Fiche de mathématiques
> >

Inéquations

Partager :

exercice 1

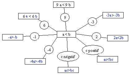
Les nombres a et b sont multipliés, dans chaque cas, par le nombre entouré.
Compléter l'étoile.
3 exercices de rappels sur les inéquations, puis équations de droites - troisième : image 2




exercice 2

Résoudre les systèmes d'inéquations suivants : ( Représenter l'ensemble des solutions )
\left \lbrace \begin{array}{c} 0 \leq 4x+8 \\ 3x + 2 \leq 5 \\ \end{array} \right.

\left \lbrace \begin{array}{c} 2x - 8 \geq 5x - 17 \\ 3x + 17 \geq -3x - 7 \\ \end{array} \right.

\left \lbrace \begin{array}{c} 6 + x \geq 2x + 1 \\ 2 \leq 7x + 2 \\ \end{array} \right.

\left \lbrace \begin{array}{c} 7x - 11 \leq 9 (x-1) \\ -x + 1 \leq 3 \\ \end{array} \right.




Equations de droites

Partager :



exercice 3

Les points suivants sont-ils sur la droite d'équation y = 2x - 3. Justifier.
A(2 ; 1)
B(3 ; 4)
C(-1 ; -5)



exercice 4

Les équations de droites suivantes sont-elles des équations de la droite passant par A(2 ; 1) et B(5 ; 3). Justifier.
(1) y = \dfrac{1}{3}x + \dfrac{1}{3}
(2) y = \dfrac{2}{3}x - \dfrac{1}{3}



exercice 1

3 exercices de rappels sur les inéquations, puis équations de droites - troisième : image 5




exercice 2

\left \lbrace \begin{array}{c} 0 \leq 4x+8 \\ 3x + 2 \leq 5 \\ \end{array} \right.

\left \lbrace \begin{array}{c} 4x \geq -8 \\ 3x \leq 5 -2 \\ \end{array} \right.

\left \lbrace \begin{array}{c} x \geq \dfrac{-8}{4} \\ x \leq \dfrac{3}{3} \\ \end{array} \right.

\left \lbrace \begin{array}{c} x \geq -2 \\ x \leq 1 \\ \end{array} \right.
3 exercices de rappels sur les inéquations, puis équations de droites - troisième : image 6



\left \lbrace \begin{array}{c} 2x - 8 \geq 5x - 17 \\ 3x + 17 \geq -3x - 7 \\ \end{array} \right.

\left \lbrace \begin{array}{c} 2x - 5x \geq -17 + 8 \\ 3x + 3x \geq -7 - 17 \\ \end{array} \right.

\left \lbrace \begin{array}{c} -3x \geq -9 \\ 6x \geq -24 \\ \end{array} \right.

\left \lbrace \begin{array}{c} x \leq 3 \\ x \geq -4 \\ \end{array} \right.


\left \lbrace \begin{array}{c} 6 + x \geq 2x + 1 \\ 2 \leq 7x + 2 \\ \end{array} \right.

\left \lbrace \begin{array}{c} x - 2x \geq  1 - 6 \\ -7x \leq 2 - 2 \\ \end{array} \right.

\left \lbrace \begin{array}{c} -x \geq  -5 \\ -7x \leq 0 \\ \end{array} \right.

\left \lbrace \begin{array}{c} x \leq  5 \\ x \geq 0 \\ \end{array} \right.


\left \lbrace \begin{array}{c} 7x - 11 \leq 9 (x-1) \\ -x + 1 \leq 3 \\ \end{array} \right.

\left \lbrace \begin{array}{c} 7x - 9x \leq -9 + 11 \\ -x \leq 3 - 1 \\ \end{array} \right.

\left \lbrace \begin{array}{c} -2x \leq 2 \\ -x \leq 2 \\ \end{array} \right.

\left \lbrace \begin{array}{c} x \geq -1 \\ x \geq -2 \\ \end{array} \right.



exercice 3

A(2 ; 1)
yA = 1
2xA - 3 = 2×2 - 3 = 4 - 3 = 1
yA = 2xA - 3, le point A appartient donc à la droite d'équation y = 2x -3

B(3 ; 4)
yB = 4
2xB - 3 = 2×3 - 3 = 6 - 3 = 3
yB \neq 2xB - 3, le point B n'appartient donc pas à la droite d'équation y = 2x -3

C(-1 ; -5)
yC = -5
2xC - 3 = 2×(-1) - 3 = -2 - 3 = -5
yC = 2xC - 3, le point C appartient donc à la droite d'équation y = 2x -3



exercice 4

Calculons l'ordonnée du point d'abscisse 2 situé sur la droite d'équation y = \dfrac{1}{3} x + \dfrac{1}{3} :
y = \dfrac{1}{3} \time 2 + \dfrac{1}{3} = \dfrac{2}{3} + \dfrac{1}{3} = 1
La droite d'équation y = \dfrac{1}{3} x + \dfrac{1}{3} passe donc par le point A(2 ; 1).
Calculons l'ordonnée du point d'abscisse 5 situé sur la droite d'équation y = \dfrac{1}{3} x + \dfrac{1}{3} :
y = \dfrac{1}{3} \time 5 + \dfrac{1}{3} = \dfrac{5}{3} + \dfrac{1}{3} = 2
La droite d'équation y = \dfrac{1}{3} x + \dfrac{1}{3} ne passe donc par le point B(5 ; 3).
La droite d'équation y = \dfrac{1}{3} x + \dfrac{1}{3} n'est pas l'équation de la droite (AB).

Calculons l'ordonnée du point d'abscisse 2 situé sur la droite d'équation y = \dfrac{2}{3} x - \dfrac{1}{3} :
y = \dfrac{2}{3} \time 2 - \dfrac{1}{3} = \dfrac{4}{3} - \dfrac{1}{3} = 1
La droite d'équation y = \dfrac{2}{3} x - \dfrac{1}{3} passe donc par le point A(2 ; 1).
Calculons l'ordonnée du point d'abscisse 5 situé sur la droite d'équation y = \dfrac{2}{3} x - \dfrac{1}{3} :
y = \dfrac{2}{3} \time 5 - \dfrac{1}{3} = \dfrac{10}3 - \dfrac{1}{3} = 3
La droite d'équation y = \dfrac{2}{3} x - \dfrac{1}{3} passe donc par aussi par le point B(5 ; 3).
La droite d'équation y = \dfrac{2}{3} x - \dfrac{1}{3} est l'équation de la droite (AB).
Publié le
ceci n'est qu'un extrait
Pour visualiser la totalité des cours vous devez vous inscrire / connecter (GRATUIT)
Inscription Gratuite se connecter


Vous devez être membre accéder à ce service...

Pas encore inscrit ?

1 compte par personne, multi-compte interdit !

Ou identifiez-vous :


Rester sur la page

Inscription gratuite

Fiches en rapport

parmi 1768 fiches de maths

Désolé, votre version d'Internet Explorer est plus que périmée ! Merci de le mettre à jour ou de télécharger Firefox ou Google Chrome pour utiliser le site. Votre ordinateur vous remerciera !