Fiche de mathématiques
> >

Bac Economique et Social
Amérique du Nord - Session Mai 2007

Partager :
Pour les candidats n'ayant pas suivi l'enseignement de spécialité :
Durée de l'épreuve : 3 heures - Coefficient 5
Pour les candidats ayant suivi l'enseignement de spécialité :
Durée de l'épreuve : 3 heures - Coefficient 7

L'utilisation d'une calculatrice est autorisée.
Le candidat doit traiter les quatre exercices.
La qualité de la rédaction, la clarté et la précision des raisonnements entreront pour une part importante dans l'appréciation des copies.
4 points

exercice 1 - Commun à tous les candidats

Pour chaque question, une seule réponse est exacte. L'exercice consiste à cocher la réponse exacte sans justification.
Une bonne réponse apporte 1 point, une mauvaise enlève 0,5 point.
L'absence de réponse n'apporte ni n'enlève aucun point.
Si le total des points de l'exercice est négatif, il est ramené à 0.


Rappel : La notation pA(B) désigne la probabilité de l'évènement B sachant que l'évènement A est réalisé.

Questions  
1. A et B sont deux évènements indépendants tels que p(A) = 0,7 et p(B) = 0,2. p(A \cap B) = 0,14
p(A \cup B) = 0,9
pA(B) = 0,5
2. Une pièce de monnaie est telle que la probabilité d'obtenir le côté face est égale à \dfrac13. On lance 4 fois de suite cette pièce.
Quelle est la probabilité d'obtenir au moins une fois le côté face ?
\dfrac{18}{81}
\dfrac{72}{81}
\dfrac{65}{81}
3. On considère l'arbre pondéré ci-dessous.
Quelle est la probabilité de PH(F) ?
sujet du bac économique et social Amérique du Nord 2007 - terminale : image 1
PH(F) = 0,7
PH(F) = 0,56
PH(F) = 0,875
4. Une urne contient 5 boules blanches et 5 boules noires. On tire, avec remise, une boule au hasard, n fois de suite (avec n > 1).
Quelle est la probabilité d'obtenir des boules qui ne soient pas toutes de la même couleur ?
1 - \dfrac{1}{2^n}
1 - \dfrac{1}{2^{n-1}}
1 - \dfrac{1}{2^{2n}}



5 points

exercice 2 - Candidats n'ayant pas suivi l'enseignement de spécialité

La courbe (C) ci-dessous représente une fonction F définie et dérivable sur l'intervalle J = ]\dfrac{1}{2} \: ; \: +\infty [.
On sait que (C) coupe l'axe des abscisses au point (3 ; 0) et a une tangente horizontale au point (1 ; -2).
On note f la fonction dérivée de F.

sujet du bac économique et social Amérique du Nord 2007 - terminale : image 2


1. a) A l'aide du graphique, donner les variations de F et en déduire le signe de f.
    b) Donner f(1), F(1) et F(3). Préciser le signe de f(3).
    c) Calculer \displaystyle \int_1^3 \: f(x) \text{d}x.

2. Trois fonctions f_1, \: f_2 \text{ et } f_3 sont définies sur l'intervalle J par :
f_1(x) = (x^2 - x + 1)e^{2x-1} \hspace{20pt} f_2(x) = \ln(2x-1) \hspace{20pt} \text{ et } \hspace{20pt} f_3(x) = -1 + \dfrac{1}{2x-1}.
Une de ces trois fonctions est la fonction f.
    a) Etudier le signe de f_1 sur l'intervalle J.
    b) Résoudre l'équation f_2(x) = 0 sur l'intervalle J.
    c) Calculer f_3(1).
    d) Calculer \displaystyle \int_1^3 \: f_3(x) \text{d}x.
    e) En déduire la fonction f.


5 points

exercice 2 - Candidats ayant suivi l'enseignement de spécialité

Première Partie : Etude d'un graphe
sujet du bac économique et social Amérique du Nord 2007 - terminale : image 4


On considère le graphe ci-dessus.

1. a) Ce graphe est-il connexe ?
    b) Déterminer le degré de chacun des sommets.
On pourra donner le résultat sous forme de tableau.
    c) Justifier l'existence d'une chaîne eulérienne.

2. a) Déterminer un encadrement du nombre chromatique de ce graphe.
    b) Montrer que ce nombre chromatique est égal à 3.

Deuxième Partie : Visite d'un musée
sujet du bac économique et social Amérique du Nord 2007 - terminale : image 5


Voici le plan d'un musée : les parties grisées matérialisent les portes et les visiteurs partent de l'accueil, visitent le musée et doivent terminer leur visite à la boutique.

1. Représenter la situation à l'aide d'un graphe en précisant ce que représentent arêtes et sommets.

2. a) Pourquoi est-il possible de trouver un circuit où les visiteurs passent une fois et une seule par toutes les portes ?
    b) Donner un exemple d'un tel circuit.

3. Comment colorier les salles y compris l'accueil et la boutique, en utilisant un minimum de couleurs, pour que 2 salles qui communiquent par une porte aient des couleurs différentes ?


5 points

exercice 3 - Commun à tous les cadidats

Dans tout l'exercice, le détail des calculs statistiques n'est pas demandé.
Les résultats seront arrondis à 10-3.
On rappelle que l'image d'un réel x par la fonction exponentielle peut être notée
\exp(x) = e^x

On veut étudier l'évolution des records de l'épreuve d'athlétisme du 100 mètres masculin. Pour cela, on cherche un ajustement des records pour en prévoir l'évolution.
On donne dans le tableau suivant certains records, établis depuis 1900.

Année 1900 1912 1921 1930 1964 1983 1991 1999
Rang de l'année, x_i 0 12 21 30 64 83 91 99
Temps en seconde, yi 10,80 10,60 10,40 10,30 10,06 9,93 9,86 9,79


1. Etude d'un modèle affine
    a) Construire le nuage de points Mi(x_i ; yi), avec i compris entre 1 et 8, associé à cette série statistique double. On prendra comme unité graphique 1 cm pour dix ans en abscisse et 1 cm pour un dixième de secondes en ordonnées.
On comencera les graduations au point de coordonnées (0 ; 9).
    b) Peut-on envisager un ajutement affine à court terme ? Cet ajustement permet-il des prévisions pertinentes à long terme sur les records futurs ?

2. Etude d'un modèle exponentiel
Après étude, on choisit de modéliser la situation par une autre courbe.
On effectue les changements de variables suivants :
X = e^{-0,00924x} et Y = ln y.
On obtient le tableau suivant :

Xi = e^{-0,00924x_i} 1 0,895 0,824 0,758 0,554 0,464 0,431 0,401
Yi = ln yi 2,380 2,361 2,342 2,332 2,309 2,296 2,288 2,281


    a) Donner une équation de la droite de régression de Y en X obtenue par la méthode des moindres carrés.
    b) En déduire que l'on peut modéliser une expression de y en fonction de x sous la forme suivante : y = \exp(a e^{-0,00924x} + b) où a et b sont deux réels à déterminer.
    c) A l'aide de cet ajustement, quel record du 100 mètres peut-on prévoir en 2010 ?
    d) Calculer la limite en +\infty de la fonction f définie sur \mathbb{R} par l'expression suivante : f(t) = \exp\left(0,154 e^{-0,00924t} + 2,221)
    e) Que peut-on en conclure, en utilisant ce modèle, quant aux records du cent mètres masculin, à très long terme ?


6 points

exercice 4 - Commun à tous les candidats

Les deux parties peuvent être traitées indépendamment l'une de l'autre.

Première partie

On considère une fonction g définie sur l'intervalle ]-\dfrac{1}{2} \: ; \: +\infty [ par : g(x) = -x^2 + ax - \ln(2x + b), où a et b sont deux réels.
Calculer a et b pour que la courbe représentative de g dans un plan muni d'un repère (O \: ; \: \vec{i} \: , \: \vec{j}) passe par l'origine du repère et admette une tangente parallèle à l'axe des abscisses au point d'abscisse \dfrac12.

Deuxième partie

Soit f la fonction définie sur l'intervalle ]-\dfrac{1}{2} \: ; \: +\infty [ par : f(x) = -x^2 + 2x - \ln(2x + 1).
On admet que f est dérivable et on note f' sa dérivée.
Le tableau de variation de la fonction f est le suivant :
sujet du bac économique et social Amérique du Nord 2007 - terminale : image 3


1. Justifier tous les éléments contenus dans ce tableau.

2. a) Montrer que l'équation f(x) = 0 admet une unique solution \alpha dans l'intervalle \left[\dfrac12 \: ; \: 1 \right].
    b) Donner un encadrement de \alpha d'amplitude 10-2.

3. Déterminer le signe de f(x) sur l'intervalle ]-\dfrac{1}{2} \: ; \: +\infty [.








exercice 1 - Commun à tous les candidats

1. Si deux évènements A et B sont indépendants, alors p(A\cap B)=p(A)p(B), donc :
p(A \cap B) = 0,7 \times 0,2 = 0,14
La réponse est donc la première réponse.

NB : Pas besoin d'aller plus loin car l'énoncé nous dit qu'une seule réponse est correcte. Mais dans le cadre de cette correction, nous allons tout de même vérifier que les autres réponses sont fausses.
p(A\cup B) = p(A)+p(B)-p(A\cap B) = 0,7+0,2-0,14=0,76 \neq 0,9
Les évènements A et B sont indépendants, la probabilité de B sachant A est donc la même que la probabilité de B : p_A(B) = p(B) = 0,2 \neq 0,5

2. L'évènement A = "obtenir au moins une fois le côté face" est l'évènement contraire à B = "ne jamais obtenir le côté face"="obtenir uniquement le côté pile". On aura alors : p(A)=p(\overline{B}) = 1-p(B)
Commençons par calculer p(B).
B = "obtenir pile à tous les tirages" = "obtenir pile au 1er tirage" et "obtenir pile au 2e tirage" et ... "obtenir pile au 4e tirage", les 4 tirages étant indépendants (les probabilités vont donc se multiplier).
Or pour un tirage donné, la probabilité d'obtenir face est \dfrac{1}{3} donc la probabilité d'obtenir pile est \dfrac{2}{3}
p(B) = \left(\dfrac{2}{3}\right)^4 = \dfrac{2^4}{3^4} = \dfrac{16}{81}
Donc p(A) = 1 - p(B) = 1 - \dfrac{16}{81} = \dfrac{81-16}{81} = \dfrac{65}{81}
La réponse est donc la 3ème réponse.

3. D'après la formule des probabilités conditionnelles : p_H(F) = \dfrac{p(H\cap F)}{p(H)}
Or, on peut compléter l'arbre comme indiqué ci-dessous:
sujet du bac économique et social Amérique du Nord 2007 - terminale : image 8

et en déduire : p(H\cap F)=0,8\times0,7=0,56 et p(H)=p(H\cap F)+p(H\cap E)=0,56+0,2\times0,4=0,56+0,08=0,64
d'où p_H(F)=\dfrac{56}{64}=\dfrac{7}{8}=0,875
La réponse est donc la 3ème réponse.

4. L'évènement A = "obtenir des boules qui ne sont pas toutes de la même couleur" est l'évènement contraire à B = "obtenir des boules toutes de la même couleur". On aura alors : p(A) = p(\overline{B}) = 1 - p(B)
Commençons donc par calculer p(B).
Tirage de la 1ère boule : on peut tirer toutes les boules (on obtient une boule blanche ou une boule noire).
Tirage de la 2e boule : on doit tirer une boule de la même couleur qu'au 1er tirage. Que la 1ère boule ait été blanche ou noire, on aura la même probabilité d'en tirer une de la même couleur : p = \dfrac{5}{10} = \dfrac{1}{2}.
Tirage de la 3e boule : idem p = \dfrac{5}{10} = \dfrac{1}{2}.
...
Tirage de la n-ème boule: idem p=\dfrac{5}{10}=\dfrac{1}{2}.
On a donc p(B) = 1 \times \underbrace{\dfrac{1}{2}\times...\times\dfrac{1}{2}}_{n-1 \text{ fois}} = \dfrac{1}{2^{n-1}}
La réponse est donc la 2ème réponse.




exercice 2 - Candidats n'ayant pas suivi l'option de spécialité

1. a) D'après le graphique, on a :
si x \in ]\dfrac{1}{2} ; 1], F est décroissante, donc f(x) \le 0
si x \in [1;+\infty[, F est croissante, donc f(x)\ge 0

1. b) (C) admet une tangente verticale au point d'abscisse 1, donc le nombre dérivé de F en 1 est nul donc f(1)=F'(1)=0.
On peut lire sur le graphe: F(1)=-2 et F(3)=0.
D'après la question précédente, on a montré que f(x) \ge 0 si x\in[1;+\infty[, or 3 \in [1;+\infty[, donc f(3)>0.

1. c) \displaystyle \int_1^3f(x)dx = [F(x)]_1^3=F(3)-F(1)=0-(-2)=2

2. a) f_1(x)=(x^2-x+1)e^{2x-1} est du signe de x^2-x+1 car une exponentielle est toujours positive.
P(x)=x^2-x+1
\Delta=b^2-4ac=1-4=-3 donc P(x)>0 pour tout x de J.
Donc : f_1(x)>0 sur J

2. b) f_2(x)=0 \Longleftrightarrow \ln(2x-1)=0[ \Longleftrightarrow 2x-1=1 \Longleftrightarrow x=1

2. c) f_3(1)=-1+\dfrac{1}{2\times1-1}=-1+1=0

2. d) Comme la dérivée de \ln u est \dfrac{u'}{u}, en posant u(x)=2x-1 on obtient (\ln u(x))'=\dfrac{u'(x)}{u(x)}=\dfrac{2}{2x-1} donc :
\displaystyle \int_1^3 \left(-1+\dfrac{1}{2x-1}\right)dx = \left[-x+\dfrac{1}{2}\ln(2x-1) \right]_1^3 = -3+\dfrac{1}{2} \ln 5 + 1 - \dfrac{1}{2} \ln 1 = \dfrac{1}{2} \ln 5-2

2. e)
f_1 est positive sur ]\dfrac{1}{2};+\infty[. Or f est négative sur ]\dfrac{1}{2};1] et positive sur [1,+\infty[ donc f_1 n'est pas f.
\displaystyle \int_1^3f_3(x) dx = \dfrac{1}{2} \ln5-2. Or \displaystyle \int_1^3 f(x) dx = 2 donc f_3 n'est pas f.
donc f_2 = f. D'ailleurs, on a bien f_2 (1) = f(1) = 0
La fonction f est f_2.




exercice 2 - Candidats ayant suivi l'enseignement de spécialité

Première partie : étude d'un graphe

1. a) Pour toute paire de sommets du graphe, on peut trouver une chaîne les reliant : le graphe est donc connexe.

1. b)
sujet du bac économique et social Amérique du Nord 2007 - terminale : image 6


1. c) Tous les sommets sauf deux (Z et Y) ont des degrés pairs, donc le graphe admet une chaîne eulérienne, et Z et Y sont les extrémités du graphe.

2. a) Rappel : Le nombre chromatique d'un graphe est le nombre minimum de couleurs nécessaires à sa coloration, c'est-à-dire le plus petit nombre de couleurs permettant de colorer tous les sommets du graphe sans que deux sommets adjacents soient de la même couleur.
Soit c le nombre chromatique du graphe.
Propriété : Le nombre chromatique est inférieur ou égal à r + 1, où r est le plus grand degré de ses sommets.
Ici r = 4 donc c \le 5.
Propriété : Le nombre chromatique d'un graphe est supérieur ou égal au nombre chromatique de chacun de ses sous-graphes.
Ceci est un sous-graphe du graphe:
sujet du bac économique et social Amérique du Nord 2007 - terminale : image 9

Il s'agit d'un graphe complet d'ordre 3, donc de nombre chromatique 3, donc c \ge 3.
Conclusion : 3\le c\le 5.

2. b) On colore le graphe en appliquant l'algorithme de Welsh et Powell :
on classe les sommets suivant leur ordre de degré décroissant : A,B,C,D,E,G,Y,F,H,Z
on colore :
sujet du bac économique et social Amérique du Nord 2007 - terminale : image 7

On est donc parvenu à trouver une coloration avec 3 couleurs, or 3\le c\le 5, donc c= 3. Le nombre chromatique du graphe est 3.

Deuxième partie : visite d'un musée

1. Si on représente les salles par des sommets, en nommant l'accueil Y et la boutique Z, et les portes par des arêtes reliant les sommets, on obtient le graphe étudié en première partie :
sujet du bac économique et social Amérique du Nord 2007 - terminale : image 10


2. a) Nous avons déterminé en première partie que ce graphe admet une chaîne eulérienne, c'est-à-dire une chaîne empruntant une fois et une seule chaque arête du graphe.
Or les arêtes modélisent les portes et les chaînes modélisent les chemins parcourus par les visiteurs. Il est donc possible de trouver un chemin qui emprunte une fois et une seule chaque porte.

2. b) Exemple de circuit possible : Y-G-H-E-F-B-E-D-G-C-D-B-A-C-Y-A-Z.

3. Cela revient à déterminer le nombre chromatique et à réaliser une coloration correspondante. Nous l'avons déjà fait en première partie : il suffit de 3 couleurs, et de colorer par exemple A,D,F,H,Y en couleur 1 ; B,C,E,Z en couleur 2 ; et G en couleur 3.




exercice 3 - Commun à tous les candidats

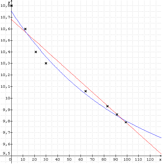
1. a) Représentation du nuage des points :
sujet du bac économique et social Amérique du Nord 2007 - terminale : image 11


1. b) La méthode des moindres carrés nous permet de trouver la droite d'approximation affine : y = -0,009x+10,681. (droite tracée en rouge sur le graphique)
(Je rappelle que la droite d'approximation affine est y=ax+b, avec a = \dfrac{\displaystyle \sum_{i=1}^8 (x_i - \bar{x})(y_i-\bar{y})}{\displaystyle \sum_{i=1}^8 (x_i - \bar{x})^2} et b=\bar y - a \bar x).
Cette approximation est valable à court terme. En effet, à long terme (pour des x très grands), cette approximation nous donne des valeurs négatives, ce qui n'est pas possible.

2. a) La méthode des moindres carrés nous mène à l'équation Y=0,153X+2,221.

2. b) On a donc Y=0,153X+2,221 \Longleftrightarrow \ln y = 0,153e^{-0,00924x}+2,221 \Longleftrightarrow y=exp(0,153 e^{-0,00924x}+2,221) (courbe tracée en bleu sur le graphique)

2. c) En 2010, x=110 et alors y=e^{0,153e^{-0,0924\times110}+2,221}=9,741

2. d) Quand x\to+\infty, -0,00924x \to -\infty donc exp(-0,00924x)\to 0 et 0,153e^{-0,00924x}+2,221 \to 2,221
D'où f(x)=e^{0,153e^{-0,00924x}+2,221} \to e^{2,221}=9,216
Donc \displaystyle \lim_{x\to+\infty}f(x)=9,216

2. e) A très long terme, le record du 100 mètres masculin tendra vers 9,216 s et sera de plus en plus difficile à battre.




exercice 4 - Commun à tous les candidats

Première partie

Si la courbe passe par l'origine, alors g(0)=0 et donc g(0)=0+0-\ln(0+b)=\lnb=0 donc b=e^0=1.
Si la courbe admet une tangente parallèle à l'axe des abscisses au point d'abscisse \dfrac{1}{2} alors g' \left(\dfrac{1}{2}\right) = 0,
or g'(x) = -2x+a-\dfrac{2}{2x+1} donc g' \left(\dfrac{1}{2} \right) = -2\dfrac{1}{2} + a - \dfrac{2}{2\frac{1}{2}+1} = -1 + a - \dfrac{2}{2}=-1+a-1=-2+a=0 donc a=2
D'où : g(x)=-x^2 + 2x - \ln(2x+1)

Deuxième partie


NB : La fonction f donnée correspond aux valeurs trouvées en première partie, c'est un moyen de vérifier nos résultats.

1.
Justifions le signe de f' :
f'(x)=-2x+2-\dfrac{2}{2x+1}=\dfrac{(-2x+2)(2x+1)-2}{2x+1} \\ =\dfrac{-4x^2-2x+4x+2-2}{2x+1}=\dfrac{-4x^2+2x}{2x+1}=\dfrac{2x(-2x+1)}{2x+1}
D'où le tableau de signe de f' :
\begin{array}{|c|lcccccr|} \hline x & -\dfrac{1}{2} & & 0 & & \dfrac{1}{2} & & +\infty \\ \hline 2x & & - & 0 & + & & + & \\ \hline -2x+1 & & + & & +& 0 & - & \\ \hline 2x+1 & 0 & + & & + & & + & \\ \hline f'(x) = \dfrac{2x(-2x+1)}{2x+1}} &  || & - & 0 & + & 0 & - & \\ \hline \end{array}
Les variations de f sont données par la propriété :
f croissante sur I \Longleftrightarrow f' \ge 0 sur I
f décroissante sur J \Longleftrightarrow f'\le 0 sur J
f(0) = 0 + 0 + \ln(0+1) = \ln 1 = 0
f\left(\dfrac{1}{2}\right) = -\dfrac{1}{4} + 2\dfrac{1}{2} - \ln \left(2\dfrac{1}{2}+1\right) = \dfrac{3}{4} - \ln2 = \dfrac{3}{4} + \ln \left(\dfrac{1}{2}\right) car -\ln(a) = \ln \left(\dfrac{1}{a}\right)
\displaystyle \lim_{x\to-\frac{1}{2}} -x^2+2x-\ln(2x+1) = \displaystyle \lim_{x\to-\frac{1}{2}} -\dfrac{1}{4}+2\dfrac{1}{2}-\ln(2x+1) \\ = \displaystyle \lim_{x\to-\frac{1}{2}} \dfrac{3}{4} - \ln(2x+1) = \displaystyle \lim_{X\to0} \dfrac{3}{4} - \ln(X)=-(-\infty) = +\infty
\displaystyle \lim_{x\to+\infty}-x^2+2x = \displaystyle \lim_{x\to+\infty}-x^2 = -\infty et \displaystyle \lim{x\to+\infty} - \ln(2x+1) = \displaystyle \lim_{X\to+\infty} -\ln(X) = -\infty donc \displaystyle \lim_{x\to+\infty}f(x) = -\infty

2. a) Dans l'intervalle \left[\dfrac{1}{2};1\right], f est décroissante de \dfrac{3}{4} + \ln \dfrac{1}{2} = 0,057 à f(1)=-1^2+2 \times 1 - \ln(2\times1+1) = 1 - \ln 3 = -0,099.
Or 0 \in [-0,099;0,057] donc, d'après le théorème des valeurs intermédiaires, il existe un unique \alpha \in \left[\dfrac{1}{2};1\right] tel que f(\alpha)=0.

2. b) On a 0,5 < \alpha < 1.
f(0,75)=0,021 donc 0,75<\alpha<1
f(0,85)=-0,016 donc 0,75<\alpha<0,85
f(0,80)=0,004 donc 0,80<\alpha<0,85
f(0,81)=0,0007 donc 0,81<\alpha<0,85
f(0,82)=-0,0032 donc 0,81<\alpha<0,82

2. c)
\begin{array}{|c|ccccccccc|} \hline x&-\dfrac{1}{2}&&0&&\dfrac{1}{2}&&\alpha&&+\infty \\ \hline & +\infty && & & \dfrac{3}{4} \ln \dfrac{1}{2} &&&& \\  & & \searrow &&\nearrow&&\searrow&&& \\ f(x) & & & 0 & & & & 0 & & \\  & & & & & & & & \searrow & \\  & & & & & & & & & - \infty \\ \hline f(x)}& &+&0&&+&&0&-& \\ \hline \end{array}
Publié le
ceci n'est qu'un extrait
Pour visualiser la totalité des cours vous devez vous inscrire / connecter (GRATUIT)
Inscription Gratuite se connecter
Merci à
Aurelien_
pour avoir contribué à l'élaboration de cette fiche


Vous devez être membre accéder à ce service...

Pas encore inscrit ?

1 compte par personne, multi-compte interdit !

Ou identifiez-vous :


Rester sur la page

Inscription gratuite

Fiches en rapport

parmi 1768 fiches de maths

Désolé, votre version d'Internet Explorer est plus que périmée ! Merci de le mettre à jour ou de télécharger Firefox ou Google Chrome pour utiliser le site. Votre ordinateur vous remerciera !