Bonjour,
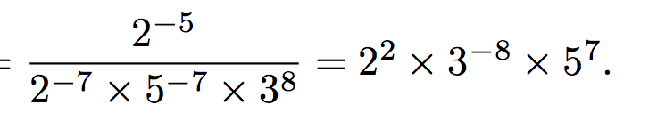
Je ne comprends pas pourquoi les signes des exposants (image ci-jointe) ont été modifiés. Je saisis le pourquoi du 22 mais pas le reste... De quelle règle s'agit-il svp ? Merci !
(je vais entrer en CPGE mais c'est du niveau collège d'où la classification ici)


si tu fais la soustraction à chaque fois, tu tombes sur le bon résultat
la méthode de Zormuche et la mienne sont les mêmes, présentées différemment
Bonsoir Octarine,
pourrais-tu, s'il te plait, indiquer ton niveau dans ton profil
en indiquant niveau "Autre" cela ne permet pas à ceux qui t'aident de te proposer les solutions les plus adaptées à tes connaissances
Vous devez être membre accéder à ce service...
Pas encore inscrit ?
1 compte par personne, multi-compte interdit !
Ou identifiez-vous :