Bonjour à tous et à toutes ,
Voila j'ai un soucis je n'arrives pas à simplifier cette expression de façon à obtenir la réponse qui m'est donnée .
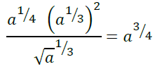
Voici mon développement ( voir la photographie )
Je bloque à cause de cette racine carré et si ça ce trouve c'est mon calcule qui est faux merci de vos réponses bonne soirée
Cordialement

bonjour,
ce que tu as écrit est correct.
au dénominateur, selon le conseil de kenavo27 à 19:45,
tu as
a 1/3 = a 1/2 * 1/3 + a1/6
enfin tu sais que 1 / an = a-n
tu sais finir ?
Merci beaucoups kenavo voila ce comment simplifier une racine carré ça va beaucoup m'aider pour corriger mes autres exercices merci .
Merci à vous aussi leile oui je saurai finir merci beaucoups à vous pour votre rapidité .
Je vous prie d'excuser la lenteur de ma réponse mais je mangeais .
Je refais avec vos indications et je vous tiens au courant
Cordialement
Voila donc j'ai résolu grâce à votre aide mon problème mais le soucis c'est que je ne tombe toujours pas sur la bonne réponse malheureusement

ce que tu as écrit dans ton premier calcul est correct ==> le numérateur s'écrit bien
a 11/12.
au dénominateur, selon le conseil de kenavo27 à 19:45,
tu as
a 1/3 = a 1/2 * 1/3 = a1/6
enfin tu sais que 1 / an = a-n
donc on a bien au final
a ^ (11/12 - 1/6)
soit a ^(11/12 - 2/12) = a ^(9/12) = a^(3/4)
OK ?
Oui en plus je fais la faute que j'avais signalé désolé et je vous remercie beaucoup c'est très aimable de votre part . Je vous souhaite une très bonne soirée merci beaucoup à vous .
Cordialement
DorianP, tu dois taper tes démonstrations et non pas en faire des images...règlement du site
tu as toutes les aides pour écrire des maths avec cette barre sous ton message
fais des essais et clique sur "aperçu"
tu te familiariseras rapidement
tu a aussi une aide LTX ici
[lien] en haut de ta page avec le signe
merci d'en tenir compte dorénavant.
Aucun soucis je le ferai la prochaine fois , mais je trouvais cela plus simple en image , j'en tiendrai compte sans faute la prochaine .
Bonjour à tous les deux.
Je suis impardonnable....
En effet, (ap)q=apq
D'autant plus impardonnable que j'ai corrigé peu de temps avant un exo du même type
.
À bientôt.
Vous devez être membre accéder à ce service...
Pas encore inscrit ?
1 compte par personne, multi-compte interdit !
Ou identifiez-vous :