Bonjour tout le monde,
et voilà, comme vous le montre l'image ci-dessous, j'ai décidé de me mettre moi aussi à la cuisine moléculaire, à l'aide ma bouteille d'azote liquide. Et comme vous le voyez, j'ai pris mes précautions en enfilant une combinaison.
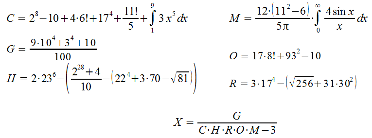
En bons observateurs, vous avez remarqué que j'avais au moment de la photo écris quelques calculs au tableau ... et l'énigme va porter sur ces calculs !
Comme je suis sympa, je vous ai remis les formules ci-dessous, pour que cela soit plus lisible.
En bas du tableau, on trouve un nombre X qui est calculé à partir des précédents. Ce nombre X est composé d'un numérateur et d'un dénominateur, et je veux que vous en calculiez les valeurs exactes.
Question : Donner le numérateur et le dénominateur du nombre X.
Attention, ne surtout pas simplifier le nombre X en le mettant sous forme d'une fraction avec numérateur et dénominateur entiers.
Pour information, le numérateur est un nombre décimal et le dénominateur un nombre entier "un peu long".
Vous aurez besoin de quelques outils de calculs spéciaux, mais sachez qu'on en trouve des gratuits et utilisables en ligne. Allez, je suis sympa, je vous en donne un :
J'ai mis 3 étoiles à l'énigme, car elle demande quelques connaissances mathématiques, et aussi de la rigueur pour parvenir au résultat final.
Et j'espère que les plus curieux d'entre vous sauront expliquer pourquoi ces calculs apparaissent au tableau !
Bonne recherche !
PS : cela n'a rien à voir, mais aller aussi lire ceci :
Amateurs de codes secrets : le Crypto défi

Salut jamo !
Alors, on commence par le plus simple.
Le numérateur du nombre X est 900.91.
Pour le dénominateur, tout d'abord, je trouve :
C = 8335727
H = 269462689
R = 222647
O = 694079
M = 552
Ce qui nous donne comme dénominateur : 191605050401140404051920181525;
Pfiou...
A+ et merci pour l'énigme.
Bonjour,
X = 900,91/191605050401140404051920181525
Pour la question subsidiaire:
Le 9 décembre 2010, l'équipe de Google chrome a posté une vidéo:
qui recélait une énigme dissimulée dans une équation.
9=g,0=o,0=o,9=g,1=l
19 16 05 05 04 01 14 04 04 05 19 20 18 15 25 correspond à s p e e d a n d d e s t r o y
(A=1, B=2, C=3, etc).
Il fallait donc aller sur goo.gl/speedanddestroy ...pour gagner un portable Chrome OS...
Ce qui fut fait en - de 24h par l'équipe de Jamendo.
Merci pour l'énigmo.
Bonjour
Le numérateur de X = 900.91
et le dénominateur = 191605050401140404051920181525
Le dénominateur vaut = 8335727•269462689•222647•694079•552 - 3
Et l'intégrale de 4sin(x)/x = 2.pi
A+
Bonjour Jamo,
Je trouve finalement, avec l'aide de la calculette de Windows et après quelques erreurs :
numérateur = 900,91
dénominateur = 191 605 050 401 140 404 051 920 181 525
Bon mois d'août à toi .
Bonjour jamo,
Je propose,
Numérateur
900,91
Dénominateur
183 621 506 634 426 220 549 756 840 628
Merci pour l'enigmo 
Bonjour Jamo,
Je propose
Numérateur = 900,91
Dénominateur = 191.605.050.401.140.404.051.920.181.525
Aurais-tu essayé la nouvelle version de Chrome 3 Beta ???
Merci pour cette 'énigme'
A+
Bonjour,
le numerateur de X = G = 900,91
le denominateur de X = C*H*R*O*M-3 = 191 605 050 401 140 404 051 920 181 525
Merci pour ce mysterieux enigmo qui merite bien ses 3 etoiles.
Bonjour Jamo,
Ci-dessous les réponses mystérieuses :
Numérateur : 900,91
Dénominateur :191605050401140404051920181525
A +
Bonjour,
je propose :
numérateur = 900.91
dénominateur = 191605050401140404051920181525
(qui est effectivement un nombre entier "un peu long"...)
avec un peu (beaucoup) de chance, j'ai trouvé l'explication qui pointe vers:
http://goo.gl/speedanddestroy
mais du coup, je sais maintenant que mon résultat est correct... et qu'à moins d'une très mauvaise lecture de l'énoncé je devrais échapper au poisson !
merci pour l'énigme !
Bonjour jamo,
Un peu fastidieux, en effet !
Le numérateur: 900,91 (facile)
Le dénominateur: 191 605 050 401 140 404 051 920 181 525 (plus pénible)
Un rapport avec Google Chrome, sûrement, mais lequel ?
Bonjour jamo,
Voici mes résultats pour cette énigme :
G = 900.91
C = 8335727
H = 269462689
R = 222647
O = 694079
M = 552
On trouve alors X=900.91/191605050401140404051920181525
Simple question ensuite, est-il raisonnable de mettre 3 étoiles à une énigme sans réelle difficulté (le seul problème vient de l'intégrale en sinus mais le résultat se trouve partout sur internet) ?
De plus, une recherche très rapide donne la solution, l'image étant extraite de la vidéo de présentation du netbook Cr-48. Deux étoiles auraient amplement suffit pour moi.
Cordialement
Bonjour,
Je propose ceci :
Numérateur : 900,91
Dénominateur : 191 605 050 401 140 404 051 920 181 525
L'intégrale de sin(x)/x entre 0 et l'infini vaudrait
/2...
Merci pour l'énigme
.
Bonjour,
Le numérateur vaut : 900,91
Le dénominateur vaut : 191605050401140404051920181525
A priori, ca colle aux critères du numérateur décimal et du dénominateur un peu long
Merci pour l'énigme!
PS: résultat trouvé à l'aide de wxMaxima
Bonjour,
il y a parfois des énigmes que je ne sais pas résoudre, mais en général je les comprends.
Là, je suppose qu'il ne suffit pas de simplement faire des calculs, mais alors quoi ? je ne comprends rien (la solution viendra en son temps
).
Alors pourquoi répondre ? Pour remercier l'auteur d'avoir fourni un lien permettant de découvrir ce site formidable
(quel bonheur !).
Encore merci pour le lien et pour les énigmes
Oula, si je ne me trompe pas cela doit être :
G = 900,91
C = 8335727
H = 269462689
R = 222647
O = 694079
M = 552
G = 900,91
CHROM-3 = 191605050401140404051920181525
Ce qui donne :
X = 900,91 / 191 605 050 401 140 404 051 920 181 525
Après recherche, je conforte ma réponse et en plus cela ma permis de trouver la réponse aux curieux
L'image est une capture d'une vidéo à la 2h24min d'une énigme à résoudre ce qui à permis au vainqueur de gagner CR-48 (PC)
En gros 900,91 ce lit goo.gl, le / en / et le dénominateur une fois décomposé donne 19 16 05 05 04 01 14 04 04 05 19 20 18 15 25
soit lettre : s p e e d a n d d e s t r o y
Le gagnant a entrée l'adresse, un message lui disant qu'il était le premier à avoir trouvé .... voici le lien :
http://chrome.blogspot.com/2010/12/x-g-chrom-3.html
@++
Bonjour,
le numérateur est et le dénominateur est
.
(ce qui fait presque cent quatre-vingt douze milliards de milliards de milliards!
)
Merci de m'avoir fait redécouvrir l'intégrale de Dirichlet !
Bonsoir,
je trouve au numérateur 90091/100 et au dénominateur 15 428 918 147 848 157 041 632 293 781.
J'obtiens :
C = 8 335 727
H = 269 462 689
R = 222 647
O = 694 079
M = 552
G = 900.91
On a donc :
X = 900.91 / 191 605 050 401 140 404 051 920 181 525
Bonjour,
Alors, j'ai trouvé:
C=8.601.447
H=269.462.689
R=222.647
O=694.079
M=552
et G=900,91 le numérateur
Le dénominateur vaut alors 197.712.891.264.041.867.615.287.387.605
J'ai peut-être bon, mais je suis certain de n'avoir rien compris au message caché...
Bonsoir jamo,
Numérateur = 900,91
Dénominateur = 1 916 050 504 011 404 040 519 201 181 525
C= 8 335 727
G= 900,91
H= 269 462 689
M= 552
O= 694 079
R= 222 647
Merci .
Bonjour
,
en utilisant maple je trouve:
numérateur=900.91
dénominateur=191605050401140404051920181525
Bonjour Jamo,
Je corrige ce que j'étais en train d'écrire, car je pense que l'on doit effectuer une multiplication au dénominateur et non pas une juxtaposition des chiffres comme j'étais en train de le faire
Je trouve donc .
J'espère simplement ne pas m'être trompé en recopiant les formules dans Maple et ne pas avoir sauté à pieds joints dans un piège.
Merci pour l'énigme.
Etienne
Clôture de l'énigme
Bravo à tous ceux qui ont trouvé !
Voici quelques précisions sur l'origine de cette énigme.
En fait, vous trouverez toutes les explications ici : ![]()
L'image est tirée de la vidéo d'une publicité de chez Google pour son nouveau notebook je crois. Une personne (le français dont je vous ai donné le lien vers son blog) a été intrigué par ces formules et s'est lancé dans le calcul.
Bon, il semble dire avoir passé des heures de calcul là-dessus ... alors qu'en 5 minutes c'est réglé, c'est plutôt la signification du résultat qui peut être longue.
Et après décodage du résultat, voici qu'il tombe sur une page internet qui lui annonce qu'il a résolu l'énigme et gagné un notebook ! 
Pour moi, la plus grosse difficulté était déjà de lire les formules sur le tableau ! Car différencier le signe "-" du point de la multiplication n'est pas si évident !
Bonsoir,
Bonsoir
,

Bonsoir Jay-M,
s'aider d'un logiciel informatique pour résoudre une énigme est complétement différent du fait de chercher la réponse directement sur internet... L'ordinateur peut traiter plus de cas et plus rapidement que l'humain, alors pourquoi ne pas s'en aider parfois... A condition de savoir quoi lui faire faire (qui est déjà une recherche en soi).
Bonsoir Castoriginal,
Bonjour totti1000
,
Je n'ai pas eu de smiley.

Bonsoir
Encore une énigme trop compliqué pour moi
!
Je pense que chacun de nous est assez intelligent pour justifier ses propres choix !
Salutations jamo et totti1000
!!
Bonjour,
il est bien évident que les outils modernes et notamment informatiques doivent être utilisés pour nous permettre d'être plus efficaces en face des problèmes de la réalité !
Mais ma remarque exprimait, en corollaire, un véritable problème de société.
La facilité de trouver facilement des réponses toutes faites décourage l'initiative.
Si nous pensons qu'il y a plus de 77000 inscrits à "l'île des maths"parmi lesquels au moins 95% sont des jeunes en formation qui doivent rester motivés pour acquérir des compétences; ce n'est pas opportun de leur dire: "Internet est la facilité et si vous êtes assez malin tant mieux"
J'ai travaillé un certain temps en Bureau d'Etude pour le Calcul de Ponts.
C'était les débuts de l'informatique et nous devions concevoir nous-mêmes les logiciels avec en plus une sérieuse compétence en mathématiques et en résistance des matériaux.
Je ne vois pas comment aujourd'hui des constructeurs pourraient réaliser le viaduc de Millau ou le viaduc TGV d'Attre en Belgique (particulièrement difficile: 3km en terrain marécageux)en cherchant la solution sur Internet ?
J'ai deux garçons que je trouve personnellement intelligents (24 ans et 21 ans) qui se sont plantés dans les études supérieures après un parcours secondaire sans faute.
Le plus jeune a abandonné après deux années d'Université pour faire une petit boulot où il gagne 1100€ nets par mois et peu de possibilité d'avenir.
L'aîné a passé déjà 6ans en études supérieures avec changement d'orientation après 4ans. Il a fini maintenant une 2e année de
kinésithérapie (4années en tout à faire) avec plein d'examens pour septembre. S'il achève son parcours normalement il aura passé 8 ans pour espérer avoir une activité professionnelle.
Pourquoi vous dis-je tout cela ? Parce que j'ai bien constaté que, comme beaucoup de jeunes, ils sont drogués par la TV et Internet.
Dilution de la concentration et de la rigueur d'analyse, voilà les causes de bien des échecs.
Bien à vous
Oui, la société a bien évolué, et nous n'avons pas trop le choix, nous devons faire avec et nous adapter à ces modifications.
Internet est une énorme source d'informations qui a vraiment modifié notre manière d'être et de faire, et nous avons intérêt à en profiter et à savoir l'utiliser.
Il y a 10 ans, je ne fonctionnais pas du tout de la même manière pour le travail, mes loisirs, ma culture, ... et internet a changé beaucoup de choses.
J'estime que savoir utiliser les ressources que cet outil nous propose est une compétence absolument fondamentale, et que ceux qui ne le font pas vont se ramassent et vont se planter.
Il y a 20 ans, pour calculer un pont (je me permets de reprendre ton exemple), il fallait des livres de RDM sous la main, un ordinateur, savoir développer et utiliser des logiciels de calculs, etc ...
Aujourd'hui, bien que la maitrise des connaissances reste obligatoire, je peux utiliser les ressources d'internet pour faire mieux et plus vite.
Imaginons que je veuille faire un calcul mécanique : on trouve des mailleurs automatiques libres et gratuits, des logiciels de calculs par éléments finis libres et gratuits aussi, des visualisateurs en 3D, etc ...
Bref, tout des choses qui font gagner un temps colossal.
Mais bien entendu, je le répète, celui qui n'y comprend rien et ne sait pas s'en servir restera sur place, nous sommes d'accord.
Et attention à ne pas présenter internet comme le grand méchant loup, ce que nous avons trop fait et que nous continuons à faire dans notre pays.
Aujourd'hui encore, beaucoup de nos chers concitoyens voient cet outil comme le diable : c'est pour eux le repère des pédophiles et des pirates qui vont vider nos comptes !
Et pendant que nous avons tremblé sans oser allumer nos ordinateurs, les américains ont crée Amazon, Facebook, Google, etc ... avec les succès commerciaux colossaux qu'ils sont !!
Nous sommes encore très en retard par rapport à eux, car on nous fait tellement peur avec internet que beaucoup n'y comprennent toujours rien.
Bref, pour en revenir aux énigmes que je propose, je vais être honnête : 95% de celles-ci ont leur solution quelque part sur internet ! Tout d'abord, je n'invente pas le fond des énigmes que je propose, je ne fais qu'habiller des énigmes plus ou moins connues qu'on trouve plus ou moins facilement à différents endroits.
Ce n'est qu'un simple jeu, sans importance et sans conséquences, alors si quelqu'un trouve la solution toute cuite sur internet en cherchant 2 minutes ou 2 heures, ce n'est pas très grave.
Et savoir utiliser internet pour trouver une solution à un problème est à mes yeux une compétence fort utile dans notre société actuelle où cet outil a une place de 1ère importance.
Bonjour à tous
Je viens d'entendre ce matin sur BFM radio(nul n'est parfait
)
que cette semaine signait la fin de l'ERE PC.
Nous entrons dans l'ère de l'intelligence "partagée".
Ceci bien sûr gràce aux nouveaux outils de technologie avancée et
par les logiciels et autres sources de réponses automatiques.
Comme en plus les sources d'énergies renouvelables permettront
de rester "branché" n'importe où ,on pourrait croire que c'est
la fin du calcul mental ou à l' "ancienne".
Mais et Castoriginal a bien raison ,gardons la gymnastique
intellectuelle et les bases de réflexion car pour poser clairement
un problème et répondre (en comprennant la réponse ) aux bonnes questions
c'est bien l'homme seul qui est en jeu (pour le moment...)
Bravo donc à ce site et soyons exemplaires dans cette nouvelle ère
(les poissons sont bons pour la santé mentale ,mais les smileys aussi)
Castoriginal, tu vas peut-être encore m'en vouloir
... mais tu fais décidément tout pour renforcer ton image de "papy grincheux".
Tes observations sont justes, et tout le monde ici a conscience des dérives que tu dénonces.
Mais ce n'est pas une raison pour dresser un tableau si noir.
Je le dis sans moquerie : tu as une sorte de "don" pour présenter les choses sous leur aspect le plus sombre.
Tu as été formé à l'esprit critique, et c'est sans aucun doute une bonne approche, au sens où tu ne t'arrêtes pas à la surface des choses. C'est une valeur que beaucoup ici comprennent et partagent.
Mais si tu investissais une partie de cet esprit critique, à chercher également les aspects positifs de ce que tu dénonces... je crois que tu y gagnerais en optimisme et que ta vision du monde serais plus nuancée, plus équilibrée... et quelque part plus humaine.
Amicalement,
LeDino
Sur le débat lié à Internet, j'ajoute ceci : je trouve la plupart du temps les réponses par mes propres moyens, avec ou sans l'aide d'outils informatiques.
Parfois, mais dans une minorité de cas, je tente des recherches sur le sujet posé, non dans l'espoir de trouver une solution toute crue (car c'est très rarement possible
), mais pour trouver des raccourcis, des formules, des résultats intermédiaires, des méthodes, des fondements théoriques... bref tout ce qui peut aider à la résolution.
Ce faisant, lorsque cette recherche est fructueuse, il est fréquent que j'en retire une vision améliorée de la problématique posée. C'est un peu comme si je dressais un "état de l'art" du sujet.
Je suis certain que cette démarche m'a permi de m'améliorer au fil du temps. Il y a un certain nombre de sujets sur lesquels je pense avoir appris des choses que j'ignorais auparavant. Les recherches sur internet m'ont donc en définitive permis de progresser et d'apprendre.
Je suis convaincu que je ne suis pas le seul dans ce cas.
Et je ne comprends pas que l'on puisse avoir un débat sur ce sujet en niant cet aspect des choses.
Vous devez être membre accéder à ce service...
Pas encore inscrit ?
1 compte par personne, multi-compte interdit !
Ou identifiez-vous :