Inscription / Connexion Nouveau Sujet

1 2 +


Niveau 4 *
Partager :

La mouche****

Posté par
J-P Posteur d'énigmes
21-01-05 à 20:45

Paul et Virginie roulent l'un vers l'autre en bicyclette.
Paul roule à 23 km/h et Virginie à 17 km/h et ceci de manière régulière.

A l'instant t = 0, il y a une distance de 40 km entre Paul et Virginie, à ce moment, une mouche part de l'endroit où se trouve Paul et vole en ligne droite vers Virginie à une vitesse de 40 km/h, arrivée près de Virginie, la mouche repart vers Paul mais cette fois à une vitesse de 30 km/h et toujours en ligne droite.
La mouche continue ainsi son va-et-vient entre les 2 cyclistes.

En supposant que la mouche ne perd pas de temps dans les changements de sens de son vol, quelle est la distance parcourue par la mouche lorsque Paul et Virginie se rencontreront ?

Bonne chance à tous.
-----
Enigme clôturée mardi.  

Posté par xWiBxRaYmAn0o7x (invité)re : La mouche**** 21-01-05 à 21:39

perduau premier passage il va falloir un temps t1 pour que virgine et la mouche se rencontrent

on a t1 tel que 40*t1+17*t1 = 40
soit t1 = 40/57

la nouvelle distance entre les 2 cyclistes est maintenant de : d1 = 40-23*t1-17*t1 = 680/57

il va donc faloir un temps t2 pour que les deux cyclistes se rencoutrent maintenant

on a t2 tel que 23*t+17*t=d1
soit t2 = 17/57

La mouche aura donc parcouru au total :
t1*40+t2*30 = 2110/57 KM soit environ 37.01 KM

Posté par DiabloBoss (invité)challenge 21-01-05 à 22:57

La distance parcourue par la mouche lorsque Paul et Virginie se rencontrent est de 2110/57 km.
Soit environ 37.02km(a 10^-2 pres).

Posté par
franz
re : La mouche**** 22-01-05 à 10:51

gagnéConsidérons q'uà l'instant t=0 une distance L sépare  Paul et Virginie et que la mouche se trouve au même endroit que Paul.

La mouche aura rejoint Virginie au temps t_1 tel que v_{mouche}t_1+v_{Virginie}t_1=L soit
t_1=\frac L {57}
A l'instant t_1la distance séparant Paul et Virginie n'est plus que de L-v_{Paul}t_1+v_{Virginie}t_1=\frac {17} {57} L

La mouche aura rejoint Paul au temps t_2 tel que v_{mouche}(t_2-t_1)+v_{Paul}(t_2-t_1)=\frac {17} {57} L soit
t_2=t_1+\frac{17}{53*57}L

Au bout d'un aller et retour vers Paul, la mouche a parcouru d_1=40t_1+30(t_2-t_1)=\frac{2630}{3021}L
La distance séparant Paul et Virginie au temps t_2 n'est plus que de L-17t_2-23t_2=\frac {221}{3021}L

Pour le 2° aller et retour de la mouche, on recommence le raisonnement avec L^'=\frac {221}{3021}L.
La mouche aura parcouru lors du 2° aller et retour d_2=\frac{2630}{3021}L^'=\frac{2630}{3021}\frac{221}{3021}L

Et ainsi, la mouche aura parcouru lors du n° aller et retour d_n=\frac{2630}{3021}L^{(n-1)}=\frac{2630}{3021}\(\frac{221}{3021}\)^{n-1}L

La distance totale parcourue par la mouche vaut donc
\Bigsum_{n=1}^{\infty}d_n=\frac{2630}{3021}\,\frac 1{1-\frac{221}{3021}}L=\frac{2630}{2800}40
soit
               \fbox {\red \Large \frac{263}{7}\approx 37,57 km}







Posté par
manpower
re : La mouche**** 22-01-05 à 11:45

gagnéLa mauvaise idée serait de modéliser ça avec des suites adjacentes... pour trouver 37,\overline{571428}

Paul roule à 23km/h et Virginie à 17km/h et comme la distance qui les sépare est de 40km ils vont chacun pédaler pendant une heure (le même temps jusqu'au point de rencontre) et donc se rencontrer au kilomètre 23 (en partant de Paul).

La mouche va donc aussi voler pendant cette même durée (s'arrêtant quand Paul et Virginie se rencontrent)
Elle va voler une distance d_1 pendant un temps t_1 à 40 km/h et une distance d_2 pendant un temps t_2 à 30 km/h.
Mais on sait que:
t_1+t_2=1 soit \frac{d_1}{40}+\frac{d_2}{30}=1 ( avec v=\frac{d}{t} ou t=\frac{d}{v} )
( car la mouche vole pendant 1 heure )
et
d_1-d_2=23
( 23 étant l'endroit où la mouche s'arrête, d_1 et d_2 les distances totales parcourues à 40km/h dans le sens positif et à 30km/h dans le sens négatif )

On doit donc résoudre le système:
\{{\frac{d_1}{40}+\frac{d_2}{30}=1\atop\ d_1-d_2=23}\
soit après simplification,
\{{3d_1+4d_2=120\atop\ d_1=23+d_2
puis après substitution,
\{{69+d_2=120\atop\ d_1=23+d_2

L'unique solution est : ( \green \frac{212}{7} , \green \frac{51}{7} )    (d_2=\frac{51}{7} puis d_1=\frac{212}{7})

Enfin, la distance totale parcourue par la mouche est d_1+d_2=\frac{263}{7}

Conclusion: La mouche à parcourue exactement 4$ \red \frac{263}{7} kilomètres jusuqu'à ce que Paul et Virginie se rencontrent.

Posté par pietro (invité)re : La mouche**** 22-01-05 à 11:58

Très beau problème !
Je pense être arrivé à la bonne réponse avec \frac{263}{7} km 37,571 km.



Posté par gilbert (invité)re : La mouche**** 22-01-05 à 14:51

gagnéGros calculs !!! Donc probabilité de poisson élevé .
Le principe que j'ai retenu est de calculer le premier aller retour et la distance restante en fonction de L, la distance initiale ..Il suffit ensuite de calculer la somme d'un suite géométrique.
Je ne vais pas détailler mes calculs (j'en ai 2 pages !!).

1.Au moment de la première rencontre (avec Virginie).
La distance parcourue par la mouche est (40*L)/57 et Paul est à (23*L)/57 du début.

2.Au moment de la deuxième rencontre (avec Paul)
La distance parcourue par la mouche depuis le début est [80/57 -  (23*70)/(53*57)] *L = 0;870 * L = 34,82 et Virginie est à : 13/30 [40/57 - (23 * 70)/(57*53)] * L = 0,073 * L de Paul.

La distance parcourue par la mouche est donc :
34,82 * [1/ (1-0,073)] = 37,56 km

(à un poil de mouche près !)

Posté par DivXworld (invité)re : La mouche**** 22-01-05 à 14:58

perduPaul et Virginie se croiseront au bout d'1h

il faut calculer au bout de combien de temps la mouche et virginie se croiseront pour la 1ere fois
pour cela on additionne leurs vitesses respectives et on cherche en combien de temps l'on parcourt les 40km
vitesse = 40 + 17 = 57 km/h
il faut 40/57 h pour faire les 40km a cette vitesse
donc la mouche et virginie se croiseront au bout de 40/57 h

la mouche va donc aller a 30km/h pendant 17/57 h

on obtient la distance totale parcourue :
40*(40/57)+30*(17/57)=2110/5737.018 km

ca me parait louche quand meme que je trouve aussi facilement alors qu'il y a 4 étoiles

Posté par
Nofutur2
re : La mouche**** 22-01-05 à 17:11

gagnéJe pense qu'il faut se ramener au problème initial, après avoir calculer le premier aller retour.

La longueur du premier aller - retour de la mouche est égale à = 34,82 km.
Les calculs montrent que cette valeur est proportionnelle à la longueur de départ, soit 40 km.
Après ce premier aller - retour de la mouche, Paul et Virginie ne sont plus qu'à 0,073 * 40 km.

Si je recommence, la longueur de l'aller retour sera proportionnelle à cette nouvelle valeur donc 34,82 multipliée par 0,073.
La somme infinie de cette série géométrique de premier terme 34,82 et de raison 0,073 est 37,56.
La mouche a donc parcouru 37,56 km lorsque Paul et Virginie se rencontrent (au bout d'une heure)

Posté par PolytechMars (invité)Un peu de fortran 90 et tout roule, tout vole : 37,57143 km 22-01-05 à 18:31

gagnéLa réponse est 37km et 571 m et 43 cm .. et je pense que la mouche fait 7 ou huit aller retour mais bon là n'est pas la question!!!
Ce probleme pouvait aisément se programmer, d'ailleurs c'est ce que j'ai fait.. Pour ce que ca interesse je vous envoie le code source en fortran 90 :

Miaouw et a tres bientot..







program mouche
implicit none
integer i
real :: tempstrajet,tempstotal,Vvirginie,Vpierre,Vmouchealler,Vmoucheretour,distanceparcourue

Vvirginie=17.
Vpierre=23.
Vmouchealler=40.
Vmoucheretour=30.
distanceparcourue=0.
tempstrajet=0.
tempstotal=0


do i=1,10

! de pierre vers virginie

tempstrajet=(40-40*tempstotal)/(Vvirginie+Vmouchealler)
distanceparcourue=distanceparcourue+Vmouchealler*tempstrajet
tempstotal=tempstrajet+tempstotal

! de virginie vers pierre

tempstrajet=(40-40*tempstotal)/(Vpierre+Vmoucheretour)
distanceparcourue=distanceparcourue+Vmoucheretour*tempstrajet
tempstotal=tempstrajet+tempstotal

end do

print*,distanceparcourue
print*,'Le temps est bien egal a 1 :',tempstotal

end

Posté par lolux (invité)re : La mouche**** 22-01-05 à 19:00

gagné37km 56

Posté par gwa (invité)La mouche 22-01-05 à 19:43

gagnéAvec une methode iterative toute simple en fortran :
Distance = 37.571 Km.

Posté par
siOk
re : La mouche**** 22-01-05 à 22:42

gagnéBonjour,

37 571 mètres et presque 43 centimètres

Posté par barbarossa (invité)re : La mouche**** 22-01-05 à 23:40

perdubonsoir
moi je trouve 37 km?

Posté par
isisstruiss
re : La mouche**** 23-01-05 à 15:16

gagnéLe temps qu'il faut à Paul et Virginie pour se rencontrer est \frac{40}{23+17}=1 heure. Je m'intéresse à la proportion du trajet que la mouche a volé à 40km/h et celle qu'elle a volé à 30km/h.

Si d_{2n} est la distance qui sépare Paul de Virginie après que la mouche ait fait n aller-retours, le temps qu'il faut à la mouche pour atteindre Virginie est t_{2n}=\frac{d_{2n}}{40+17}=\frac{d_{2n}}{57} et après ce laps de temps la distance séparant Paul de Virginie est d_{2n+1}=d_{2n}-23\frac{d_{2n}}{57}-17\frac{d_{2n}}{57}=\frac{17}{57}d_{2n}.

Le temps que met la mouche de Virginie à Paul est t_{2n+1}=\frac{d_{2n+1}}{30+23}=\frac{d_{2n+1}}{53}=\frac{17}{53\cdot57}d_{2n}

D'où \frac{t_{2n}}{t_{2n+1}}=\frac{d_{2n}}{57}\frac{53\cdot57}{17}\frac{1}{d_{2n}}=\frac{53}{17}
Donc sur 70 heures de vol la mouche passerait 53 heures à voler à 40km/h et 17 heures à voler à 30km/h. Comme la mouche vole 1 heure, la distance parcourrue est:
\frac{40\cdot53+30\cdot17}{70}=\frac{263}{7}\approx37.57km

Ma réponse est donc 37.57km.

Isis

Posté par nat34 (invité)la mouche 23-01-05 à 21:52

perduPaul et virginie vont de rencontrer au bout d'une heure donc la mouche aura parcouru 40 km.

Posté par LNb (invité)re : La mouche**** 24-01-05 à 09:43

gagnéLa mouche a parcouru 263/7 km

Démonstration:
Elle a parcouru une distance x à 40 km/h dans la direction¨Paul/Virginie
et une distance y à 30 km/h dans la direction Virginie/Paul.

Son temps de vol correspond au temps que mettent Paul et Virginie à se rencontrer. C'est-à-dire 1 heure (40 km à parcourir, somme des vitesses = 40km/h). La première équation est donc
\frac{x}{40} + \frac{y}{30} = 1

Le lieu de rencontre est à 23 km du point de départ de Paul et à 17 km du point de départ de Virginie. La seconde équation est donc
x - y = 23

le système est un simple système de deux équations linéaires dont la solution est :
x = \frac{212}{7}
y = \frac{51}{7}

La distance parcourue est donc de x + y = \frac{263}{7} kilomètres

Posté par gilbert (invité)re : La mouche**** 24-01-05 à 15:17

gagnéLe problème de la mouche m'a trotté dans la tête tout ce dimanche . Je crois avoir trouvé une solution plus rapide et plus simple. Bien sûr pour le jeu, seule ma première réponse compte , mais je crois que je trouve la même chose (aux arrondis près) .

La mouche fera les 23 premiers km pendant 23/40 h. On sait que se sera le point de rencontre de Paul et Virginie donc le point terminal de son parcours.
Elle fera ensuite des aller retours, de part et d'autre de ce point d'équilibre, soit 2L moitié à 30km/h moitié à 40km/h et ceci pendant 1h - 23/40 = 17/40 h.
On aura donc  L/30 +L/40 = 17/40 donc 4L +3L = 51, L = 51/7.
Longueur totale parcourue = 23  + (2*51/7) = 37,57 km

Posté par
Lopez
re : La mouche**** 24-01-05 à 16:08

perduBonsoir,

la distance parcourue par la mouche est 37,53 km

Posté par
H_aldnoer
re : La mouche**** 24-01-05 à 22:04

perduslt a tous les participant !!!
on pourra dire que cette enigme men aura fais voir de tte les couleurs j'espere ke jauré les smileys (enfin ne parlons pa tro vite)


voila comment jé procédé : jé tout dabor traduit lénoncé en formule mathématique, puis calculer les premiers point dont je remarqua que ce fut une suite ; pour trouver la distance parcouru par la mouche jé alors calculer la limtite de cette suite

tout d'abord sachant que Pierre roule a 23km/h et Virginie a 17km/h les 2 protagonistes se retrouveront au bout d'une heure ; la mouche aura donc parcouru une certaine distance en 1 heure. ainsi notre suite est-t-elle definie sur [0;1]

la mouche effectue des allers retours entre Paul et Virginie a vitesse variable selon qu'elle aille vers Paul ou Virginie

Tou d'abor la mouche va vers Virginie, qui se rencontreront au bout d'un temps t_1 verifiant cette equation :
x\times\frac{40}{1}+x\times\frac{17}{1}=40
autrement dit x etant un temps, on resout l'equation nous permettant de trouver au bout de quelle temps la mouche et Virginie se rencontre sachant ke la mouche vole a 40km/h, Virginie roule à 17km/h et une distance de 40 km separe les 2
en resolvant, on trouve x=\frac{40}{57}h
la mouche a alors parcouru une distance








Posté par
H_aldnoer
re : La mouche**** 24-01-05 à 22:14

perduslt a tous les participant !!!
on pourra dire que cette enigme men aura fais voir de tte les couleurs j'espere ke jauré les smileys (enfin ne parlons pa tro vite)


voila comment jé procédé : jé tout dabor traduit lénoncé en formule mathématique, puis calculer les premiers point dont je remarqua que ce fut une suite ; pour trouver la distance parcouru par la mouche jé alors calculer la limtite de cette suite

tout d'abord sachant que Pierre roule a 23km/h et Virginie a 17km/h les 2 protagonistes se retrouveront au bout d'une heure ; la mouche aura donc parcouru une certaine distance en 1 heure. ainsi notre suite est-t-elle definie sur [0;1]

la mouche effectue des allers retours entre Paul et Virginie a vitesse variable selon qu'elle aille vers Paul ou Virginie

- Tou d'abor la mouche va vers Virginie et on a t_1=x\times\frac{40}{1}+x\times\frac{17}{1}=40
autrement dit au bout de quelle temps  la mouche et Virginie se rencontre sachant ke la mouche vole a 40km/h, Virginie roule à 17km/h et une distance de 40 km separe les 2
en resolvant, on trouve x=\frac{40}{57}h
MOUCHE a alors parcouru M_1=40 \times \frac{40}{57} soit M_1= \frac{1600}{57}km
VIRGINIE a elle parcouru V_1=17 \times \frac{40}{57} soit V_1= \frac{680}{57}km
PAUL a lui parcouru P_1=23 \times \frac{40}{57} soit P_1= \frac{920}{57}km

- La mouche vole ensuite vers Paul et on a t_2=x\times\frac{30}{1}+x\times\frac{23}{1}=\frac{680}{57}
autrement dit x etant un temps, on resout l'equation nous permettant de trouver au bout de quelle temps la mouche et Virginie se rencontre sachant ke la mouche vole a 40km/h, Virginie roule à 17km/h et une distance de 40 km separe les 2
en resolvant, on trouve x=\frac{40}{57}h
MOUCHE a alors parcouru M_1=40 \times \frac{40}{57} soit M_1= \frac{1600}{57}km
VIRGINIE a elle parcouru V_1=17 \times \frac{40}{57} soit V_1= \frac{680}{57}km
PAUL a lui parcouru P_1=23 \times \frac{40}{57} soit P_1= \frac{920}{57}km





Posté par daniel12345 (invité)re : La mouche**** 24-01-05 à 23:27




   La mouche parcourt \frac{263}{7}   Km


Posté par pinotte (invité)re : La mouche**** 24-01-05 à 23:37

perduCalculons, pour commencer, le temps que prendront Paul et Josée pour se rencontrer.

y = 23t (Paul)
y = 40-17t (Josée)

23t = 40-17t
40t = 40
t = 1

Ils prendront 1h pour se croiser.

Calculons maintenant le temps pris par la mouche pour rejoindre Josée, en partant de Paul.

y = 40t (mouche)
y = 40-17t (Josée)

40t = 40-17t
57t = 40
t = \frac{40}{57}

La mouche rejoindra Josée après \frac{40}{57}h, soit 0,7h. Elle aura alors parcouru une distance de:

d = \frac{40}{57}.40
d 28,07km

Il reste donc \frac{17}{57}h avant que Paul et Josée se rencontrent. Quelle distance pourra parcourir la mouche dans ce laps de temps?

d = \frac{17}{57}.30
d 8,95km

La mouche aura donc parcouru, au total, 37,02 km (ou plus précisément \frac{2110}{57}km).

Posté par
J-P Posteur d'énigmes
re : La mouche**** 25-01-05 à 08:17

L'énigme est clôturée.

La réponse attendue était 263/7 km.
Les réponses arrondies ont été également acceptées.

Comme il n'était pas demandé d'expliquer la réponse, les réponses donnant une bonne solution mais avec l'un ou l'autre détail non correct dans la démonstration ont été aussi acceptées.
-----
La mouche volant plus vite que n'importe lequel des 2 cyclistes, en partant d'un des cyclistes, elle atteindra l'autre cycliste avant que les cyclistes se rejoignent.
Ceci est vrai pour chaque voyage de la mouche et donc le nombre d'aller-retour de la mouche entre les 2 cyclistes est infini. Il n'était cependant pas nécessaire de se lancer dans la détermination d'une série infinie pour trouver la solution.

Voir par exemple les solutions de manpower et LNb.

Une autre manière de faire pour éviter de calculer une série infinie est de calculer la vitesse moyenne de la mouche sur un "aller-retour" entre les 2 cyclistes, on trouve facilement que cette vitesse moyenne est indépendante de la distance entre les 2 cyclistes au moment du départ de "l'aller-retour", cette vitesse moyenne est de 263/7 km/h.
Comme le nombre d'aller-retour de la mouche entre les 2 cyclistes est infini mais que tous ces aller-retour sont effectués à la vitesse moyenne de 263/7 km/h, comme les 2 cyclistes se rencontrent après 1 h, la mouche a donc parcouru 263/7 km exactement.
-----


Posté par
H_aldnoer
re : La mouche**** 25-01-05 à 13:34

perdubon voila je reposte kan meme car jé eu de peti pb hier en  kan jé posté ma reponse : jé confondu le bouton apercu et le bouton poster
slt a tous les participant !!!
on pourra dire que cette enigme men aura fais voir de tte les couleurs j'espere ke jauré les smileys (enfin ne parlons pa tro vite)


voila comment jé procédé : jé tout dabor traduit lénoncé en formule mathématique, puis calculer les premiers point dont je remarqua que ce fut une suite ; pour trouver la distance parcouru par la mouche jé alors calculer la limtite de cette suite

tout d'abord sachant que Pierre roule a 23km/h et Virginie a 17km/h les 2 protagonistes se retrouveront au bout d'une heure ; la mouche aura donc parcouru une certaine distance en 1 heure.

la mouche effectue des allers retours entre Paul et Virginie a vitesse variable selon qu'elle aille vers Paul ou Virginie

- Tou d'abor la mouche va vers Virginie et on a t_1=x\times\frac{40}{1}+x\times\frac{17}{1}=40
autrement dit au bout de quelle temps x la mouche et Virginie se rencontre sachant ke la mouche vole a 40km/h, Virginie roule à 17km/h et une distance de 40 km separe les 2
en resolvant, on trouve x=\frac{40}{57}h
MOUCHE a alors parcouru M_1=40 \times \frac{40}{57} soit M_1= \frac{1600}{57}km
VIRGINIE a elle parcouru V_1=17 \times \frac{40}{57} soit V_1= \frac{680}{57}km
PAUL a lui parcouru P_1=23 \times \frac{40}{57} soit P_1= \frac{920}{57}km

- La mouche vole ensuite vers Paul et on a t_2=x\times\frac{30}{1}+x\times\frac{23}{1}=\frac{680}{57}
autrement dit au bout de quelle temps x la mouche et Paul se rencontre sachant ke la mouche vole a 30km/h, Paul roule à 23km/h et une distance de \frac{1600}{57}-\frac{920}{57}=\frac{680}{57}km separe les 2
en resolvant, on trouve x=\frac{680}{3021}h
MOUCHE a alors parcouru M_2=30 \times \frac{680}{3021} soit M_2= \frac{6800}{1007}km
PAUL a lui parcouru P_2=23 \times \frac{680}{3021} soit P_2= \frac{15640}{3021}km
VIRGINIE a elle parcouru V_2=17 \times \frac{680}{3021} soit V_2= \frac{11560}{3021}km

- Puis la mouche vole vers Virginie et on a t_3=x\times\frac{40}{1}+x\times\frac{17}{1}=\frac{8840}{3021}
autrement dit au bout de quelle temps x la mouche et Paul se rencontre sachant ke la mouche vole a 40km/h, Virginie roule à 17km/h et une distance de \frac{6800}{1007}-\frac{11560}{3021}=\frac{8840}{3021}km separe les 2
en resolvant, on trouve x=\frac{8840}{172197}h
MOUCHE a alors parcouru M_3=40 \times \frac{8840}{172197} soit M_3= \frac{353600}{172197}km
VIRGINIE a elle parcouru V_3=17 \times \frac{8840}{172197} soit V_3= \frac{1502280}{172197}km
PAUL a lui parcouru P_3=23 \times \frac{8840}{172197} soit P_3= \frac{203320}{172197}km

...il en est ainsi pour les n termes ; les deplacement de la mouche st alors la suite tel que :
U_n=M_1+(M_1+M_2)+(M_1+M_2+M_3)+...

M_1=\frac{1600}{57} \times \frac{221}{3021}^0
M_1+M_2=\frac{1600}{57} \times \frac{221}{3021}^0+\frac{6800}{1007} \times \frac{221}{3021}^0
M_1+M_2+M_3=\frac{1600}{57} (\frac{221}{3021}^0+\frac{221}{3021}^1)+\frac{6800}{1007} \times \frac{221}{3021}^0
M_1+M_2+M_3+M_4=\frac{1600}{57}(\frac{221}{3021}^0+\frac{221}{3021}^1)+\frac{6800}{1007} (\frac{221}{3021}^0+\frac{221}{3021}^1)
(...)

soit pour tous n\in\mathbb{N}, n pair on a :
U_n=\frac{1600}{57}((\frac{221}{3021}^{\frac{n}{2}})+(\frac{221}{3021}^{\frac{n}{2}-1})+...+(\frac{221}{3021}^0)) +\frac{6800}{1007}((\frac{221}{3021}^{\frac{n}{2}})+(\frac{221}{3021}^{\frac{n}{2}-1})+...+(\frac{221}{3021}^0))
U_n=((\frac{221}{3021}^{\frac{n}{2}})+(\frac{221}{3021}^{\frac{n}{2}-1})+...+(\frac{221}{3021}^0))(\frac{1600}{57}+\frac{6800}{1007})
U_n=\sum_{i=0}^{\frac{n}{2}}(\frac{1600}{57}+\frac{6800}{1007})  
U_n=\frac{x^{n+1}-1}{x-1}(\frac{1600}{57}+\frac{6800}{1007}) avec x=\frac{221}{3021}

soit en simplifiant, U_n=((\frac{221}{3021})^{\frac{n}{2}+1}-1)(\frac{-105200}{2800}) definie pour tout n pair
Ainsi U_2=M_1+M_2+M_3+M_4 , U_4=M_1+M_2+M_3+M_4+M_5+M_6,.....
la distance alors parcouru par la mouche est trouvé en faisant \lim_{n\to +\infty} U_n=((\frac{221}{3021})^{\frac{n}{2}+1}-1)(\frac{-105200}{2800})
soit U_n\approx37,5

Posté par
H_aldnoer
re : La mouche**** 25-01-05 à 13:39

perdu

Posté par
J-P Posteur d'énigmes
re : La mouche**** 25-01-05 à 13:52

C'est pas de chance H_aldnoer, l'effort aurait bien valu un smiley, d'autant plus que ta solution est correcte, même si comme tu as pu le voir, il y avait de bien plus courts chemins pour y arriver.

Ta solution enfin complète est venue alors que l'énigme était clôturée et donc les solutions de tous affichées et je ne peux donc t'accorder un smiley même si pour moi, moralement, tu le mérites.




Posté par
H_aldnoer
re : La mouche**** 25-01-05 à 13:56

perduoh vs savez je ne sui pa la pr faire de la competition c plus un amusement qu'une competition a vrai dire et meme si je né pa lé smiley limportant c de séclaté avec les math et votre site surtout ki é super continué et proposé ns donc de super enigme comme celle ci kon samuse un peu lol

Posté par EmGiPy (invité)re : La mouche**** 25-01-05 à 17:53

Comment faites vous pour traduire le code Fortran de PolyTechMars?

J'avoue que je ne connais pas Fortran

merci

Posté par
isisstruiss
re : La mouche**** 25-01-05 à 19:11

gagnéSalut EmGiPy!

Si PolyTechMars a eu son smiley c'est qu'il a donné la bonne réponse, pas parce qu'il s donné un code en Fortran 90! Tu veux traduire son code en quel language? Moi non plus je ne sais pas faire du Fortran, mais le code est tout à fait compréhensible.

Isis

Posté par xWiBxRaYmAn0o7x (invité)re : La mouche**** 25-01-05 à 19:28

perduSerait t'il quelqu'un m'explique ce qui cloche dans mon raisonnement ? je ne comprend pas pourquoi je n'arrive pas au resultat attendu ... ca sré cool paske ca me turlupine depuis tt a l'h lol En + comment ksa fé tache d'avoir repondu en premier é d'avoir 1 poisson loool

Posté par
J-P Posteur d'énigmes
re : La mouche**** 25-01-05 à 19:29

Isis, language c'est de l'anglais, en français il ne faut pas le U. (Je te taquine )

Cela dit, le Fortan est un langage antédiluvien, il vaut mieux utiliser par exemple le C ou à la rigueur le Pascal.


Posté par DivXworld (invité)re : La mouche**** 25-01-05 à 19:34

perduj'ai une question

la mouche va a 40km/h dans la direction Paul -> Virgine et a 30km/h dans l'autre direction et cela tout le temps?

si c'est la cas j'ai mal compris l'énoncé (moi je pensai qu'elle allait a 40km/h au 1er aller puis a 30km/h pedant tout le reste du trajet)

Posté par xWiBxRaYmAn0o7x (invité)re : La mouche**** 25-01-05 à 19:37

perduserieux c'est ca que dit l'enoncé DivXworld !!!!!!!!!!!!!
ah bah je comprend mieux pourquoi ma reponse n'est pas la bonne alors !!! mais c'est vrai que l'enoncé n'etait pas tres klair

Posté par
J-P Posteur d'énigmes
re : La mouche**** 25-01-05 à 19:41

Ton erreur xWiBxRaYmAn0o7x

Tu calcules le temps mouche -> Virginie.
Et ensuite tu dis que la mouche volera à 30 km/heure jusqu'à ce que les 2 cyclistes se rencontrent, mais c'est faux.

Lorsque la mouche atteint virginie, elle repart vers Paul mais comme elle vole plus vite que Virginie elle réatteint Paul avant que Virginie ne soit près de Paul.
Et donc la mouche repart de nouveau vers Virginie à 40 km/h ...

Et ainsi de suite, comme je l'ai expliqué dans mon intervention précédente, la mouche fait une infinité de va-et-vient entre les 2 cyclistes et donc vole alternativement à 40km/h et 30 km/h et pas en permanence à 30 km/h une fois qu'elle est passée pour la première fois près de Virginie.


Posté par
H_aldnoer
re : La mouche**** 25-01-05 à 19:55

perdueh ben dite moi !!!
on pourra dire ke la mouche né pa si difficile a attrapé avec tout ca

Posté par xWiBxRaYmAn0o7x (invité)re : La mouche**** 25-01-05 à 19:59

perdulol j'ai du poster avt que tu ne me repondes J-P
c'est effectivement une erreur de comprehension de l'enoncé :

arrivée près de Virginie, la mouche repart vers Paul mais cette fois à une vitesse de 30 km/h et toujours en ligne droite.
La mouche continue ainsi son va-et-vient entre les 2 cyclistes.

Pour moi continu son va et vient signifiai continue a 30km dorenavant ..

Posté par
isisstruiss
re : La mouche**** 25-01-05 à 20:00

gagnéJ'ai aussi longuement hésité entre l'option 40-30-30-30 etc et celle 40-30-40-30 etc. Puis comme le problème avait 4 étoiles, j'ai décidé de prendre l'option plus compliquée. Je suis donc d'accord que l'énoncé n'était pas tout à fait clair.

Puis pour les langages, je ne pense pas qu'il faut conseiller du Pascal à la place du Fortran. Il me semble que l'on ne construit plus de nouveaux compilateurs pour Pascal, ce qui tue le langage. (Dommage, c'était sympa ce Pascal!)

Fortran est certes très ancien, mais il est énormément utilisé, surtout à travers de de librairies de calcul parallélisant les calculs. Par exemple pour multiplier deux matrices en Matlab, la librairie BLAS est appelée, qui elle est programmée en Fortran.

Tout ceci pour dire que je ne suis pas de l'avis de J-P et que Fortran a plus d'avenir que Pascal.

Isis

Posté par
J-P Posteur d'énigmes
re : La mouche**** 25-01-05 à 20:03

C'est vrai qu'il est possible de l'interpréter ainsi.

C'est bien dur d'écrire un énoncé sans ambiguïté

J'aurai pu introduire la notion de vent, la mouche allant dans le sens du vent à 40 km/h et contre le vent à 30 km/h, si je réutilise cet énoncé dans le futur, j'essaierai d'y penser.


Posté par EmGiPy (invité)re : La mouche**** 25-01-05 à 20:21

Mais quel logiciel utilisez vous ou utilises tu PolytechMars pour traduire ton code??

Merci d'avance et desolé de ma pertinence

Posté par
J-P Posteur d'énigmes
re : La mouche**** 25-01-05 à 20:26

Le Fortran est apparu en 1956, ce qui en fait un langage antédiluvien pour l'informatique.

Il est spécialement bien adapté pour les utilisations  mathématiques.
Grâce à une énorme bibliothèque disponible, il reste encore utilisé mais il est de plus en plus détrôné, même pour des applications scientifiques, par les langages C et C++.

Le Pascal a été largement laissé de coté avec l'arrivée du langage C.

Je pense que le C, C++ est le langage actuel le plus répandu, ce qui ne signifie pas du tout que je le considère comme le meilleur, il y a même, je pense un sérieux retour en arrière par rapport au Pascal.

Pour moi, un langage de haut niveau doit être très proche de notre langage quotidien, alors que penser de choses telle que "For(i = 0; i < 10; i++)" ...
Si c'est proche du langage de tous les jours ...

Je n'aime pas le C mais il faut bien reconnaître qu'il est le plus largement utilisé actuellement et que les bibliothèques maintenant disponibles dans ce langage ont rejoint et même largement dépassé celles du Fortran (et le Fortan n'est pas mieux que le C du point de vue proximité du langage de tous les jours)

Les passages Basic ->  Pascal -> C s'expliquent, je pense, par le fait que les informaticiens préfèrent créer un nouveau langage plutôt que d'adapter un langage qui existe pour y inclure de nouvelles fonctionnalités, cela génère une quantité de travail incroyable et ainsi les informaticiens s'auto-génèrent du travail qui les rend indispensables, à chacun son truc.  





Posté par PolytechMars (invité)J-P (Correcteur) je m insurge!! 26-01-05 à 00:52

gagnéBonjour,
je tiens a renseigner tout d'abord les personnes de bon sens et peut etre qui sont capables de comprendre mon langage si celui n'est pas trop informatique ( c'est bon J-P (Correcteur) tu arrives encore a suivre). Donc EmGiPy un code source fortran peut etre execute avec Diigital Visual Fortran et comme pourra te le confirmer  isisstruiss, en tant que personne sensee, fortran est tres souvent utilisé.
Je ne suis pas un acharné de l'informatique mais je tenais tout de meme a preciser que meme en temps que """correcteur""" (ici les guillemets sont importants..) on se doit de respecter tout langage, surtout pour un langage aussi performant que fortran.

On ne peut pas juger quelque chose que l'on ne connait pas...

A bon entendeur, bonne reusiite..

Miaouw

Posté par
J-P Posteur d'énigmes
re : La mouche**** 26-01-05 à 08:15

Salut PolytechMars,

Désolé de te contredire mais j'utilisais déjà Fortran quand tu étais probablement encore en couche culotte. Il est vrai qu'il y a belle lurette que je l'ai abandonné au profit d'abord du Pascal et ensuite du C et enfin du C++ ou autres langages orientés objets Visual Basic par exemple. Je ne suis pas un pro de la programmation mais je suis loin d'être le néophyte que tu présumes.

Libre à toi de t'insurger contre mon opinion et je ne critique pas la qualité du langage Fortran mais je l'ai resitué là où je pense qu'il se trouve, par contre je me passe bien de tes sous-entendus ironiques à mon égard et je te prierai de t'en abstenir à l'avenir.


J'ai donné mon avis et je le conserve, libre à quiconque d'en avoir un autre et de l'exprimer.


Posté par PolytechMars (invité)Rectificatif pour J-P (Correcteur) 26-01-05 à 08:49

gagnéBonjour a toi,
tout d'abord chacun est libre d'avoir son opinion mais par contre je tiens a rectifier quand à l'apparition du Fortran, c'etait en 1957 et non 1956 comme le pretendait J-P (Correcteur).
Mais entre nous soit dit, je ne doute pas que j'etais en couche culotte quand tu utilisais fortran mais je ne vois pas en quoi ce genre de remarque fasse avancer le débat ! ! !
Je tiens a rappeler que de nouvelles versions Fortran sortent encore regulierement, ce qui prouvent bien l'efficacité de ce langage donc je pense que tu aurais plutot interet a savoir utiliser notre cher et tendre FORTRAN.

A bientot...

Miaouw

Posté par
J-P Posteur d'énigmes
re : La mouche**** 26-01-05 à 09:22

La naissance de Fortran est annoncée par certains en 1957 et cependant les premiers manuels datent de 1956.

Voir par exemple <A HREF="http://www.paulgraham.com/history.html">ICI</A>

Mais ceci n'a guère d'importance.



Posté par Emma (invité)re : La mouche**** 26-01-05 à 14:58



Fut un temps où la totalité des gens qui venaient sur l' le faisait pour aider ou demander de l'aide, échanger, partager...
Pas pour attaquer à la première occasion

Fut un temps où la totalité des gens qui venaient participer aux énigmes de l' le faisait pour s'amuser, de détendre, se surpasser...

Fut un temps où le fait d'être correcteur officiel de l' signifiait simplement que, compte tenu du nombre de réponses que l'on avait apportées pour aider les autres, les webmasters pensaient qu'il serait judicieux de proposer l'accès à des outils  plus pratiques pour rédiger nos réponses.

Bravo à ceux qui continuent à poster des énigmes (et donc à lire toutes les réponses parfois très longues (quoiqu'ils savent que je suis capable de bien pire ), et à attribuer poissons avariés et jolis smileys...

Merci à ceux qui disent 'merci'...

Et merci à ceux qui, comme  H_aldnoer et bien d'autres, arrivent à relativiser leur 'échec' à une énigme en se rappelant de l'état d'esprit dans lequel ils étaient lorsqu'ils ont décidé de participer à cette série d'énigmes...

@+
Emma

Posté par
H_aldnoer
re : La mouche**** 26-01-05 à 16:34

perduDans la vie, il y a des hauts et des bas !! Parce que parfois on se trouve au sommet au a besoin de quelqu'un pour nous dire ou nous arréter (merci Emma ..) et parce que parfois on se trouve au plus bas on a besoin d'un peu d'aide, ne serait ce qu'une petite qu'explication (merci a l'ile ). Et c'est dans ce contexte que chemin faisant on en oublie parfois les choses simple qui rende possible la vie en societé...
Alors, pour que la vie puisse continuer a etre vecu de la sorte il fo des personnes capable de garder la tete froide  et nous rappelé a l'ordre
Pour cela Emma je te felicite et invite ce qui se sont echoués sur l'ile des mathématiques a prendre en considération ta parole ...
A bon entendeur ...

Posté par Emma (invité)re : La mouche**** 26-01-05 à 23:42

Merci H_aldnoer...
Et encore bravo pour être allé jusqu'au bout de ton raisonnement, même s'il était trop tard pour le La mouche

Emma
ça fait plaisir d'être soutenue même quand on pète un peu les plombs

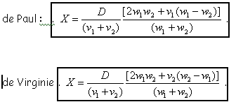
Posté par philoux (invité)Question sur l énigme LA MOUCHE 27-01-05 à 11:48


Bonjour,
J'ai cherché à exprimer la distance X en fonction de :
• v1 la vitesse de Paul orientée de Paul vers Virginie (ici 23 km/h),
• v2 la vitesse de Virginie orientée de Virginie vers Paul (ici 17 km/h),
• w1 la vitesse « aller » de la mouche orientée de Paul vers Virginie (ici 40 km/h),
• w2 la vitesse « retour » de la mouche orientée de Virginie vers Paul (ici 30 km/h).
• D la distance Paul-Virginie (ici 40 km).
J'ai indiqué, en image jointe, l'expression trouvée (1ère ligne).
Q1 : Pouvez-vous m'expliquer pourquoi le cas où la mouche va moins vite que Paul, on ne trouve pas la distance 23 km ?
Q2 : idem, j'ai cherché à savoir quelle serait l'expression si la mouche, cette fois, partait de Virginie et j'ai trouvé une seconde expression. Pouvez vous me confirmer cette valeur ?

Merci à l'avance

Philoux
Merci




Question sur l énigme LA MOUCHE

Posté par
J-P Posteur d'énigmes
re : La mouche**** 27-01-05 à 13:26

Salut philoux

La formule de la première ligne est correcte.

Remarque, il ne faut surtout pas se casser la tête pour recalculer la seconde formule.

Il suffit de dire que :
v1 est la vitesse du cycliste A, (celui d'où la mouche part au début de l'exercice).
v2 est la vitesse de l'autre cycliste, soit le cycliste B.
w1 est la vitesse de la mouche dans le sens de A -> B
w2 est la vitesse de la mouche dans le sens de B -> A

Tous les cas sont alors couverts par la formule de la première ligne.
-----
La formule 1 est assortie de conditions d'existence.
Pour y arriver, dans les équations maniplulées, il faut que les distances et les temps soient positifs.

En tenant compte de ces conditions d'existence, la formule trouvée n'est valable que si la vitesse de la mouche est supérieure à la vitesse du cycliste dont elle est sensée s'éloigner.

Donc la formule n'est valable que si la vitesse de la mouche est > que celle de Paul quand la mouche va de Paul vers Virginie ET si la vitesse de la mouche est > que celle de Virginie quand la mouche va de Virginie vers Paul.

La plupart des problèmes physiques imposent des conditions aux équations qu'on établit, il faut arriver à trouver ces conditions et en tenir compte sous peine d'arriver à de fausses conclusions.
-----

1 2 +


Challenge (énigme mathématique) terminé .
Nombre de participations : 0
:)0,00 %0,00 %:(
0 0

Temps de réponse moyen : 33:21:07.


Vous devez être membre accéder à ce service...

Pas encore inscrit ?

1 compte par personne, multi-compte interdit !

Ou identifiez-vous :


Rester sur la page

Désolé, votre version d'Internet Explorer est plus que périmée ! Merci de le mettre à jour ou de télécharger Firefox ou Google Chrome pour utiliser le site. Votre ordinateur vous remerciera !