Fiche de mathématiques
> >

Baccalauréat Économique et Social
Antilles Guyane - Session Juin 2006

Partager :
Pour les candidats n'ayant pas suivi l'enseignement de spécialité :
Durée de l'épreuve : 3 heures - Coefficient 5
Pour les candidats ayant suivi l'enseignement de spécialité :
Durée de l'épreuve : 3 heures - Coefficient 7


L'utilisation d'une calculatrice est autorisée.
Le sujet est composé de 4 exercices indépendants.
Le candidat est invité à faire figurer sur la copie toute trace de recherche, même incomplète ou non fructueuse, qu'il aura développée.
Il est rappelé que la qualité de la rédaction, la clarté et la précision des raisonnements entreront pour une part importante dans l'appréciation des copies.
5 points

exercice 1 - Commun à tous les candidats

Le conservatoire du littoral créé en 1976 acquiert des terrains sur le littoral français (métropole, Antilles-Guyane). Voici les superficies en milliers d'hectares du patrimoine cumulé depuis sa création :
Année197619811986199119962001
Rang x_{i}123456
Superficie y_{i}
(en milliers d'hectares)
21628385065

1. Calculer le pourcentage d'augmentation de la superficie possédée par le conservatoire du littoral entre 1991 et 2001. On donnera le résultat arrondi à l'unité.

2. Représenter le nuage de points associé à la série \left(x_{i}~;~y_{i}\right) dans un repère orthogonal :
    Sur l'axe des abscisses, on prendra 2 cm pour unité ;
    Sur l'axe des ordonnées, on prendra 1 cm pour 5 milliers d'hectares.

3. Dans cette question, les calculs effectués à la calculatrice ne seront pas justifiés.
Le nuage de points permet de penser qu'un ajustement affine est justifié.
    a) Donner une équation de la droite de régression D de y en x, obtenue par la méthode des moindres carrés (arrondir les coefficients au dixième).
    b) Représenter cette droite dans le repère précédent.

4. Avec cet ajustement, calculer l'estimation de la superficie du patrimoine possédé par le conservatoire du littoral en 2006 (en milliers d'hectares).

5. a) Le conservatoire du littoral a pour objectif de posséder une superficie de 200 milliers d'hectares. En quelle année ce chiffre sera-t-il atteint en utilisant cet ajustement ?
    b) Sachant que 200 milliers d'hectares représentent 22 % de bande côtière française, quelle est la superficie totale, en hectares de la bande côtière française ?


5 points

exercice 2 - Pour les candidats n'ayant pas suivi l'enseignement de spécialité

Tous les résultats seront arrondis au millième si nécessaire.
Dans une auto-école, il y a deux filières possibles : l'apprentissage anticipé de la conduite (AAC) et la filière traditionnelle.
Afin d'inciter les candidats à préparer l'examen du permis de conduire avec la filière « apprentissage anticipé de la conduite » (AAC), une auto-école fournit les résultats suivants aux futurs candidats :
    Il y a 40 % des candidats qui choisissent la formule AAC ;
    Un candidat préparant son permis la filière AAC obtient son permis lors de la première présentation dans 79 % des cas ;
    Un candidat préparant son permis avec la filière traditionnelle obtient son permis lors de la première présentation dans 49 % des cas.

On interroge au hasard un candidat après l'obtention du résultat de sa première présentation.
On note A l'évènement : « le candidat a préparé son examen avec la filière AAC ».
On note S l'évènement : « le candidat a obtenu son permis de conduire ».

1. Traduire les données par un arbre pondéré.

2. a) Calculer la probabilité de l'évènement : « le candidat a obtenu le permis lors de la première présentation et il l'a préparé avec la filière AAC ».
    b) Calculer la probabilité d'obtenir le permis de conduire lors de la première présentation.

3. Le candidat interrogé a échoué lors de la première présentation. Quelle est la probabilité qu'il ait préparé l'examen avec la filière AAC ?

4. On interroge au hasard et de façon indépendante trois candidats après l'obtention du résultat de leur première présentation.
Calculer la probabilité d'interroger au moins un candidat ayant échoué.

5. Cette auto-école pratique les tarifs suivants :
    1200 € le forfait 20 heures avec la filière AAC ;
    1050 € le forfait 20 heures avec la filière traditionnelle.
Sachant que le nombre d'inscrits est de 200 candidats pour l'année, quel est le chiffre d'affaires annuel de cette auto-école pour l'année 2006 ?


5 points

exercice 2 - Pour les candidats ayant suivi l'enseignement de spécialité

Un jardinier doit décorer un jardin privatif en répartissant 10 variétés de fleurs notées V1 à V10 dans différents parterres. Certaines de ces variétés ne peuvent pas être plantées ensemble pour des raisons diverses (tailles, couleurs, conditions climatiques, ...) et ces incompatibilités sont résumées dans le tableau ci-dessous (une croix indique qu'il y a incompatibilité entre deux variétés).
FleurV1V2V3V4V5V6V7V8V9V10
V1  \times  \times   \times
V2  \times\times\times  \times  
V3\times\times \times \times    
V4 \times\times \times  \times\times 
V5 \times \times  \times\times  
V6\times \times   \times   
V7    \times\times    
V8 \times \times\times     
V9   \times     \times
V10\times       \times 

1. Représenter par son graphe G la situation.

2. a) Trouver un sous-graphe complet d'ordre 4 et le dessiner.
    b) Que peut-on en déduire pour la coloration du graphe G ? Quel est le nombre minimum de parterres que le jardinier doit décorer ?

3. a) Classer les sommets de G par ordre de degré décroissant.
    b) En déduire un encadrement de C, nombre chromatique de G.

4. a) Procéder à la coloration du graphe G.
    b) Que peut-on en déduire pour le nombre C ? Justifier avec soin.
    c) Proposer un ensemble de parterres avec une répartition adaptée des variétés de fleurs.


4 points

exercice 3 - Commun à tous les candidats

Cet exercice est un questionnaire à choix multiples. Pour chacune des huit questions, trois réponses sont proposées, une seule de ces réponses convient.
Indiquer sur votre copie le numéro de la question et recopier la réponse que vous jugez convenir, sans justifier votre choix.
Barème : Une réponse exacte rapporte 0,5 point. Une réponse inexacte enlève 0,25 point. Une question sans réponse ne rapporte ni n'enlève aucun point. Si le total des points est négatif la note attribuée à l'exercice est ramenée à 0.

1. Parmi les propositions suivantes, quelle est celle qui permet d'affirmer que la fonction exponentielle admet pour asymptote la droite d'équation y = 0 ?
    \displaystyle\lim_{x \to +\infty} \text{e}^x = + \infty
    \displaystyle\lim_{x \to -\infty} \text{e}^x = 0
    \displaystyle\lim_{x \to +\infty} \dfrac{\text{e}^x}{x} = + \infty

2. Parmi les propositions suivantes, quelle est celle qui permet d'affirmer que l'inéquation \ln (2x + 1) \geqslant \ln (x + 3) admet l'intervalle [2~;~+\infty[ comme ensemble de solution ?
    la fonction ln est positive sur [1~;~+\infty[
   \displaystyle\lim_{x \to +\infty} \ln x = + \infty
   la fonction ln est croissante sur ]0~;~+\infty[

3. Parmi les propositions suivantes quelle est celle qui permet d'affirmer qu'une primitive de la fonction f définie sur \mathbb{R} par x \mapsto (x + 1)\text{e}^x est la fonction g~:~x~ \mapsto~ x~ \text{e}^x ?
    pour tout réel x,~f'(x) = g(x)
    pour tout réel x,~g'(x) = f(x)
   pour tout réel x,~g(x) = f'(x) + k,~k réel quelconque.

4. L'équation 2\text{e}^{2x} - 3\text{e}^x + 1 = 0 admet pour ensemble solution :
    \left \lbrace \dfrac{1}{2}~ ;~1 \right \rbrace
    \left \lbrace 0~;~\ln \dfrac{1}{2} \right \rbrace
    \lbrace 0~;~\ln 2 \rbrace

5. Pour tout n \in \mathbb{N} :
    \displaystyle \lim_{x \to +\infty} \dfrac{\text{e}^x}{x^n} = 1
    \displaystyle\lim_{x \to +\infty} \dfrac{\text{e}^x}{x^n} = + \infty
    \displaystyle\lim_{x \to +\infty} \dfrac{\text{e}^x}{x^n} = 0

6. Soit f la fonction définie sur ]0~;~+\infty[ par f(x) = 2\ln x - 3x + 4. Dans un repère, une équation de la tangente à la courbe représentative de f au point d'abscisse 1 est :
    y = - x + 2
    y = x + 2
    y = - x - 2

7. La valeur moyenne sur [1 ; 3] de la fonction f définie par : f(x) = x^2 + 2x est :
    \dfrac{50}{3}
    \dfrac{25}{3}
    6

8. \text{exp}(\ln x) = x pour tout x appartenant à :
    \mathbb{R}
    ]0~;~+ \infty[
    [0~ ;~+\infty[


6 points

exercice 4 - Commun à tous les candidats

Une nouvelle console de jeux est mise sur le marché. Soit x le prix unitaire en centaines d'euros de cette console. La fonction d'offre des fournisseurs (en milliers de console) est la fonction f définie sur ]0 ; 6] par :     f(x) = 0,7 \text{e}^{0,5x+2}     où f(x) est la quantité proposée par les fournisseurs pour un prix unitaire de x.
La fonction de demande des consommateurs (en milliers de console) est la fonction g définie sur ]0 ; 6] par :     g(x) = 10 \ln \left(\dfrac{20}{x}\right)     où g(x) est la quantité demandée par les consommateurs pour un prix unitaire de x.

1. Les courbes représentatives \mathcal{C}_{f} et \mathcal{C}_{g} des fonctions f et g sont tracées dans le repère (O ; \vec{i},\vec{j}) orthogonal fourni ci-dessous.
bac ES obligatoire et spécialité Antilles Guyane juin 2006 - terminale : image 1

    a) Identifier les courbes \mathcal{C}_{f} et \mathcal{C}_{g}. Expliquez votre choix.
    b) Que représente le point A d'un point de vue économique ? Lire ses coordonnées \left(x_{0}~ ;~y_{0}\right) sur le graphique.

2. Pour déterminer les coordonnées de A de façon précise, on est amené à résoudre l'équation f(x) = g(x).
On pose, pour tout x appartenant à ]0 ; 6], h(x) = f(x) - g(x).
    a) Montrer que h'(x) = 0,35\text{e}^{0,5x + 2} + \dfrac{10}{x}.
    b) Étudier le signe de la dérivée h' et en déduire le sens de variations de h.
    c) Démontrer que l'équation h(x) = 0 admet une solution unique x_{0} sur l'intervalle [2 ; 3].
Déterminer alors la valeur arrondie au dixième de x_{0} à l'aide de la calculatrice.
    d) En déduire le prix unitaire d'équilibre de cette console en euros et le nombre de consoles disponibles à ce prix (arrondir à la centaine).

La question 3 est indépendante de la question 2.
3. Surplus des fournisseurs
On prendra dans cette question x_{0} = 2,7 et y_{0} = 20.
    a) Déterminer une primitive F de f sur l'intervalle ]0 ; 6].
    b) On appelle surplus des fournisseurs le nombre S =  x_{0}y_{0} - \displaystyle \int_{0}^{x_{0}} f(x) \: \text{d}x.
Ce nombre représente une aire.
Représenter cette aire sur le graphique ci-dessus.
Calculer S.





exercice 1 - Commun à tous les candidats

1. En 1991, on a 38 milliers d'hectares, en 2001, on a 65 milliers d'hectares. Or \dfrac{65-38}{38}\approx 0,71

On a une augmentation de 71 % de la superficie entre 1991 et 2001.


2. Voir figure 3. b)

3. a) Une équation de la droite de régression D de y en x, obtenue par la méthode des moindres carrés est \boxed{y=12,2x - 9,5} (coefficients arrondis au dixième)

3. b)
bac ES obligatoire et spécialité Antilles Guyane juin 2006 - terminale : image 2


4. L'année 2006 correspond au rang 7 d'où : y = 12,2 \times 7 - 9,5 = 75,9

On peut estimer à 75,9 milliers d'hectares le patrimoine du conservatoire en 2006.


5. a) On résout l'équation y = 200
y = 200 \Longleftrightarrow 12,2x - 9,5= 200 \Longleftrightarrow x=\dfrac{209,5}{12,2}
Or, on a \dfrac{209,5}{12,2}\approx 17,17
Le rang 17 correspond à l'année 2056, la fraction 0,17 correspond à 0,17 \times 5 \times 12 soit 10,2 mois. On atteindra le seuil de 200 milliers d'hectares en 2057.

On atteindra le seuil des 200 milliers d'hectares en 2057.


5. b) Soit x le nombre de milliers d'hectares du littoral, on a x \times \dfrac{22}{100} = 200, d'où x=\dfrac{200\times 100}{22}\approx \boxed{909,091}
Conclusion :
La bande côtière est donc de 909 091 hectares.





exercice 2 - Pour les candidats n'ayant pas suivi l'enseignement de spécialité

1.
40 % des candidats choisissent la formule AAC d'où P(A)=0,4 et donc P(\overline{A})=0,6
Un candidat préparant son permis la filière AAC obtient son permis lors de la première présentation dans 79 % des cas d'où P_A(S)=0,79 et donc P_A(\overline{S})=0,21
Un candidat préparant son permis avec la filière traditionnelle obtient son permis lors de la première présentation dans 49 % des cas d'où P_{\bar{A}}(S)=0,49 et donc P_{\bar{A}}(\overline{S})=0,51
Conclusion :
bac ES obligatoire et spécialité Antilles Guyane juin 2006 - terminale : image 5


2. a) P(A\cap S)=P_A(S)\times P(A) = 0,79 \times 0,4 = \boxed{0,316}

2. b) D'après la formule des probabilités totales : P(S)=P(S\cap A)+P(S\cap\bar{A})
Donc : P(S)=P(S\cap A)+P(S\cap\bar{A})=P(A\cap S)+P_{\bar{A}}(S) P(\bar{A})=P(A\cap S)+P_{\bar{A}}(S) \left(1-P(A)\right) = 0,316 + 0,49 \times 0,6 = \boxed{0,61}

3. La probabilité demandée est : P_{\bar{S}}(A)=\dfrac{P(A\cap\bar{S})}{P(\bar{S})}=\dfrac{P_A(\bar{S})\times P(A)}{1-P(S)}=\dfrac{\left(1-P_A(S)\right)\times P(A)}{1-P(S)}=\dfrac{(1-0,79)\times 0,4}{1 - 0,61}=\boxed{0,215}
4. Interroger au hasard et de façon indépendante trois candidats après l'obtention du résultat de leur première présentation, est la répétition de trois épreuves de Bernoulli, identiques et indépendantes. La loi de probabilité associée au nombre de candidats qui ont réussi est une loi binomiale de paramètres 3 et 0,61.
L'évènement "au moins un des trois candidats a échoué" est l'évènement contraire de l'évènement "les trois candidats ont réussi".
Or la probabilité d'obtenir trois succès consécutifs est égale à : P(S)^3=(0,61)^3
La probabilité d'interroger au moins un candidat ayant échoué est donc : p=1-(0,61)^3\approx \boxed{0,773}

5. Il y a 40 % des candidats qui choisissent la formule AAC par conséquent, le chiffre d'affaires est de :
(1200 × 0,40 + 1050 × 0,60) × 200 = 222 000 euros





exercice 2 - Pour les candidats ayant suivi l'enseignement de spécialité

1.
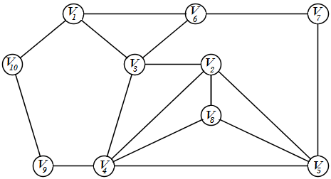
bac ES obligatoire et spécialité Antilles Guyane juin 2006 - terminale : image 7


2. a) V_2, V_4, V_5, V_8 est un un sous-graphe complet d'ordre 4.
bac ES obligatoire et spécialité Antilles Guyane juin 2006 - terminale : image 6


2. b) Le graphe admet un sous graphe complet d'ordre 4, son nombre chromatique est donc supérieur ou égal à 4 (C\ge 4).
Le jardinier devra donc décorer au moins 4 parterres.


3. a) Par ordre décroissant : \black V_4 (\red{5}\black) > V_2(\red{4}\black) \text{ , }V_3(\red{4}\black) \text{ , } V_5(\red{4}\black) > V_1(\red{3}\black) \text{ , } V_6(\red{3}\black)\text{ , }  V_8(\red{3}\black) > 	 V_7(\red 3\black) \text{ , } V_9(\red 3\black ) \text{ , }  V_{10}(\red 3 \black)

3. b) Le plus grand des degrés des sommets est 5 alors, le nombre chromatique C\le 5, on en déduit :
\boxed{ 4\le C \le 5}


4. a)
bac ES obligatoire et spécialité Antilles Guyane juin 2006 - terminale : image 4


4. b) D'après 4. a), quatre couleurs suffisent pour colorer le graphe G. Donc \boxed{C=4}

4. c) D'après 4. a):
Parterre 1 les variétés : V_4, V_1 et V_7.
Parterre 2 les variétés : V_2, V_6 et V_9.
Parterre 3 les variétés : V_3, V_5 et V_10.
Parterre 4 la variété : V_8




exercice 3 - Commun à tous les candidats


1. Affirmation 2
Voir cours

2. Affirmation 3
Remarquons tout d'abord que l'inéquation n'a de sens que si 2x+1>0 \text{ et } x+3>0 donc pour x \in \left]-\dfrac{1}{2},+\infty\right[
Pour tout x \in \left]-\dfrac{1}{2},+\infty\right[ : \ln(2x+1)\ge \ln(x+3)\Longleftrightarrow 2x+1\ge x+3 (\text{ Car }\ln \text{ est croissante sur } ]0,+\infty[)\Longleftrightarrow x\ge 2

3. Affirmation 2
g'(x)=e^x+xe^x=(x+1)e^x=\boxed{f(x)}

4. Affirmation 2
2\text{e}^{0} - 3\text{e}^0 + 1=0 \\ 2\text{e}^{2\ln \frac{1}{2}} - 3\text{e}^{\ln \frac{1}{2}} + 1 = \dfrac{2}{4}-\dfrac{3}{2}+1=0

5. Affirmation 2
Voir cours

6. Affirmation 1
On a : f'(x)=\dfrac{2}{x}-3, donc: f'(1)=-1, or on calcule f(1)=1, donc: y=f'(1)(x-1)+f(1)\Leftrightarrow y=-(x-1)+1\Leftrightarrow y=-x+2

7. Affirmation 2
m=\displaystyle\dfrac{1}{2}\int_1^3(x^2+2x)dx=\dfrac{1}{2}\left[\dfrac{x^3}{3}+x^2\right]_1^3=\dfrac{1}{2}(\dfrac{27}{3}+9-\dfrac{1}{3}-1)=\dfrac{25}{3}

8. Affirmation 2
La fonction \ln est définie sur ]0,+\infty[, donc e^{\ln x}=x pour tout x appartenant à ]0,+\infty[




exercice 4 - Commun à tous les candidats

1. a) La fonction affine définie par x \mapsto 0,5x + 2 est strictement croissante sur \mathbb{R},
En composant avec la fonction exponentielle, f a les mêmes variations que la fonction affine, et f est croissante sur \mathbb{R} donc sur ]0 ; 6]
Alors :
La courbe représentative de la fonction f est celle tracée en bleu.

Et donc :
La courbe représentative de la fonction g est celle tracée en vert.


1. b) Le point A est le point d'équilibre du marché, l'offre est égale à la demande, et le prix unitaire d'offre vaut x_A, et la quantité échangée (en milliers de consoles) sur le marché à ce prix est égale à y_A.

Le point A est le point d'équilibre du marché, par lecture graphique, ses coordonnées sont x_A\approx 2,7 et y_A\approx20}


2. a) Avant de dériver g, on peut remarquer que partout où elle est définie, on a :
g(x)=10(\ln20-\ln(x)) et donc que g'x)=-\dfrac{10}{x}
Pour tout x de ]0 ; 6], h'(x)=\left(f(x)-g(x)\right)'=f'(x)-g'(x)= 0,7 \times 0,5 \text{e}^{0,5x+2} - \left(-\dfrac{10}{x}\right)= 0,35 \text{e}^{0,5x + 2} + \dfrac{10}{x}=\boxed{h'(x)}

2. b) Pour tout réel x de ]0 ; 6], 0,35e^{0,5x+2}>0 et \dfrac{10}{x}>0
Donc pour tout réel appartenant à ]0 ; 6], h'(x)>0 et :
La fonction h est strictement croissante sur ]0 ; 6]


2. c) Sur l'intervalle ]0 ; 6], la fonction h est continue et strictement croissante.
D'autre part, h(2)=0,7e^3 - 10 \ln 10 \approx -8,97 et h(3)=0,7e^{3,5}-10\ln \dfrac{20}{3}\approx 4,21
D'où h(2)h(3)<0 et on en déduit, d'après le théorème de la valeur intermédiaire :
L'équation h(x)=0 admet une solution unique x_1 sur l'intervalle [2 ; 3].

Or, avec la calculatrice, on trouve h(2,70) \approx -0,07 et h(2,71) \approx 0,06 d'où :
La valeur arrondie au dixième de x_1 est 2,7.


2. d) Le prix d'équilibre en centaines d'euros est égal à x_1 et pour ce prix, f(x_1)=g(x_1) car h(x_1)=0
À l'aide de la calculatrice nous obtenons f(2,7) \approx 19,952 ou g(2,7)\approx 20,025 d'où :
Le prix unitaire d'équilibre de cette console est de 270 euros et le nombre de consoles arrondi à la centaine disponibles à ce prix est de 20 000.


3. a)
Une primitive F de la fonction f sur l'intervalle ]0 ; 6] est définie par : F(x)=\dfrac{0,7}{0,5}e^{0,5 x+2}.
Une fonction primitive F de la fonction f définie sur l'intervalle ]0 ; 6] par F(x)=1,4e^{0,5x+2}

3. b) Représentation de l'aire :
bac ES obligatoire et spécialité Antilles Guyane juin 2006 - terminale : image 3

Calcul de S :
S=x_Ay_A-\displaystyle\int_0^{x_A}f(x)dx=x_Ay_A-\left[F(x)\right]_0^{x_A}=2,7 \times20-F(x_A)+F(0)=\boxed{54-1,4(e^{3,35}-e^2)}\approx \boxed{24,44}
Conclusion :
Le surplus des fournisseurs est de 24,44 (unités de surplus).
Publié le
ceci n'est qu'un extrait
Pour visualiser la totalité des cours vous devez vous inscrire / connecter (GRATUIT)
Inscription Gratuite se connecter
Merci à
dandave
pour avoir contribué à l'élaboration de cette fiche


Vous devez être membre accéder à ce service...

Pas encore inscrit ?

1 compte par personne, multi-compte interdit !

Ou identifiez-vous :


Rester sur la page

Inscription gratuite

Fiches en rapport

parmi 1768 fiches de maths

Désolé, votre version d'Internet Explorer est plus que périmée ! Merci de le mettre à jour ou de télécharger Firefox ou Google Chrome pour utiliser le site. Votre ordinateur vous remerciera !