une courbe 13-02-22 à 18:27

On te demande de montrer quoi?

Posté par
maroui
re : Tangente à une courbe 13-02-22 à 18:28

de demontrer qu'il y a deux tangentes para a l'axe des abscisses

Posté par
philgr22
re : Tangente à une courbe 13-02-22 à 18:29

Bon.que representent les soutions que tu as trouvées?

Posté par
maroui
re : Tangente à une courbe 13-02-22 à 18:33

c'est les solutions de l'equation -4x**2+4x+1=0

Posté par
philgr22
re : Tangente à une courbe 13-02-22 à 18:33

Un conseil bien utile :trace la courbe de la fonction à la calculatrice .

Posté par
philgr22
re : Tangente à une courbe 13-02-22 à 18:34

maroui @ 13-02-2022 à 18:33

c'est les solutions de l'equation -4x**2+4x+1=0

mais encore ? Ce sont les abscisses de quels points par rapport à la courbe?

Posté par
maroui
re : Tangente à une courbe 13-02-22 à 18:38

c'est le abscisses des points ou la courbe passe l'axe des abscisses

Posté par
philgr22
re : Tangente à une courbe 13-02-22 à 18:39

Il faut absolument approfondir ton cours :
Si une courbe admet une tangente en un point A ,le coefficient directeur de cette tangente est f'(xA).
Si cette tangente est parallele à OX , f'(xA) = 0

Posté par
philgr22
re : Tangente à une courbe 13-02-22 à 18:40

maroui @ 13-02-2022 à 18:38

c'est le abscisses des points ou la courbe passe l'axe des abscisses

Non : ne confond pas f(x) =0 et f'(x) =0 d'accord?

Posté par
maroui
re : Tangente à une courbe 13-02-22 à 19:00

oui

Posté par
ty59847
re : Tangente à une courbe 13-02-22 à 20:15

J'ai l'impression que Maroui est toujours paumé.

Il faut que tu fasses un dessin de la courbe au brouillon.
Philgr22 parlait de faire un dessin à la calculatrice. C'est une méthode. Tu peux aussi calculer 5 ou 6 valeurs : f(-2), f(-1) f(0), f(1) et f(2) par exemple.
Mais attention, si tu n'es pas très à l'aise en maths, à tous les coups, tu vas faire des erreurs dans les calculs...
Fais les 2 : les calculs de quelques valeurs, le dessin sur ta calculatrice, et tu regardes si ça correspond plus ou moins.
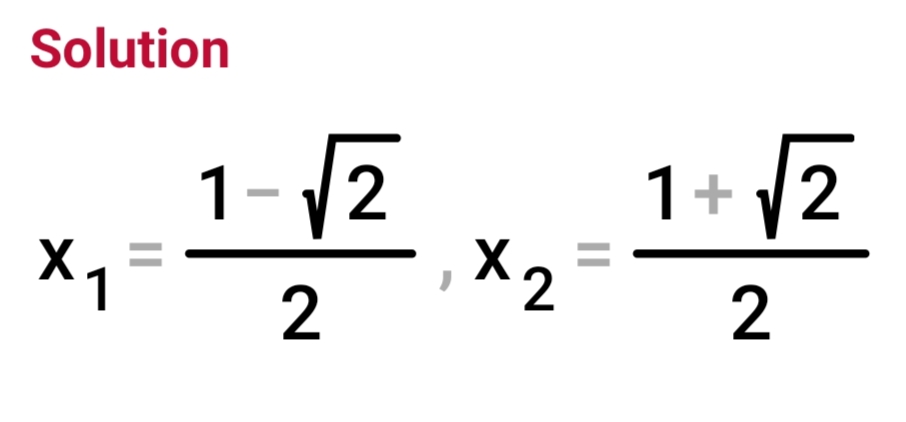
Ensuite, tu as ces 2 valeurs que tu as trouvées : \frac{1-\sqrt{2}}{2} et \frac{1+\sqrt{2}}{2}

Place ces 2 points sur ton graphiques.
Est-ce que tu remarques une '''coïncidence''' ?  
En vrai, ce n'est pas une coïncidence, c'est le thème de l'exercice.

Fais le dessin sérieusement, fais tout ça... tu vas combler plein de lacunes d'un coup.

Posté par
maroui
re : Tangente à une courbe 14-02-22 à 10:39

Merci j'ai enfin compris, les deux points sont les abscisses des deux extremums locales

Posté par
maroui
re : Tangente à une courbe 14-02-22 à 10:42

J'avais pas vu qu'il y a une deuxième question :
Déterminer les coordonnées des points en lesquels la tangente à la courbe C est parallèle à la droite D d'équation y=x+3.

Posté par
ty59847
re : Tangente à une courbe 14-02-22 à 11:20

Dans la première question, on a cherché les réels x pour lesquels f'(x)=0 : pente = 0, tangente = horizontale.

Maintenant, on cherche les réels x pour lesquels la pente vaut ???
Et donc on doit résoudre l'équation ???

A toi de compléter cette phrase, en remplaçant les ??? par les bons mots ou les bonnes formules

Posté par
maroui
re : Tangente à une courbe 14-02-22 à 11:47

On cherche les réels x pour lesquels la pente vaut y'
On doit résoudre l'équation -4x**2+4x+1=y' ?

Posté par
ty59847
re : Tangente à une courbe 14-02-22 à 12:38

Question 1 : Non. La pente vaut toujours y' ... c'est plus ou moins la définition de la pente.
Question 2 : Non, encore plus non que pour la question 1.  Là, tu dis qu'on doit résoudre l'équation y'=y'

On te dit qu'on cherche les points où la tangente est parallèle à la droite d'équation y=x+3 ; cette droite là doit bien intervenir quelque part. Si on avait dit la droite d'équation y=3x+2,ça changeait quelque chose ? Et si on avait dit la droite d'équation y=x-4, ça changeait quelque chose ?

Posté par
maroui
re : Tangente à une courbe 14-02-22 à 13:16

Bah oui ça ne serait plus la meme droite

Posté par
ty59847
re : Tangente à une courbe 14-02-22 à 14:25

On cherche les points où la tangente à la courbe est parallèle à la droite d'équation y=x+3.

Donc je repose les différentes questions :

Q1 : si on cherchait les points où la courbe est parallèle à la droite y=3x+2, est-ce que ça changerait quelque chose ?

Q2 : si on cherchait les points où la courbe est parallèle à la droite y=x-4, est-ce que ça changerait quelque chose ?

Q3 : compléter cette phrase :
on cherche les réels x pour lesquels la pente vaut ???

Q4 : compléter cette phrase :
Et donc on doit résoudre l'équation ???

Posté par
maroui
re : Tangente à une courbe 14-02-22 à 15:50

Q1) oui
Q2)non
Q3) 4x**2+4x+1=1

Posté par
maroui
re : Tangente à une courbe 14-02-22 à 15:52

J'ai trouvé 0 et 1

Posté par
ty59847
re : Tangente à une courbe 14-02-22 à 16:44

L'équation pour la Q4, c'est -4x2+4x+1=1  ; il manque un signe -
Mais la réponse 0 et 1 est bonne.

Posté par
maroui
re : Tangente à une courbe 14-02-22 à 16:55

Donc les coordonnées sont (1;0) et (0;0).
Merci

Posté par
philgr22
re : Tangente à une courbe 14-02-22 à 18:39

Rebonjour maroui : je me répète , il faut absolument approfondir ton cours en REFAISANT les exemples pour voir si tu as rellement COMPRIS .
Ensuite , si rtu sais les refaire, tu APPRENDS les formules ,regles etc... avant de chercher les exercices.
Celà t'evitera de "bricoler" et de perdre du temps.

1 2 +




Vous devez être membre accéder à ce service...

Pas encore inscrit ?

1 compte par personne, multi-compte interdit !

Ou identifiez-vous :


Rester sur la page

Inscription gratuite

Fiches en rapport

Désolé, votre version d'Internet Explorer est plus que périmée ! Merci de le mettre à jour ou de télécharger Firefox ou Google Chrome pour utiliser le site. Votre ordinateur vous remerciera !