Inscription / Connexion Nouveau Sujet
Niveau Licence-pas de math
Partager :

coefficient de corrélation des rangs de spearman

Posté par
Moyu
01-02-19 à 17:12

Bonjour à tous!

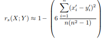
Dans le cadre de mes cours de statistiques je suis amené à calculer le coefficient de corrélation des rangs de spearman. Je l'habitude de vérifier mes résultats à la calculatrice. Cependant,  en utilisant la fonction "reglin" je ne trouve jamais le même coefficient que celui que j'obtiens à la main (j'utilise la formule suivante ci-dessous)


Merci à tous!

coefficient de corrélation des rangs de spearman



Vous devez être membre accéder à ce service...

Pas encore inscrit ?

1 compte par personne, multi-compte interdit !

Ou identifiez-vous :


Rester sur la page

Désolé, votre version d'Internet Explorer est plus que périmée ! Merci de le mettre à jour ou de télécharger Firefox ou Google Chrome pour utiliser le site. Votre ordinateur vous remerciera !