Bonjour à tous,
Faisons un petit tour de grand huit.
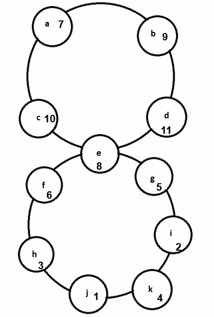
Il s'agit de placer les nombres de 1 à 11 dans les emplacements prévus sur la figure ci-dessous.
Mais il y a une condition à remplir : la différence (en valeur absolue) entre deux nombres reliés par un trait doit être égale à 2 ou 3.
Question : Comment placer les nombres de 1 à 11 sur la figure en respectant la condition ?
S'il existe plusieurs solutions, une seule suffira.
Bonjour et merci pour l'énigme..
Je trouve plusieurs solutions dont l'une est :
a=3 b=5 c=1 d=2 e=4 f=6 g=7 h=9 i=10 j=11 k=8
Bonjour godefroy,
Une solution est donnée par
a=9, b=7, c=11, d=10, e=8, f=5, g=6, h=2, i=3, j=4, k=1
Merci pour cette énigme facile.
Bonjour à tous.
Ma réponse :
a=3, b=5, c=1, d=2, e=4, f=6, g=7, h=9, i=10, j=11, k=8.
Merci pour l'énigme
Bonjour,
je propose a=3, b=5, c=1, d=2, e=4, f=7, g=6, h=10, i=9, j=8 et k=11... Seulement deux solutions apparemment...
J'ai testé naïvement les 11! permutations possibles (je ne détaille pas certaines fonctions bien connues en combinatoire comme arrangements, combinaisons et permutations).
Merci pour l'énigme !

On peut placer les nombres de 1 à 11 sur la figure en respectant la condition de la façon suivante :
(a,b,c,d,e,f,g,h,i,j,k) = (3, 5, 1, 2, 4, 6, 7, 9, 10, 11, 8)
Il existe 8 solutions différentes. 2 solutions de base multipliées par 4 en prenant la configuration miroir de la boucle du haut et/ou du bas.
L'autre solution de base est :
(a,b,c,d,e,f,g,h,i,j,k) = (7, 9, 10, 11, 8, 5, 6, 2, 3, 4, 1)
Bonjour
Voici ma proposition de solution
Un grand merci à godefroy pour ces énigmes sympa et encouragements !
Bonjour Godefroy.
a = 3; b = 2; c = 1; d = 5; e = 4; f = 7; g = 6; h = 10; i = 9; j = 8; k = 11.
À partir du nombre commun et dans le sens des aiguilles :
petit cercle du haut : 4 1 3 2 5
grand cercle du bas : 4 6 9 11 8 10 7.
Bonjour,
C |A |B |D |E |F |H |J |K |I |G |
--|--|--|--|--|--|--|--|--|--|--|
1| 3| 5| 2| 4| 6| 9|11| 8|10| 7|
1| 3| 5| 2| 4| 7|10| 8|11| 9| 6|
2| 5| 3| 1| 4| 6| 9|11| 8|10| 7|
2| 5| 3| 1| 4| 7|10| 8|11| 9| 6|
10| 7| 9|11| 8| 6| 3| 1| 4| 2| 5|
10| 7| 9|11| 8| 5| 2| 4| 1| 3| 6|
11| 9| 7|10| 8| 6| 3| 1| 4| 2| 5|
11| 9| 7|10| 8| 5| 2| 4| 1| 3| 6|
--|--|--|--|--|--|--|--|--|--|--|
Merci pour la joute.
Bonjour !
Sympas comme énigme !
Voilà ma réponse, sauf erreur de ma part, il me semble que cela marche !!

Bonjour,
Il n'y a que deux solutions possibles qui sont :
La première : a = 7 ; b = 9 ; c = 10 ; d = 11 ; e = 8 ; f = 5 ; g = 6 ; h = 2 ; i = 3 ; j = 4 ; k = 1.
La seconde : a = 9 ; b = 7 ; c = 11 ; d = 10 ; e = 8 ; f = 5 ; g = 6 ; h = 2 ; i = 3 ; j = 4 ; k = 1
Merci pour cette énigme =)
Salut, très cher tous!
Je propose
a=3
b=5
c=1
d=2
e=4
f=6
g=7
h=9
i=10
j=11
k=8
Bon, comme c'est mon grand retour, je serais sympa:
Bonjour,
première participation, il fallait bien que ça commence un jour
5------3
| |
2 1
\ /
4
/ \
6 7
| |
9 10
| |
11-----8
Bonsoir
je propose :
a=3
b=5
c=1
d=2
e=4
f=6
g=7
h=9
i=10
j=11
k=8
Merci pour cette petite joute bien sympathique
Clôture de l'énigme :
Aux symétries près sur chaque boucle, il y avait effectivement 2 solutions avec des nombres complémentaires à 12.
Bonjour et bon dimanche.
Je suis heureux de fêter mon premier trimestre avec
le maximum de points:22 points.
Au classement par points (régularité) c'est masab le 1 er
et je suis son dauphin
Je fais cette remarque car je viens de loin en
Vous devez être membre accéder à ce service...
Pas encore inscrit ?
1 compte par personne, multi-compte interdit !
Ou identifiez-vous :