Bonjour
Je n'ai pas très bien compris la deuxième partie de cet exercice. Voici l'énoncé :
"On donne les points du plan : A (−3;2), B (−2;−2), C (2;−1) et D(1;3)
→ →
1. Calculer ||AC|| et || BD|| à l'aide d'un produit scalaire:
(Ici j'ai fais
u2=
2 soit AC= √34 et de même pour BD=√34 )

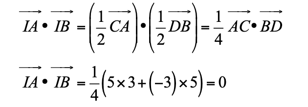
Que AB et DC on le même milieu et que par conséquence, je peux faire le produit scalaire des vecteurs IA et IB.
Je remarque que le produit scalaire est nulle donc les segments IA et IB sont perpendiculaire.
Soit ABCD qui a deux diagonales qui se coupent perpendiculairement en leurs milieu: Conclusion ABCD est un carré?

Merci beaucoup et je m'excuse pour les réponses aussi tardives.
Cela n'est plus sur l'exercice mais y a t'il un bon moyen d'écrire les vecteurs dans mes messages et si oui lequel (je ne suis pas encore très familier avec le forum).
Merci d'avance
Bonsoir
tu peux essayer d'utiliser le Ltx avec l'éditeur qui est assez intuitif
voici une page qui te donne les premières commandes
[lien],mais avec l'éditeur ce sera plus simple

Vous devez être membre accéder à ce service...
Pas encore inscrit ?
1 compte par personne, multi-compte interdit !
Ou identifiez-vous :