Bonjour,
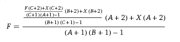
Voilà cela fait maintenant trois jours que j'essaie de résoudre cette équation, seulement à chaque fois je suis presque sûr de m'emmêler les pinceaux. Est-ce que quelqu'un pourrait m'aider ? Il faut isoler F( document ci-joint) en considérant que ici j'ai utilisé des lettres car ce sont des variables dans un algorithme mais elles sont donnés au début de cette algorithme.
Je ne cherche pas de résultat plutot une ligne a suivre pour réussir a passer F de l'autre cote, en gros l'ordre dans lequel je dois effectuer mes calculs.
MERCI de votre réponse.

Bonjour,
Oui je sais seulement je ne sais pas dans quelle ordre développer mes parentheses, je me rappelle plus vraiment.
bonjour
pour "simplifier" l'explication, je pose:
R = F(C+2)+ X(C+2)
S = (B+2)+X(B+2) = (B+2)(1+X)
T = (A+2)+X(A+2) = (A+2)(1+X)
U = (C+1)(A+1) - 1
V = (B+1)(C+1) - 1
W = (A+1)(B+1) - 1
donc
F = []
laisse le dénominateur tel quel.
pour le numérateur :
R*S*T = F(C+2)(1+X)²(A+2)(B+2) + X(C+2)(1+X)²(A+2)(B+2)
reprends l'égalité,
passe le terme en F à gauche de =
factorise F
isole F = ...
Bonjour
Essaye de suivre les conseils donnés ci-dessous : cela t'apprendras à manipuler des expressions assez grandes et à être méticuleux. Au final, tu devrais normalement obtenir l'expression suivante de F (je peux te mettre les étapes intermédiaires si tu le souhaites) :
Sauf erreur de ma part
Florian
Bonjour Florian, je suis actuellement en train de résoudre l'équation avec les indications données mais est ce que tu pourrais tout de meme me donner les méthodes intermédiaire si cela ne pose pas trop de problème ?
Oui. Voici ce que j'avais fait :
On peut d'abord réécrire l'expression de F ainsi :
Puis on peut continuer la ainsi :
On a ensuite :
On arrive alors presque au bout :
D'où on a :
Ce qui te donne au final :
Et finalement la forme que j'ai donné dans mon post de 13:36 en factorisant par
Vérifie tout de même ce que j'ai écrit, on ne sait jamais, une erreur peut vite se glisser dans des gros calculs comme ça.
Florian
Voila moi j'ai trouver
F=D(C+2)(1+D)²(A+2)(B+2)]/[[((C+1)*(A+1)-1)*((A+1)*(B+1)-1)*((B+1)*(C+1)-1)]-[(C+2)(1+D)²(A+2)(B+2)]]
est ce bon ?
Florian, je ne comprends pas ou tu as fait passer le carré dans l'expression F(C+2)(1+X)²(A+2)(B+2)+X(C+2)(1+X)²(A+2)(B+2) qu'avait démontrer Carita, moi je ne l'ai pas enlevé/ annuler et donc j'ai cette expression
F=X(C+2)(1+X)²(A+2)(B+2)]/[[((C+1)*(A+1)-1)*((A+1)*(B+1)-1)*((B+1)*(C+1)-1)]-[(C+2)(1+X)²(A+2)(B+2)]]
A quoi correspond ton D ?
Et pour vérifier tes résultats, je te conseille de fixer les valeurs de A, B, C et X puis de calculer F avec l'expression que tu as obtenu. Tu obtiendras alors la valeurs de F. Réinjecte alors toutes ces valeurs dans l'égalité que tu as donné au début et regarde si tu obtiens la même chose de chaque côté du signe égal.
Nous avons tout les deux faux la vrai repose etait (D(A+2)(C+2))/(ABC+BC+CA+AB-4)=F
c'est une personne sur un autre forum qui me l'a donne je lui ai demande la methode
bonjour,
Bonjour,
Je suis réellement navré de devoir corriger pas à pas.
Je reprends :
U = (C+1)(A+1) - 1
V = (B+1)(C+1) - 1
W = (A+1)(B+1) - 1
je pose a=A+2, b=B+2, c=C+2
alors :
et en reordonnant :
et on peut maintenant retransformer facilement en X,A,B,C
En donnant différentes valeurs à X,A,B,C, j'ai calculé F et reporté dans l'équation initiale, c'est OK
MAIS la formule donnée à 15:24 N'EST PAS JUSTE !
En faite les deux écritures sont correctes. Celle que l'on t'a donnée sur un autre forum est cependant davantage simplifiée par rapport à celle que je t'ai donnée dans mon message précédent
En prenant A = 1, B = 2, C = 3 et D = 4 on tombe avec les deux écritures (celle de l'autre forum et la mienne) sur F = 60/13 
re-Bonjour,
ERREUR : la formule donnée à 15:24 EST JUSTE !
j'ai fini pas mélanger les petits a,b,c et les grands A,B,C dans mon programme de vérification
re re bonjour
Florianb : Je n'avais pas eu le courage de suivre le développement de 14:37
simplifier avant de développer me convenait mieux....
Vous devez être membre accéder à ce service...
Pas encore inscrit ?
1 compte par personne, multi-compte interdit !
Ou identifiez-vous :