Bonjour à tous
La beauté des maths est dans son universalité : tout modèle est transposable à l'infini
Librement inspiré du problème de Bilbo
mélange de cartes à jouer
On a un lot de 8 petits carrés dont les rectos sont peints uniformément avec 8 couleurs différentes , leurs versos sont blancs . On dispose aussi d'un second lot identique au premier à la seule différence que les versos sont noirs . Avec ces 16 carrés exposant leur versos , on construit une chaîne linéaire en alternant le noir et le blanc . La réalisation terminée , on retourne la chaîne et on la réduit en supprimant itérativement tous les voisins de même couleur . Par exemple le morceau de chaîne 12314556642773 se réduira à 123123 . On achève cette première étape en séparant et en retournant les carrés restants .
En moyenne combien faut-il d'étapes pour que le jeu s'arrête ?
On s'amuse sans blankage inutile .
Imod
Bonjour,
Une réponse de simulation numérique :
Cliquez pour afficher
Cliquez pour afficherOn a au moins une estimation du résultat
Une façon de commencer la recherche d'une solution exacte , on part d'une position réduite à n couleurs et on regarde comment la compléter en une position réduite à n+1 couleurs .
Imod
Bonjour,
C'est effectivement un jeu intéressant .
Avec un jeu de tarot,j 'ai pris 8 atouts de 1 à 8 et une couleur de 1 à 8
voici mes scores.
1/ 4 coups
2/4 coups
3/4 coups
4/3 coups
5/3 coups
6)3 coups
7/2 coups
8/3 coups
9/4 coups
10 /4coups
soir une moyenne de 3.4
je vais essayer sur un calcul aléatoire.
Bonsoir,
on peut regarder ce qui se passe quand on a moins de huit couleurs.
Par exemple avec trois couleurs il n'y a qu'une chance sur six pour que la configuration ne soit pas complètement réduite au premier coup.
Oui , c'est l'idée la plus naturelle . Avec 2 couleurs le jeu s'arrête immédiatement et avec 3 couleurs le nombre moyen d'étapes est 6/5 . Une autre idée est de compter les positions réduites avec n couleurs , ce calcul pouvant se faire en brut ou en tenant compte des symétries des couleurs . Par exemple pour 3 couleurs , on peut considérer qu'il n'y a qu'une position réduite . En effet , on positionne les 3 versos blancs une case sur deux avec les rectos 1 , 2 et 3 et il faut disposer les 3 versos noirs dans les espaces à droite des précédents . Si on veut le nombre réel de positions il faut multiplier par 6 X 2 pour tenir compte des couleurs des rectos et des versos . Il semble plutôt naturel de ne compter qu'une position 3,1,2 pour les noirs . D'autre part il est facile de compter le nombre de positions réduites à n+1 couleurs connaissant celui à n couleurs .
Je précise que je n'ai pas de réponse au problème ( j'aime bien chercher avec les autres ) , mes propositions ne sont pas à prendre comme des indices
Imod
Ce qui surprend c'est le peu de coups pour aboutir...
Avec l'aléatoire pour 8 couleurs je reste entre 3.2 et 3.5
Avec mon jeu de tarot pour 5 couleurs je trouve 1.8 et pour6 , 2.2
Si on fait un tableau de nos expériences on a:
2 couleurs 1 er coup
3 couleurs 1.2 coup
4 couleurs 1.4 coup
5 couleurs 1 .8 c oup
6estimation 2.2
7estimation 2.7
8 couleurs 3.4 coups
Personnellement j'ai commencé avec des pions de sudoku rouges et noirs ( cadeau de ma petite fille ) . La première question à se poser : pour un nombre de couleurs donné , combien existe-t-il de positions réduites ? On positionne les pions noirs 1 , 2 , 3 , ... et on regarde comment placer les blancs . Je ne vois pas comment progresser sans répondre à cette question . L'écrasement du nombre de jetons est assez rapide au début mais il me semble que ça ralentit assez vite .
Imod
Sous les conditions que j'ai proposées le nombre de positions réduites pour 1,2,3,4 et 5 couleurs est : 0,0,1,3,15, ... Il faudrait voir plus loin pour trouver une formule
Imod
Bonsoir,
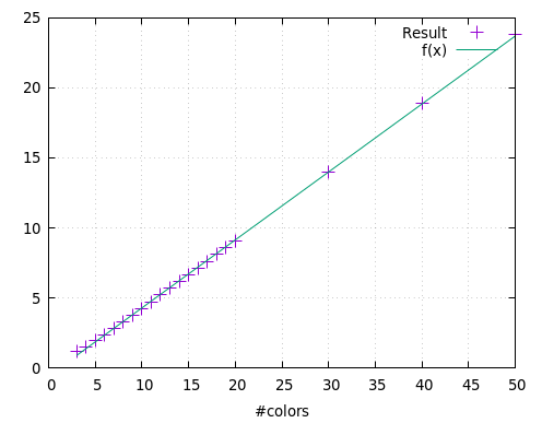
Ça ne répond pas à la question, mais voici le nombre de coups nécessaires en fonction du nombre de couleurs, qui fit bien avec 0.48*n - 0.54 (en supposant que le code que je propose ci-dessus fonctionne).
Cliquez pour afficher
Bonsoir,
avec 3 couleurs on sait qu'il faut exactement 1,2 coup en moyenne pour terminer le jeu.
Avec 4 couleurs il y 3 possibilités
— il reste 4 couleurs : proba 3/24
— il reste 3 couleurs : proba 7/24
— c'est fini : proba 14/24.
On peut donc calculer exactement le nombre moyen de coups pour 4 couleurs.
Mais je trouve un résultat manifestement faux.
Si quelqu'un⋅e veut bien faire le calcul . . .
D'un autre côté j'ai écrit un peu de code pour voir comment se réduisent les dispositions possibles en utilisant la même méthode qu'Imod.
Le code python ( avec quelques bizarreries )
Cliquez pour afficherJe suis d'accord avec ton étude .
En utilisant mes résultats pratiques et mon observation du 14 /04 à 17h42 ,on voit qu'il y certainement une formule à trouver.
Chacun suit son chemin , on se retrouvera à la fin
Une autre façon de compter le nombre de positions réduites avec n couleurs interchangeables . Ce n'est rien d'autre que le nombre de permutations f de [[1,n]] telles que f(k) n'est jamais égal à k ni à k+1 . C'est comme des dérangements avec une condition en plus .
Imod
Un petit coup d'œil à l'OEIS m'indique que ce calcul est connu sous le nom du problème des ménages où on sépare les couples à une table , il y a deux versions : circulaire ou linéaire . Les formules sont connues dans les deux cas , je vous donne le lien
Dans le cadre qui nous intéresse le nombre de combinaisons pour un nombre de couleurs inférieur ou égal à 8 : 0 , 0 , 1 , 3 , 16 ,96 ,675 , 5413 . Après il faut voir comment poser les probabilités sur ces résultats .
Imod
Pour 4 couleurs j'ai les mêmes proba que Verdurin qui donnent un nombre d'étape égal à 7/5 . C'est surprenant car pour 2 , 3 et 4 couleurs on a 5/5 , 6/5 et 7/5 pour le nombre d'étapes , sans doute une coïncidence . J'ai commencé à regarder pour 5 couleurs mais c'est un peu long .
Imod
Pour 4 couleurs je trouve une espérance de 54/35.
Mon calcul en notant E3=6/5 et E4 les espérances pour 3 et 4 couleurs :
24E4=1+7E3+3E4.
En prolongeant le calcul ( avec un programme ) je trouve pour n couleurs :
n=3 espérance
n=4 espérance
n=5 espérance
n=6 espérance
n=7 espérance
n=8 espérance
n=9 espérance
n=10 espérance
Ce qui correspond bien aux résultats des simulations de thetapinch27.
Je me suis limité à n=10 car j'utilise la force brute et que ma fonction de réduction n'est sans pas optimale.
La fonction python
Cliquez pour afficherD'accord , j'ai vu mon erreur pour n=4 .
Je m'agaçais dans mes comptes et recomptes pour n=5 . J'ai fini par trouver : 42 -> 0 ; 35 -> 3 ; 27 -> 4 et 16 -> 5 qui donnent bien l'espérance attendue . Je vais encore regarder les différentes probabilités en fonction du nombre de couleurs pour voir si quelque chose de simple apparait mais j'ai de plus en plus de doutes .
J'ai d'autres idées inspirées du même modèle mais j'attendrai d'y avoir réfléchi un peu plus avant de les proposer .
Il reste tout de même la quasi linéarité des solutions qui pose question . Il faudrait prospecter vers les grandes valeurs de n pour voir si les liens ne se desserrent pas , ça devient vite monstrueux si on navigue sans cap .
Imod
Je n'avais pas la référence mais c'était mon idée initiale , l'apparition d'une nouvelle couleur sans réduction est extrêmement contraignante . Après il faut voir quoi en faire et là c'est une autre paire de manches
Imod
Un calcul jusqu'à 11.
Sur chaque ligne on a le nombre de couleurs restantes, de 0 à n.
n=3 [5, 0, 0, 1]
n=4 [14, 0, 0, 7, 3]
n=5 [42, 0, 0, 35, 27, 16]
n=6 [132, 0, 0, 154, 162, 176, 96]
n=7 [429, 0, 0, 637, 819, 1232, 1248, 675]
n=8 [1430, 0, 0, 2548, 3780, 7040, 9984, 10125, 5413]
n=9 [4862, 0, 0, 9996, 16524, 35904, 63648, 91125, 92021, 48800]
n=10 [16796, 0, 0, 38760, 69768, 170544, 355680, 641250, 920210, 927200, 488592]
n=11 [58786, 0, 0, 149226, 287793, 772464, 1825824, 3898125, 7085617, 10199200, 10260432, 5379333]
Ça commence à faire un temps de calcul de l'ordre de trois minutes.
Et il augmente comme n!.
Merci pour cette réponse détaillée
Il reste des points d'interrogations qui clairement me dépassent , personnellement je laisse reposer ( je fonctionne bêtement comme la pâte à crêpe ) .
Un grand merci à toi ainsi qu'aux autres participants
Je vais proposer un nouveau problème plus simple inspiré de la même idée .
Imod
Vous devez être membre accéder à ce service...
Pas encore inscrit ?
1 compte par personne, multi-compte interdit !
Ou identifiez-vous :