Bonjour,
J'ai un petit problème pour résoudre cette intégrale. Si quelqu'un pouvait m'aider, cela serait aimable de sa part.
Mais avant cela j'ai quelque petite question:
Est qui faut la résoudre en faisant une IPP?
(Personnellemnt, je ne pense pas, mais dites le moi, si cela est nécessaire).
Ah, oui, au fait, j'allais oublier, le résultat m'importe peu, puisque je le connais déja.I = 1
Ce que je voudrais, serait une explication bien détaillé de ce que vous faites.
Merci d'avance.
Ayoub.
ayoub,
Tu as déjà posé cette question et J-P et moi y ont déjà répondu
un changement de variable u=(x-5)/50 te ramène à l'intégrale de l'autre jour.
Attention tu as oublié dx
Ca introduit la fonction erf que tu ne connais pas.
Philoux
Oui, c bien ca mon prob, ta fonction erf.
Elle me pose un sacré prob.
En fait, tu ne saurais philoux, si on peut tracé cette fonction sur une calculette pas trtès sofistiqué telle qu'une TI 82.
DE plus, j'ai essayé, mais je bloque dessus.
C là que je voudrais que tu m'aides.
La valeur n'est pas exactement 1.
Tu peux l'exprimer sans trop de problème si tu appelles F la primitive s'annulant en 0 de
f:=x->exp(-x²)
Si tu ne veux qu'un résultat approché, tu peux développer ta fonction en série, tu auras très vite un résultat très proche de la valeur souhaitée...
A+
Merci les gars, c sympa.
Mais j'ai abandonnée, j'en ai raz la casuqtte.
C trop dur, j'abandonne, pour celle là, je passe à une autre.
Oui mais tu n'aurais jamais trouvé la valeur exacte autrement qu'en posant F telle que F'(x)=exp(-x²) et F(0)=0 de toute manière.
Ce qui limite très fortement l'intéret
Cependant ca se fait bien par ipp et par le changement de variable (x-50)/(5
(2))=t
A+
>> otto ou quelqu'un d'autre, j'ai une demande :
serait-il possible de nous faire la démo pour trouver le résultat en utilisant l'IPP et le changement de variable.
J'en demande peut-être trop, mais comme je ne l'ai jamais fait, j'aimerais bien voir la méthode. Je remet l'intégrale :
merci d'avance ...
Ne fait pas le changement de variable que je préconise, je divise par racine de 2 alors qu'il faut multiplier:
racine de 2 *(x-50)/5=t
ainsi
x=5t*racine(2)/2+50
exp(-1/2((x-50)/5)²)=exp(-t²)
dx=5racine(2)dt/2
pour x=0 t=-10racine(2)
pour x=100 t=10racine(2)
ainsi ton intégrale devient
1/(5racine(2pi))
5racine(2)/2exp(-t²) sur [-10racine(2),10racine(2)]
=
1/(racine(pi))
exp(-t²)/2 sur [-10racine(2),10racine(2)]
Par parité on trouve que ca vaut
1/(racine(pi))
exp(-t²) sur [0,10racine(2)]
=
F(10racine(2))/racine(Pi)
Finalement pas besoin d'IPP.
Cependant, avec une vérif Maple, il y'a un facteur 2 qui manque et je ne sais pourquoi. On doit trouver le double de ce que je trouve, mais l'idée est là.
A+
coucou tout le monde! Je voulais savoir que signifie la fonction erf? est ce que qq'un peu me répondre? Merci! Suicune
merci beaucoup otto
Par contre je comprend pas trop le passage de l'avant dernière à la dernière ligne
je retappe en latex pour que l'on voit mieux :
=
sinon, je suis d'accord, on trouve ici un résultat 2 fois plus faible que le résultat attendu ( 0,499996 contre 0,999992 ). D'où peut venir l'erreur ?
merci de répondre à toutes ces questions ...
ok merci beaucoup otto , la je comprend mieux
par contre, tu ne sais pas d'où peut provenir le résultat deux fois plus faible ?
encore merci ! 
Salut Lyonnais
En fait, otto s'interrogeait sur le facteur 2 :
à 21:43 il a écrit :
Intégrale = 1/(racine(pi)
exp(-t²)dt sur [0,10racine(2)]
or ERF(z)= [ 2/racine(pi) ]
exp(-t²)dt sur [0,z] (il manquait le 2 dans la définition de ERF
donc
Intégrale = (1/2)ERF(10racine(2)) = 1.000000000003
Philoux
Salut philoux, je ne définis pas erf, je définissais une autre fonction (à un facteur 2pi près), donc l'erreur ne provient probablement pas de là.
Enfin ce n'est pas très important.
A+
salut philoux et merci pour ta réponse
cependant, je ne crois pas qu'otto ai ici définie la fonction erf.
L'erreur doit donc être ailleurs ...
Enfin, merci quand même de m'aider à comprendre !
PS : j'adore sine qua non ...
@+
Salut à tous, je pense que l'erreur vient du fait qu'il fallait bien diviser par racine de 2 pour le changement de variable :
Et après on continue comme a fait otto mais avec t deux fois plus grand.
Re-
Si j'ai bien compris, l'utilisation de la fonction dite F est indiquée pour ne pas utiliser la fonction ERF ?
Le 26/06/2005 à 14:35, otto indiquait :
...Tu peux l'exprimer sans trop de problème si tu appelles F la primitive s'annulant en 0 de
f:=x->exp(-x²)
...
Or cette définition est celle de ERF à une constante multiplicative près, selon :
ERF(x)= [ 2/racine(pi) ]
exp(-t²)dt sur [0,x]
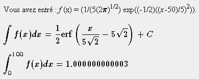
D'où la résolution confirmant le changement de variable indiqué par Fractal : image jointe.
Philoux; (qui a l'impression qu'on dit tous à peu près la même chose sur l'origine de cette erreur de 2)

La constante 2/racine(pi) tombe un peu du ciel cependant, c'est pour celà que je n'ai pas voulu l'introduire.
De même, pour ce que l'on fait, elle ne sert à rien.
Le fait que erf et ma fonction F soient définis à cette constante près, est que erf devient une fonction de densité qui est de masse totale 1. C'est à dire que sont intégrale sur R+ tout entier est 1.
Notamment, cette fonction est très très utilisée en probas et en stats. Notamment, si mes souvenirs sont bons, c'est une loi continue qui permet de très bien modéliser les lois binômiales pour des grands nombres (mais je peux dire des bétises).
A+
Vous devez être membre accéder à ce service...
Pas encore inscrit ?
1 compte par personne, multi-compte interdit !
Ou identifiez-vous :