Fiche de mathématiques
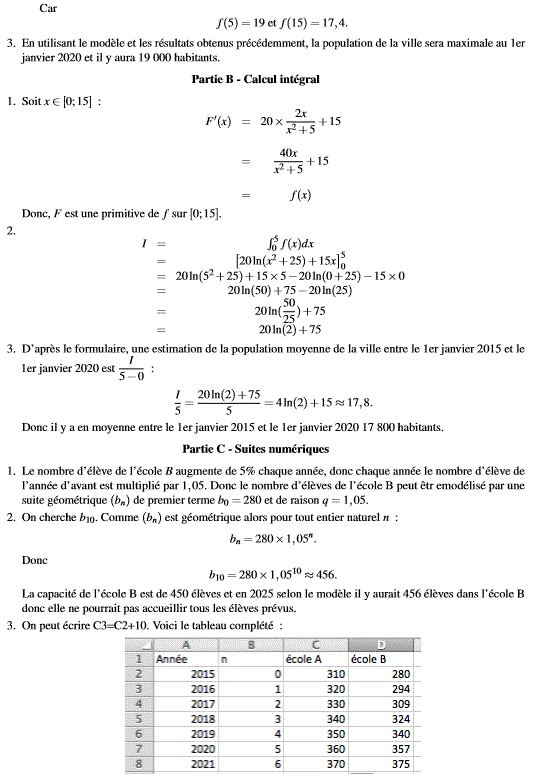
> >

Sujet et correction BTS CGO Pondichery 2016

Partager :

Sujet corrigé BTS CGO Pondichery 2016 : image 1

Sujet corrigé BTS CGO Pondichery 2016 : image 2

Sujet corrigé BTS CGO Pondichery 2016 : image 3

Sujet corrigé BTS CGO Pondichery 2016 : image 4






exercice 1


Partie A - Probabilités conditionnelles
1. P(A)= 0,38, P_A(S)=0,93 \text{ et } P_{\bar{A}}(\bar{S})=0,15
2. Voici l'arbre donné en annexe complété :
Sujet corrigé BTS CGO Pondichery 2016 : image 5


3. P(A\cap S)=P(A)\times P_A(S) = 0,38\times 0,93\approx 0,3534

4. D'après la formule des probabilités totales :
P(S)=P(A\cap S)+P(\bar{A}\cap S)=0,3534+0,62\times 0,85=0,8804


5. Il y a 88,04% des clients satisfaits par l'accueil. Donc 11,96% des clients ne sont pas satisfaits par l'acceuil, l'objectif n'est donc pas atteint.

6. On cherche à calculer P_S(A).
P_S(A) =\frac{P(S\cap A)}{P(S)}=\frac{0,3534}{0,8804}\approx 0,4014

La probabilité qu'il se soit rendu en agence sachant qu'il est satisfait est d'environ 0,4014.

Partie B-Loi normale 1. Le coût à estimer est de 10000\times 1200 = 12000000 euros.

2. [800;1600] = [1200-2\times 200;1200+2\times 200] on reconnaît (espérance +- 2 écart-type) donc il y a bien 95% des valeurs dans cet intervalle.

3. D'après la calculatrice P(X > 1000) = 0,84 \text{ à } 10^{-2} près.

4. D'après la calculatrice P(1000 < X < 1500) = 0,7745 \text{ à } 10^{-2} près; c'est à dire environ 77,45%.

Partie C - Loi binomiale
1. Notons S : «le dossier choisi a un coût supérieur à 1000 euros». On répète dix fois de manière identique et indépendante une épreuve de Bernoulli de succès S et de paramètre 0,84 donc Y qui compte le nombre de succès S suit une loi binomiale B(10;0,84).

2. Si tous les dossiers ont un coût supérieur à 1000 euros on cherche Y = 10. Or,
Sujet corrigé BTS CGO Pondichery 2016 : image 6

Sujet corrigé BTS CGO Pondichery 2016 : image 7

Sujet corrigé BTS CGO Pondichery 2016 : image 8


4. La valeur N affichée à la sortie de cet algorithme est 6. C'est le nombre d'années qu'il faut pour que le nombre d'élèves dans l'école B devienne supérieur au nombre d'élèves dans l'école A.
Publié le
ceci n'est qu'un extrait
Pour visualiser la totalité des cours vous devez vous inscrire / connecter (GRATUIT)
Inscription Gratuite se connecter


Vous devez être membre accéder à ce service...

Pas encore inscrit ?

1 compte par personne, multi-compte interdit !

Ou identifiez-vous :


Rester sur la page

Inscription gratuite

Fiches en rapport

parmi 1768 fiches de maths

Désolé, votre version d'Internet Explorer est plus que périmée ! Merci de le mettre à jour ou de télécharger Firefox ou Google Chrome pour utiliser le site. Votre ordinateur vous remerciera !