Bonjour
ne vous battez pas !
quand on écrit dx/dt
x et t sont en italiques, ok
mais les "d" ?
dans une intégrale, le d est écrit en romain, et ici ? perso je ferais de même ...oui ? non ?
Bonjour,
Voila ce qu'en dit l'IA (ce qui n'est pas forcément ce qui se fait) :
Pour écrire dx/dt, les lettres d devraient être en caractères romains (non-italiques) et les variables x et t en caractères italiques (ou cursifs). Cela est recommandé par les guides de style scientifique et permet de distinguer le symbole différentiel d des variables de la fonction.
Pour une dérivée comme dx/dt, vous devez utiliser des lettres , comme d, x, et t, sans espace entre elles.
salut
deux brins de provocation (non gratuits) :
1/

oui bien sûr malou : j'y avais bien pensé aussi qu'il y avait bien une raison pour laquelle tu demandais cela
et je comprends que tu veux suivre la norme en ce domaine ...
mais si on réfléchit un peu plus profondément cette norme n'est-elle pas un formatage ?
PS : je suis pour des normes (permet la liberté et le respect) mais pas pour un formatage (permet le contrôle et l'abrutissement) ... pour résumer succinctement ...
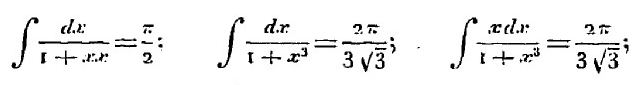
Une image d'un texte d'Euler publié en 1881
Tirée de
« Considérations sur quelques formules intégrales dont les valeurs peuvent être exprimées en certains cas par la quadrature du cercle »
sur Gallica
Ceci étant je suis partisan d'utiliser des notations les plus régulières possibles. Dans ce cadre et pour un texte imprimé, je préfère un d droit plutôt qu'italique.
Le site a rencontré un problème temporaire.
Merci de retenter l'opération plus tard
Vous devez être membre accéder à ce service...
Pas encore inscrit ?
1 compte par personne, multi-compte interdit !
Ou identifiez-vous :