Voila je suis en train de réviser mon cours car j'ai examen cette après midi!
j'aurai aimé si possible poster mes exercices ainsi que les réponses... de manière a ce que l'on puisse me corriger si j'suis dans l'erreur, merci!
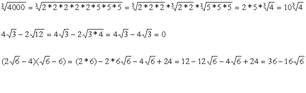
le dernier j'ai pas reussi a mettre une racine sur tout!
voila !
Merci!
euh non il n'y aucune division exepté le dernier ! ce n'est pas diese mais * c donc pour la plupart une multiplication!

Voilà, il y a juste 3 petites erreurs:
Si il y a quelque chose que tu ne comprends pas, n'hésite pas!

je vous remercie pour votre aide!
merci lolo! je vais commencer la troisième et dernière partie de mes révisons. équations du premier et deuxième degré!
a mon avis surement à tout à l'heure

Vous devez être membre accéder à ce service...
Pas encore inscrit ?
1 compte par personne, multi-compte interdit !
Ou identifiez-vous :