Bonjour, bonsoir !
J'ai un léger problème avec GéoGebra, à savoir une incohérence... Bon, le problème, le voici :
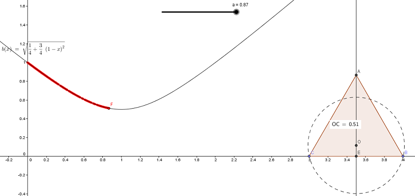
On prend équilatéral de côté
,
le milieu de
, et
le point tel que
, avec
un paramètre fixé. Le but est de trouver le rayon du cercle de centre
et passant par
et
, en fonction de
bien entendu.
Pythagore nous donne simplement que , et après avoir mené les calculs, je trouve que
. J'espère ne pas m'être trompé, j'aurais l'ai malin...
Toujours est-il que le problème n'est pas résolu ! En effet, Si je place sur GéoGebra un point de coordonnées , et que j'active la trace en faisant varier
, eh bien... L'équation obtenue est une piètre approximation de la réalité d'après le logiciel ! Voilà, j'espère avoir été assez clair ; j'ajoute les images pour aider à voir de quoi je parle. Je vous remercie d'avance de votre aide !

" un point de coordonnées (e; OC) ". Que veux-tu dire ? e est un simple rapport de longueurs . . . .
Eh bien je mets en abscisse du point
, et
en ordonnées ; ainsi, le lieu engendré par l'ensemble des positions successives de
(courbe verte) sera en fait la courbe de
telle que
.
Coucou !
J'ai tout construit sur GeoGebra, et pour ma part, les point suivent parfaitement la courbe.
Regarde bien si tu ne t'es pas trompé quelque part, sinon c'est que ton logiciel bug :/
Voilà mon screen :

Mercy @rayper de vous être donné ce mal ^^
Je sais pas, sans doute mon GéoGebra a fait des siennes... Mais maintenant je vais pouvoir utiliser ce résultat dans mon problème (en effet, je voulais être sûr de ce que je faisais !)
Encore merci 
Je t'en prie
Ç'aurait été un drame si notre bon vieux Pythagore s'était trompé sur son théorème, le monde serait en ruine à l'heure qu'il est 
Mon Dieu oui !
D'ailleurs, on s'en est récemment servi en physique pour démontrer que , n'est-ce pas fou ?!
Vous devez être membre accéder à ce service...
Pas encore inscrit ?
1 compte par personne, multi-compte interdit !
Ou identifiez-vous :