Inscription / Connexion Nouveau Sujet
Niveau Reprise d'études
Partager :

resoudre l'equation

Posté par
eddy2017
22-06-23 à 22:47

Salut,
J'ai cette équation à simplifier

x^3(x-1)^2(2+x)(2-x)
Je sais que je dois simplifier la parenthèse avec des exposants dans ce cas

x^3(x^2-2x+1)(2+x)(2-x)
j suis bloqué ici
Merci d'avance pour tout conseil


.

Posté par
Leile
re : resoudre l'equation 22-06-23 à 22:49

bonjour,

ton énoncé n'est pas une équation : il manque    =   quelque chose.

Posté par
eddy2017
re : resoudre l'equation 22-06-23 à 22:52

desolé.
simplifier l'expression algébrique.

Posté par
eddy2017
re : resoudre l'equation 22-06-23 à 22:53

je ne sais pas comment modifier le enoncé.

Posté par
Leile
re : resoudre l'equation 22-06-23 à 22:57

tu ne peux pas modifier l'énoncé.

simplifier  
x^3(x-1)^2(2+x)(2-x)    c'est ça ?
c'est bizarre...  

que peux  tu écrire à la place de (2+x)(2-x)  ?

Posté par
eddy2017
re : resoudre l'equation 22-06-23 à 23:01

x^3(x^2-2x+1)(2x)(-2x)

Posté par
Leile
re : resoudre l'equation 22-06-23 à 23:03

non, tu te trompes.

tu connais l'identité remarquable    a² - b²   =   (a-b)(a+b), n'est ce pas ?

Posté par
eddy2017
re : resoudre l'equation 22-06-23 à 23:04

Je l'ai mis dans un solveur mais il y a quelques étapes que je ne comprends pas.
Tu veux que je te donne ce que le solveur a donné ?

Posté par
eddy2017
re : resoudre l'equation 22-06-23 à 23:07

je pense que 'cest identite # 2
Identité II: (a - b)^2 = a2 - 2ab + b2

Posté par
eddy2017
re : resoudre l'equation 22-06-23 à 23:09

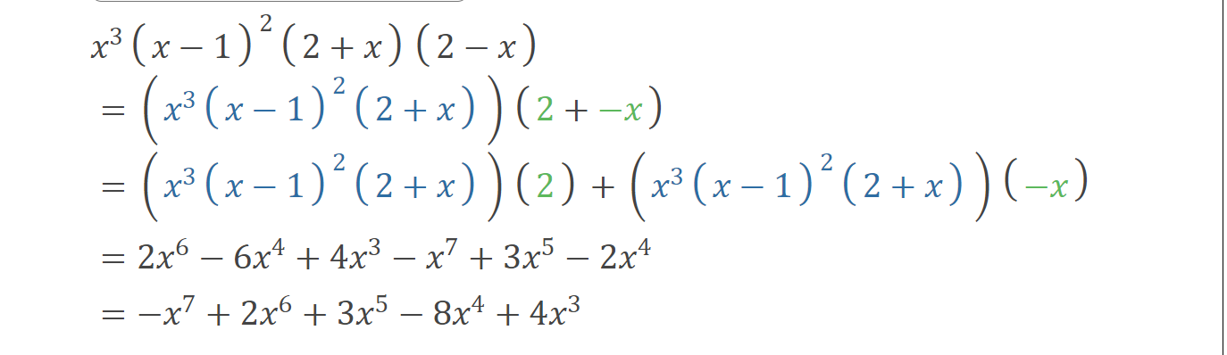
voici ce que le solveur m'a donné. Je ne comprends pas la dernière partie

resoudre l\'equation

Posté par
eddy2017
re : resoudre l'equation 22-06-23 à 23:10

[porquoi 2x^6 and 6x^4
Comment puis-je l'obtenir ?

Posté par
eddy2017
re : resoudre l'equation 22-06-23 à 23:14

J'ai essayé de répartir les 2 dans la première partie de la expression, mais je n'obtiens pas 2x^6.

Posté par
eddy2017
re : resoudre l'equation 22-06-23 à 23:15

Oh, je devrais peut-être distribuer x^3 d'abord

Posté par
Leile
re : resoudre l'equation 22-06-23 à 23:21

le solveur te donne l'expression développée.

Ca n'est pas la question, je crois.
La question est "simplifier"   pour moi, la forme la plus simple est la forme factorisée.

  (a-b)(a+b) =   a²  -  b²
(2 -x ) (2 + x) = (4  -  x²)  
ainsi l'expression s'écrit
x3 (x-1)² (4-x²)  

si tu veux la développer  (ce qui ne donne pas du tout une expression simplifiée, mais bon...).
x3 (x-1)² (4-x²)  
= x3 (x²-2x+1)² (4-x²)
= x3 (4x² - x4-8x + 2x3+4- x²)
= x3 (-x4 + 2x3+3x² + 4)

et si tu distribues x3, tu retrouves ce que le solveur te donne..


  

Posté par
eddy2017
re : resoudre l'equation 22-06-23 à 23:35

Je pense que c'est ce qu'il faut faire. Je distribuais le 2 à la fin au lieu du x^3.
Merci, je vais y travailler et si je trouve des obstacles, je te le ferai savoir.

merci beaucoup!.

Posté par
Leile
re : resoudre l'equation 22-06-23 à 23:41

je t'en prie !

Posté par
eddy2017
re : resoudre l'equation 23-06-23 à 00:01

J'ai un doute.
Pourquoi tu gardes l'exposant dans une expression que nous avons déjà simplifiée.
x²-2x+1 n'est-il pas le résultat que j'ai simplifié à partir de (x-1)^2?.
Je vois que t'as laissé l'exposant 2.
Est-ce qu'il y a une raison de le laisser élevé à la deuxième puissance ?

Posté par
Leile
re : resoudre l'equation 23-06-23 à 00:14

je ne te suis pas...

factorisée,  l'expression est  x3 (x-1)² (4-x²)    

x²-2x+1 n'est-il pas le résultat que j'ai simplifié développé à partir de (x-1)^2?   :   OUI.   x²-2x+1   est   développé.
Quand j'ai développé, j'ai bien écrit   x²-2x +1 ....

tu parles de "simplifier" : remarque plutôt que l'expression est soit factorisée, soit développée.

OK ?



Vous devez être membre accéder à ce service...

Pas encore inscrit ?

1 compte par personne, multi-compte interdit !

Ou identifiez-vous :


Rester sur la page

Inscription gratuite

Fiches en rapport

parmi 1760 fiches de maths

Désolé, votre version d'Internet Explorer est plus que périmée ! Merci de le mettre à jour ou de télécharger Firefox ou Google Chrome pour utiliser le site. Votre ordinateur vous remerciera !