Inscription / Connexion Nouveau Sujet
Niveau seconde
Partager :

Vecteurs

Posté par
Plalie19
23-04-22 à 15:42

J'ai besoin d'aide svp
L'énoncé est le suivant :
Dans un repère (O;I;J), on considère les points A(2;3), B(-3;2)  et C(4;-2) .
On cherche un point M tel que MA+MB+MC=0. Soit (cm;ym) les coordonnées de M.
Exprimer les coordonnées de MA+MB +MC en fonction de xm et ym.

Posté par
hekla
re : Vecteurs 23-04-22 à 15:46

Bonjour

Que proposez-vous ?

\vec{AB}\ \dbinom{x_B-x_A}{y_B-y_A}

Posté par
Plalie19
re : Vecteurs 23-04-22 à 15:55

Et bien j'aimerais savoir comment Est-ce que je pourrais faire pour exprimer les coordonnées

Posté par
hekla
re : Vecteurs 23-04-22 à 16:00

Vous avez les coordonnées de M, les coordonnées de A donc les coordonnées de \vec{MA}.

Vous en faites autant avec les autres points

Vous écrivez la somme et il vous reste à résoudre deux équations.

Posté par
Plalie19
re : Vecteurs 23-04-22 à 16:17

Merci mais je ne comprends pas comment j'ai les coordonnées de M pouvez vous m'expliquer ?

Posté par
hekla
re : Vecteurs 23-04-22 à 16:22

Citation :
Soit (xm;ym) les coordonnées de M.


Cela devait être un x et non un c

Vous les aurez à la fin puisque c'est ce que vous cherchez.

Souvent on pose une inconnue pour ce que l'on ne connaît pas.

Posté par
Plalie19
re : Vecteurs 23-04-22 à 18:07

Je n'arrive pas à savoir comment avoir le résultat après avoir fait se calcul

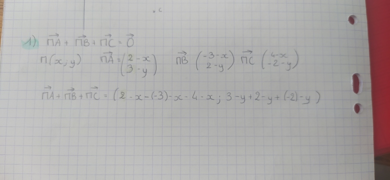
Vecteurs

Posté par
hekla
re : Vecteurs 23-04-22 à 18:12

Il va falloir recopier votre réponse, les photos de solutions ne sont pas admises sur le forum

Vous savez que les coordonnées du vecteur \vec{0}  sont
\dbinom{0}{0}

d'où les deux équations que vous résolvez

Posté par
Plalie19
re : Vecteurs 23-04-22 à 18:18

MA+MB+MC=(2-x-(-3) -x-4-x ; 3-y+2-y+(-2) -y)

Posté par
hekla
re : Vecteurs 23-04-22 à 18:30

Il faudrait simplifier   puis

\begin{cases}2-x{\color{red}{+}}(-3) -x{\color{red}{+}}4-x =0\\ 3-y+2-y+(-2) -y) =0\end{cases}

Pourquoi ce changement de signe ?

Posté par
Plalie19
re : Vecteurs 23-04-22 à 22:23

J'ai vu un exemple ou le signe de départ était - puis +
Merci  beaucoup de votre aide

Posté par
hekla
re : Vecteurs 23-04-22 à 23:17

Qu'avez-vous alors trouvé ?

Vous pouvez aussi vérifier en faisant un dessin.

De rien

Posté par
hekla
re : Vecteurs 23-04-22 à 23:19

Avez-vous réussi l'autre exercice appelé produit vectoriel ?

Posté par
Plalie19
re : Vecteurs 24-04-22 à 09:43

J'ai trouvé

3-x-x-x; 3-3y
3-3x; 3-3y

M=(0;0)

Posté par
Plalie19
re : Vecteurs 24-04-22 à 09:44

Et oui du coup j'ai réussi à trouver merci beaucoup de votre aide

Posté par
hekla
re : Vecteurs 24-04-22 à 09:57

Bonjour

\begin{cases}3-3x=0\\3-3y=0\end{cases}  d'accord

Pensez-vous que 3-3\times 0=0 ?

Revoir votre réponse.

Posté par
Plalie19
re : Vecteurs 24-04-22 à 10:46

Donc c'est M(3;0)?

Posté par
hekla
re : Vecteurs 24-04-22 à 10:51

Non, plus  car 3-3\times 3 \not=0

Comment fait-on pour passer de 3x=3 à x=

de même avec y

Posté par
Plalie19
re : Vecteurs 24-04-22 à 11:00

-3?

Posté par
hekla
re : Vecteurs 24-04-22 à 11:04

Toujours pas.
Il me semble que dans votre autre message la résolution de l'équation n'avait pas posé de problèmes. Alors pourquoi ici ?

Posté par
Plalie19
re : Vecteurs 24-04-22 à 12:03

3(1-x) ; 3(1-y) ?

Posté par
hekla
re : Vecteurs 24-04-22 à 12:14

C'est déjà mieux, mais cela ne donne pas la valeur de x et de y tels que

\begin{cases}3(1-x)=0\\3(1-y)=0\end{cases}

Posté par
Plalie19
re : Vecteurs 24-04-22 à 14:16

3(1-x) =0
-3×x=-3
X=3/3
X=1

Posté par
hekla
re : Vecteurs 24-04-22 à 14:18

Évidemment
de même pour y.
Par conséquent, les coordonnées de M sont

Posté par
Plalie19
re : Vecteurs 24-04-22 à 14:19

3(1-y) =0
-3×x=-3
X=3/3
X=1 ?

Posté par
Plalie19
re : Vecteurs 24-04-22 à 14:19

M(1;1)

Posté par
hekla
re : Vecteurs 24-04-22 à 14:20

Il faudrait faire attention
dans le message de 14 :19 il s'agit de y.

Posté par
Plalie19
re : Vecteurs 24-04-22 à 14:39

Ah oui je me suis trompé merci

Posté par
hekla
re : Vecteurs 24-04-22 à 14:42

De rien



Vous devez être membre accéder à ce service...

Pas encore inscrit ?

1 compte par personne, multi-compte interdit !

Ou identifiez-vous :


Rester sur la page

Inscription gratuite

Fiches en rapport

parmi 1750 fiches de maths

Désolé, votre version d'Internet Explorer est plus que périmée ! Merci de le mettre à jour ou de télécharger Firefox ou Google Chrome pour utiliser le site. Votre ordinateur vous remerciera !