Inscription / Connexion Nouveau Sujet
Niveau terminale
Partager :

Simplification

Posté par
StudyAyano
27-12-21 à 13:11

Bonjour, comment faire pour simplifier cette expression s'il vous plait :

Simplification

Posté par
hekla
re : Simplification 27-12-21 à 13:23

Bonjour

utilisez les notations exponentielles  \sqrt[n]{a}=(a)^{1/n}

Posté par
phyelec78
re : Simplification 27-12-21 à 13:26

Bonjour,

voici les quelques règles  pour conduire le calcul :

\sqrt{xy}=\sqrt{x}\sqrt{y}

\dfrac{\sqrt{xy}}{\sqrt{yz}}=\dfrac{\sqrt{x}\sqrt{y}}{\sqrt{y}\sqrt{z}}=\dfrac{\sqrt{x}}{\sqrt{z}}  

Posté par
StudyAyano
re : Simplification 27-12-21 à 13:26

J'ai pensé à faire ça, mais malheureusement lors de la correction je suis censé trouver ça
Et je ne vois pas comment faire "disparaitre la puissance 7 de l'équation finale

Simplification

Posté par
hekla
re : Simplification 27-12-21 à 13:39

5^{1/3}\times (60a^2)^{-1/3}\times a\times 30^{1/2}\times (5a)^{-1/2}

propriétés des exposants

Posté par
StudyAyano
re : Simplification 27-12-21 à 14:01

hekla On est obligé de passé par ça ? La correction montre un autre chemin

Posté par
hekla
re : Simplification 27-12-21 à 14:07

Non puisque la correction vous donne un autre chemin

La réponse est-elle celle de 13 : 26 ?

Posté par
StudyAyano
re : Simplification 27-12-21 à 14:09

hekla Oui la réponse est celle donnée à 13h26, je sais comment faire avec votre technique, mais j'ai du mal à faire la technique donné en correction

Posté par
hekla
re : Simplification 27-12-21 à 14:31

Je ne peux vous répondre je ne sais pas quelle est la technique employée pour la correction

Posté par
StudyAyano
re : Simplification 27-12-21 à 14:44

hekla La correction entière ressemble à ça

Simplification

Posté par
hekla
re : Simplification 27-12-21 à 15:16

Regroupement selon les racines

en racine de 3 on a  \sqrt[3]{5} et \sqrt[3]{60a^2}

On peut mettre sous la même racine \sqrt[3]{\dfrac{5}{60a^2}}=\sqrt[3]{\dfrac{1}{12a^2}}

en racine de 2 a\sqrt{30} et \sqrt{5a}

\sqrt{\dfrac{30a^2}{5a}}=\sqrt{6a}

on a donc \sqrt[3]{\dfrac{1}{12a^2}}\times \sqrt{6a}


Je ne comprends pas comment on passe de \dfrac{a\sqrt{30}}{\sqrt{5a}} $à $ \sqrt{\dfrac{6}{a}}
 \\

Posté par
StudyAyano
re : Simplification 27-12-21 à 15:47

hekla Comment tu passe de a*racine de 30 à racine de 30a² ?

Posté par
StudyAyano
re : Simplification 27-12-21 à 15:54

heklahekla En isolant le a de √ 30 on peut avoir a*√ 30/5a = a*√ 6/a non ?
C'est plutôt le suite qui est un peut bizarre et la puissance de 7
D'ailleurs dans ton raisonnement je trouve ça (voir image)

Simplification

Posté par
hekla
re : Simplification 27-12-21 à 15:55

Je fais rentrer le a sous la racine   a=\sqrt{a^2}

La réciproque est fausse  \sqrt{a^2}=\pm a


On peut aussi calculer ainsi \sqrt{5a}=\sqrt{a}\times \sqrt{5}

\dfrac{a\sqrt{30}}{\sqrt{5a}}=\dfrac{a\sqrt{30}}{\sqrt{a}\times \sqrt{5}}=\sqrt{a}\times \dfrac{\sqrt{30}}{\sqrt{5}}=\sqrt{a}\times \sqrt{6}

Posté par
StudyAyano
re : Simplification 27-12-21 à 16:04

Ok, je vois mais après comment on trouve le résultat ? hekla

Posté par
hekla
re : Simplification 27-12-21 à 16:17

Le plus simple est bien d'utiliser les exposants


Posté par
StudyAyano
re : Simplification 27-12-21 à 16:20

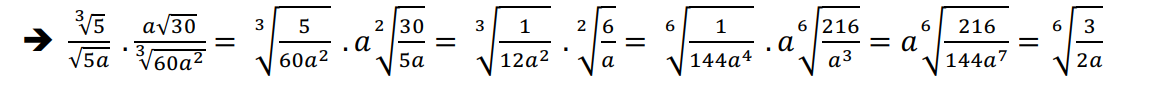
hekla J'ai trouvé ça :
J'avais oublié la règle (ab)^p = a^p * b^p
Donc ici par exemple (6a)^3 par exemple c'est égale à 216a^3
C'est ça non ?

Simplification

Posté par
StudyAyano
re : Simplification 27-12-21 à 16:21

heklaCependant je dois vous avouer que je ne comprend toujours pas la dernière partie de la correction qu'on m'a donné

Posté par
hekla
re : Simplification 27-12-21 à 16:29

En gros, c'est ce que vous venez d'écrire
 \dfrac{1}{6}=\dfrac{1}{2}\times \dfrac{1}{3}

\sqrt[6]{A}=\sqrt[3]{\sqrt{A}}= \left(A^{1/2}\right)^{1/3}= \left(A^{1/3}\right)^{1/2}

Posté par
hekla
re : Simplification 27-12-21 à 16:49

5^{1/3}\times (60a^2)^{-1/3}\times a\times 30^{1/2}\times (5a)^{-1/2}

=5^{1/3}\times (2^2\times 3\times 5\times a^2)^{-1/3}\times a\times (3\times 2\times 5)^{1/2}\times (5a)^{-1/2}

=5^{1/3}\times 2^{-2/3}\times 3^{-1/3}\times 5^{-1/3}\times a^{-2/3}\times a\times 3^{1/2}\times 2^{1/2}\times 5^{1/2}\times 5^{-1/2}a^{-1/2}

on a alors  5^{1/3-1/3+1/2-1/2}=1

a^{-2/3+1-1/2}=a^{-1/6}

2^{-2/3+1/2}=2^{-1/6}

3^{-1/3+1/2}=3^{1/6}

soit  2a^{-1/6}\times 3^{1/6}=\left(\dfrac{3}{2a}\right)^{1/6}

Posté par
carpediem
re : Simplification 27-12-21 à 20:40

salut

\sqrt {5a} = \sqrt 5 \sqrt a
 \\ 
 \\ a \sqrt {30} = a \sqrt 5 \sqrt 6
 \\ 
 \\ \sqrt[3] {60a^2} = \sqrt[3] 5 \sqrt [3] {12a^2}

donc \dfrac {\sqrt[3] 5} {\sqrt {5a}} \times \dfrac {a \sqrt {30}} {\sqrt[3] {60a^2}} = \dfrac {\sqrt {6a}} {\sqrt[3]{12a^2}} = \dfrac {\sqrt[3] {(\sqrt {6a})^3}} {\sqrt[3]{12a^2}} = \sqrt[3] {\dfrac {6a \sqrt {6a}} {12a^2}} = \sqrt[3] {\dfrac {\sqrt 6} {2 \sqrt a}} = \sqrt[3] {\sqrt {\dfrac 6 {2^2a}}} = \sqrt[6] {\dfrac 3 {2a}}



Vous devez être membre accéder à ce service...

Pas encore inscrit ?

1 compte par personne, multi-compte interdit !

Ou identifiez-vous :


Rester sur la page

Inscription gratuite

Fiches en rapport

parmi 1768 fiches de maths

Désolé, votre version d'Internet Explorer est plus que périmée ! Merci de le mettre à jour ou de télécharger Firefox ou Google Chrome pour utiliser le site. Votre ordinateur vous remerciera !