Inscription / Connexion Nouveau Sujet
Niveau terminale
Partager :

Transformation de fraction avec racine carrée

Posté par
Astran13
12-01-16 à 15:23

Bonjour,
Je reviens à nouveau vers vous, avec la formule ci-dessous. Je dois passer de la formule de gauche à la formule de droite mais là encore, je ne vois pas comment.

Pouvez-vous m'aider svp ?

Transformation de fraction avec racine carrée

Posté par
gwendolin
re : Transformation de fraction avec racine carrée 12-01-16 à 15:46

bonjour,

=x*((1-x)/(1+x))*1/(x-1)
=x/(x-1) *((1+x)/(1+x))
=-x/(x+1)*((1+x)/(1+x))

Posté par
hekla
re : Transformation de fraction avec racine carrée 12-01-16 à 15:47

qu'avez-vous essayé ?
multipliez numérateur et dénominateur par \sqrt{\dfrac{1-x}{1+x}}

Posté par
hekla
re : Transformation de fraction avec racine carrée 12-01-16 à 15:57

\dfrac{x\left( \sqrt{\dfrac{1-x}{1+x}}\right)^2}{(x-1) \sqrt{\dfrac{1-x}{1+x}}}=\dfrac{x(1-x)}{(1+x)(x-1) \sqrt{\dfrac{1-x}{1+x}}}=\dfrac{-x}{1+x}\times \dfrac{1}{ \sqrt{\dfrac{1-x}{1+x}}}

or \dfrac{1}{ \sqrt{\dfrac{1-x}{1+x}}}= \sqrt{\dfrac{1+x}{1-x}}

Posté par
Astran13
re : Transformation de fraction avec racine carrée 12-01-16 à 16:01

Je me suis encore embrouillée avec les numérateurs et les dénominateurs !

Merci

Posté par
fm_31
re : Transformation de fraction avec racine carrée 12-01-16 à 16:03

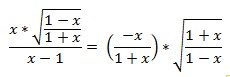
Bonjour ,

un début de piste

Cordialement

Transformation de fraction avec racine carrée

Posté par
fm_31
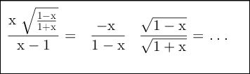
re : Transformation de fraction avec racine carrée 12-01-16 à 16:16

suite et presque fin

Transformation de fraction avec racine carrée

Posté par
fm_31
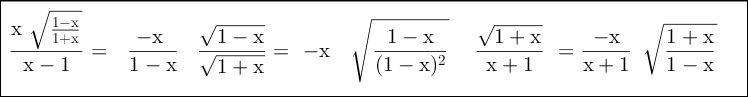
re : Transformation de fraction avec racine carrée 12-01-16 à 16:22

et fin

Transformation de fraction avec racine carrée



Vous devez être membre accéder à ce service...

Pas encore inscrit ?

1 compte par personne, multi-compte interdit !

Ou identifiez-vous :


Rester sur la page

Inscription gratuite

Fiches en rapport

parmi 1760 fiches de maths

Désolé, votre version d'Internet Explorer est plus que périmée ! Merci de le mettre à jour ou de télécharger Firefox ou Google Chrome pour utiliser le site. Votre ordinateur vous remerciera !