Fiche de mathématiques
> >

Baccalauréat Général
Série Économique et Social
Nouvelle Calédonie - Session de remplacement 2006

Partager :
Pour les candidats ayant suivi l'enseignement de spécialité :
Durée de l'épreuve : 3 heures - Coefficient 7


L'utilisation d'une calculatrice est autorisée.
La qualité de la rédaction, la clarté et la précision des raisonnements entreront pour une part importante dans l'appréciation des copies.
4 points

exercice 1 - Commun à tous les candidats

Soit une fonction f définie sur \mathbb{R} et dérivable sur \mathbb{R}. On donne son tableau de variations :
\begin{tabvar}{|c|CCCCC|} \hline x & -\infty &  & -1 & & +\infty \\ \hline f(x) & \niveau{1}{2} -\infty & \croit & \niveau{2}{2} 3 & \decroit & \niveau{1}{2} 0 \\ \hline \end{tabvar}
La courbe (\mathcal{C}) donnée ci-après représente la fonction f dans un repère orthonormal du plan. Cette courbe passe par les points A(-3 ; 1) et B(-1 ; 3). Les droites (D) et (D') sont les tangentes à la courbe respectivement en A et en B.
Bac ES obligatoire et spécialité Nouvelle Calédonie mars 2007 - terminale : image 1

1. Déterminer graphiquement f'(-3) et f'(-1).

2. Soit g la fonction définie sur \mathbb{R} par g(x) = \text{e}^{f(x)}.
On admet que g est dérivable sur \mathbb{R}.
    a) Justifier que f et g ont les mêmes variations.
    b) Déterminer \displaystyle\lim_{x \to - \infty} g(x) et \displaystyle\lim_{x \to + \infty} g(x) (on justifiera les résultats).
    c) Calculer g'(-3).

3. Soit h la fonction définie sur l'intervalle ]-3,1 ; +\infty[ par h(x) = \ln \left[f(x)\right].
On admet que h est dérivable sur l'intervalle ]-3,1 ; +\infty[.
    a) Déterminer \displaystyle\lim_{x \to + \infty} h(x) (on justifiera le résultat).
    b) Calculer h'(-3).


5 points

exercice 2 - Candidats ayant suivi l'enseignement de spécialité

Deux joueurs A et B, amateurs de tennis, décident de jouer une partie toutes les semaines.
    La probabilité que A gagne la partie de la première semaine est 0,7.
    Si A gagne la partie de la semaine n, il garde la même stratégie de jeu la semaine suivante, et la probabilité qu'il gagne alors la partie de la semaine (n + 1) est seulement de 0,4.
    Si A perd la partie de la semaine n, il change de stratégie de jeu pour la semaine suivante, et alors, la probabilité qu'il gagne la partie de la semaine (n + 1) est de 0,9.
Pour tout entier n supérieur ou égal à 1, on désigne par A_{n} l'évènement : « A gagne la partie de la nième semaine », par B_{n} l'évènement : « B gagne la partie de la nième semaine », et on note a_{n} = p\left(\text{A}_{n}\right).
Le but de cet exercice est de rechercher la limite de la suite \left(a_{n}\right), en utilisant deux méthodes différentes.

Première méthode : graphe probabiliste

Pour tout entier naturel n non nul, on désigne par P_{n} = \left(a_{n} \quad  1 - a_{n}\right) la matrice des probabilités associée à la nième semaine.

1. Décrire cette situation à l'aide d'un graphe probabiliste, et donner la matrice M de transition associée à ce graphe.

2. On donne M^2 = \begin{pmatrix} 0,7 & 0,3 \\ 0,45 & 0,55 \end{pmatrix} et M^3 = \begin{pmatrix} 0,55 & 0,45 \\ 0,675 & 0,325 \end{pmatrix}.
Quelle est la probabilité pour que A gagne la partie de la 4ème semaine ?

3. Déterminer la matrice ligne P =  (x \quad  1 -x) telle que P \times M = P.

4. En déduire la limite de la suite \left(a_{n}\right) et interpréter le résultat obtenu.

Deuxième méthode : probabilité et suites

Dans cette deuxième partie, on ne tient pas compte de résultats démontrés dans la partie précédente.
1. a) Recopier sur votre copie l'arbre ci-dessous, et compléter l'arbre avec les 5 probabilités manquantes.
Bac ES obligatoire et spécialité Nouvelle Calédonie mars 2007 - terminale : image 2
    b) Justifier que a_{n+1} =  0,9 - 0,5 a_{n} pour tout entier n supérieur ou égal à 1.

2. On considère la suite \left(u_{n}\right) définie pour tout entier n supérieur ou égal à 1 par : u_{n} = a_{n}  - 0,6.
    a) Démontrer que \left(u_{n}\right) est une suite géométrique de raison (-0,5).
    b) En déduire l'expression de a_{n} en fonction de n, puis la limite de la suite \left(a_{n}\right).


5 points

exercice 3 - Commun à tous les candidats

Une machine produit des pièces, dont certaines sont défectueuses à cause de deux défauts possibles, le défaut D_{\text{A}} et le défaut D_{\text{B}}, à l'exclusion de tout autre défaut.

1. On a constaté que, parmi les pièces produites par la machine, 28% ont le défaut D_{\text{A}}, 37% ont le défaut D_{\text{B}}, et 10 % ont les deux défauts.
On choisit au hasard une des pièces produites par la machine. Quelle est la probabilité de tomber sur une pièce défectueuse ?

2. Dans la suite du problème on s'intéresse aux pièces défectueuses qui n'ont qu'un seul défaut.
On admet que 40 % de ces pièces ont seulement le défaut D_{\text{A}}, et que 60 % de ces pièces ont seulement le défaut D_{\text{B}}. On a constaté que 40 % des pièces qui ont le défaut D_{\text{A}} sont réparables, et que 30 % des pièces qui ont le défaut D_{\text{B}} sont réparables.
On choisit une pièce au hasard.
On note :
   A l'évènement : « La pièce a le défaut D_{\text{A}} »,
   B l'évènement : « La pièce a le défaut D_{\text{B}} »,
   R l'évènement : « La pièce est réparable ».

    a) Construire un arbre pondéré décrivant la situation

    b) Calculer la probabilité de l'évènement :
« La pièce choisie a le défaut D_{\text{A}} et est réparable ».

    c) Calculer la probabilité de l'évènement :
« La pièce choisie est réparable ».

    d) Sachant que la pièce choisie est réparable, déterminer la probabilité qu'elle ait le défaut D_{\text{A}} (le résultat sera donné sous la forme d'une fraction irréductible).

    e) à trois moments différents, on choisit au hasard une pièce parmi les pièces défectueuses qui ont un seul défaut. On suppose que ces tirages s'effectuent dans des conditions identiques et de manière indépendante.
Calculer la probabilité pour que, sur les 3 pièces choisies, exactement 2 pièces aient le défaut D_{\text{A}}.


6 points

exercice 4 - Commun à tous les candidats

Lors d'une émission télévisée, les téléspectateurs sont appelés à envoyer des messages téléphoniques par SMS, pendant une durée de 5 minutes.
Pendant ces 5 minutes, les appels arrivent de façon continue, avec un débit variable en fonction du temps. Si x est le temps exprimé en minutes, le débit, exprimé en milliers d'appels par minute, est donné par la fonction f telle que :
    f(x) = -4x^2 + 8x pour x \in [0~;~1].
    f(x) =  \ln x - x + 5 pour x \in [1~;~5].
La courbe (\mathcal{C}), représentative de la fonction f dans un repère orthonormal du plan, est donnée ci-après à titre indicatif.
On veut calculer le nombre total d'appels reçus pendant ces 5 minutes, et on admet que ce nombre d'appels est donné par \displaystyle\int_{0}^5 f(x)\:\text{d}x.

1. Démontrer que f est croissante sur [0 ; 1], et décroissante sur [1 ; 5].
2. a) Donner une primitive de la fonction f sur [0 ; 1].
    b) Calculer l'aire exprimée en unités d'aire du domaine plan limité par la courbe (\mathcal{C}), l'axe des abscisses, l'axe des ordonnées et la droite d'équation x = 1.

3. a) Soient g et G les fonctions définie sur [1 ; 5] par g(x) = \ln x et G(x) = x\ln x - x.
Montrer que G est une primitive de g sur [1 ; 5].
    b) Calculer l'aire, exprimée en unités d'aire, du domaine plan limité par la courbe (\mathcal{C}), l'axe des abscisses, et les droites d'équations x = 1 et x = 5.

4. Donner le nombre total d'appels reçus pendant ces 5 minutes.
Bac ES obligatoire et spécialité Nouvelle Calédonie mars 2007 - terminale : image 3






exercice 1 - Commun à tous les candidats

1. f'(-3) correspond au coefficient directeur de la droite (D) qui est la tangente de la courbe (\mathcal{C}) au point A(-3 ; 1).
Cette tangente admet pour vecteur directeur \vec{V}(1;2) et on obtient :
f'(-3)=\boxed{2}

La fonction f admet un maximum au point B(-1 ; 3), et la tangente en ce point est parallèle à l'axe des abscisses, on obtient : \boxed{f'(-1)=0}

2. a) On a f est croissante sur ]-\infty ; -1] et décroissante sur [-1 ; +\infty[.
Or, g'(x)=f'(x)\times \text{e}^{f(x)} ; il est immédiat que g'(x) a le même signe que f'(x)
On conclut que :
\boxed{g \text{ est croissante sur } ]-\infty;-1] \text{ et décroissante sur } [-1;+\infty[}


2. b) On a d'après le tableau de variations de f ou encore d'après la courbe (\mathcal{C}) : \displaystyle \lim_{x\to-\infty} f(x)=-\infty \text{ et } \lim_{x\to+\infty} f(x)=0
Or, \displaystyle\lim_{t\to -\infty} e^{t}=0 \text{ et }\lim_{t\to 0} e^t=1, d'où :
\boxed{\displaystyle \lim_{x\to-\infty} g(x)=0 \text{ et } \lim_{x\to 0} g(x)=1}


2. c) On a vu que : g'(x)=f'(x)e^{f(x)}
Ce qui donne : g'(-3)=f'(-3)e^{f(-3)}=2\times e^{1}=\boxed{2e}

3. a) On a \displaystyle \lim_{x\to+\infty} f(x)=0^+ \text{ et on sait que } \displaystyle \lim_{t\to 0^+} \ln t=-\infty
On en déduit que
\boxed{ \displaystyle \lim_{x\to+\infty} h(x)=-\infty}


3. b) On a pour tout x de \mathbb{R} : h'(x)=\left[\ln f(x)\right]'=\dfrac{f'(x)}{f(x)}
Alors h'(-3)=\dfrac{f'(-3)}{f(-3)}=\boxed{\dfrac{2}{1}}=2




exercice 2 - Candidats ayant suivi l'enseignement de spécialité

Première méthode : graphe probabiliste

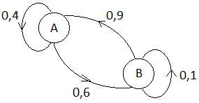
1. Graphe :
Bac ES obligatoire et spécialité Nouvelle Calédonie mars 2007 - terminale : image 7

La matrice de transition est :
M=\begin{pmatrix} 0.4&0.6\\0.9&0.1\end{pmatrix}


2. On a d'après le cours : pour tout entier n\ge 1 \text{ : } P_{n}=P_1 \times M^{n-1}
Or on sait que A gagne la partie de la première semaine est 0,7, donc P_1=\begin{pmatrix}0,7&0,3 \end{pmatrix}
Donc L'état probabiliste la 4ème semaine est : P_4=P_1\times M^3=\begin{pmatrix}0,7&0,3 \end{pmatrix} \begin{pmatrix} 0,55 & 0,45 \\ 0,675 & 0,325 \end{pmatrix}=\boxed{\begin{pmatrix}0,5875&0,4125\end{pmatrix}}
Conclusion :
La probabilité pour que A gagne la partie de la 4ème semaine est égale à 0,587.


3. P=PM\Longleftrightarrow \begin{pmatrix} x & 1-x\end{pmatrix}=\begin{pmatrix} x & 1-x\end{pmatrix}\begin{pmatrix} 0,4&0,6\\0,9&0,1\end{pmatrix}\Longleftrightarrow \begin{pmatrix} x & 1-x\end{pmatrix}=\begin{pmatrix} 0,9-0,5x&0,1+0,5x\end{pmatrix}\Longleftrightarrow\boxed{x=0,6}
Conclusion :
\boxed{P=\begin{pmatrix}0,6 & 0,4\end{pmatrix}}


4. M ne comportant pas de 0, P_n converge vers P et donc :
\boxed{\displaystyle \lim_{n\to +\infty} a_n= 0.6}

La probabilité que le joueur A gagne sera égale à 0,6 après plusieurs semaines.


Deuxième méthode : probabilité et suites

1. a)
Bac ES obligatoire et spécialité Nouvelle Calédonie mars 2007 - terminale : image 5


1. b) On a pour tout entier n\ge 1 :
\begin{matrix} a_{n+1}&=&P(A_{n+1})\\&=&P(A_{n+1}\cap A_n)+P(A_{n+1}\cap B_n)\\&=& P_{A_n}(A_{n+1}) P(A_n)+P_{B_n}(A_{n+1}) P(B_n)\\&=&0,4 a_n+0,9(1-a_n)\\&=&\boxed{0,9-0,5a_n}\end{matrix}

2. a) Il s'agit de démontrer que pour tout entier n\ge 1 \text{ : } u_{n+1}=-0,5u_n
Pour tout entier n\ge 1 :
\begin{matrix} u_{n+1}&=&a_{n+1}-0,6\\&=&0,9 - 0,5 a_{n} -0,6\\&=&0,3 - 0,5 a_{n}\\&=&0,3-0,5(u_{n}+0,6)\\&=&0,3-0,5u_n-0,3\\&=&\boxed{-0,5u_n}\end{matrix}

2. b) On a pour tout entier n \ge 1 : u_n=u_1(-0,5)^{n-1}=(0,7-0,6)(-0,5)^{n-1}=\boxed{0,1(-0,5)^{n-1}}
La limite : En sachant que |-0,5|=0,5<1, alors : (u_n) converge vers 0.
Il en découle : \displaystyle\lim_{n\to +\infty} a_n=\lim_{n\to +\infty} u_n+0,6=\boxed{0,6}




exercice 3 - Commun à tous les candidats

1. P(A\cup B)=P(A)+P(B)-P(A\cap B)=0,28+0,37-0,1=\boxed{0,55}

2. a)
Bac ES obligatoire et spécialité Nouvelle Calédonie mars 2007 - terminale : image 6


2. b) P(A\cap R)=P_A(R)P(A)=0,4\times 0,4=\boxed{0,16}

2. c) P(R)=P(A\cap R)+P(B\cap R)=P(A\cap R)+P_B(R)P(B)=0,16+0,3\times 0,6=\boxed{0,34}

2. d) P_R(A)=\dfrac{P(A\cap R)}{P(A)}=\dfrac{0,16}{0,34}=\boxed{\dfrac{8}{17}}

2. e) Il s'agit d'un schéma de Bernoulli de paramètres p=0,4 et n=3
Pour l'événement "Exactement 2 pièces ont le défaut DA", la probabilité est :
P = \displaystyle {3 \choose 2} (0,4)^2(0,6)^1=\boxed{0,288}




exercice 4 - Commun à tous les candidats

1. Pour x \in [0 ; 1] on sait que : f(x) = -4x^2 + 8x
Pour tout x de [0 ; 1] , f'(x)=-8x+8=8(1-x)
On a : x\le 1\Longrightarrow 8(1-x)\ge 0\Longrightarrow\boxed{f'(x)\ge 0}
Conclusion :
f est croissante sur [0 ; 1].

D'autre part on a f(x) =  \ln x - x + 5 pour x \in [1 ; 5]
Pour tout x de [1 ; 5] : f'(x)=\dfrac{1}{x}-1=\boxed{\dfrac{1-x}{x}}
Le signe de f'(x) est celui de 1-x, or x étant supérieur à 1, il s'ensuit directement f'(x)\le 0
Conclusion :
f est décroissante sur [1 ; 5].


2. a) Pour x de [0 ; 1], en notant F une primitive de f sur cet intervalle, on a :
\boxed{F(x)=-\dfrac{4}{3}x^3+4x^2}


2. b) La courbe de la fonction f sur [0 ; 1] est au-dessus de l'axe des abscisses, l'aire exprimée en unités d'aire du domaine plan limité par la courbe (\mathcal{C}), l'axe des abscisses, l'axe des ordonnées et la droite d'équation x = 1 est :
\displaystyle\int_0^1 f(x)dx=\left[F(x)\right]_0^1=F(1)-F(0)=-\dfrac{4}{3}+4=\boxed{\dfrac{8}{3} \text{ (u.a)}}

3. a) Soit x de [1 ; 5] : G'(x)=\left(x\ln x-x\right)'=\lnx+1-1=\ln x=\boxed{g(x)}
On en déduit :
G est une primitive de g sur [1 ; 5].


3. b) La courbe de la fonction f sur [1 ; 5] est au-dessus de l'axe des abscisses, alors l'aire exprimée en unités d'aire du domaine plan limité par la courbe (\mathcal{C}), l'axe des abscisses, la droite d'équation x = 1 et celle d'équation x=5 est :
\displaystyle\int_1^5 f(x)dx=\int_1^5\ln x-x+5 dx=\int_1^5 g(x) -x+5 dx= [G(x)-\dfrac{x^2}{2}+5x]_1^5=5\ln5-5+1-\dfrac{25}{2}+25 +\dfrac{1}{2}-5=\boxed{5\ln 5+4\text{ (u.a)}}

4. Le nombre d'appels est donné par \displaystyle\int_{0}^5 f(x)\:\text{d}x
Donc : \displaystyle\int_{0}^5 f(x)\:\text{d}x=\displaystyle\int_{0}^1 f(x)\:\text{d}x+\displaystyle\int_{1}^5 f(x)\:\text{d}x= \boxed{\dfrac{8}{3}+5\ln 5+4\approx 14,714}
Le nombre d'appels reçus pendant ces 5 minutes est d'environ 14 714.
Publié le
ceci n'est qu'un extrait
Pour visualiser la totalité des cours vous devez vous inscrire / connecter (GRATUIT)
Inscription Gratuite se connecter
Merci à
dandave
pour avoir contribué à l'élaboration de cette fiche


Vous devez être membre accéder à ce service...

Pas encore inscrit ?

1 compte par personne, multi-compte interdit !

Ou identifiez-vous :


Rester sur la page

Inscription gratuite

Fiches en rapport

parmi 1760 fiches de maths

Désolé, votre version d'Internet Explorer est plus que périmée ! Merci de le mettre à jour ou de télécharger Firefox ou Google Chrome pour utiliser le site. Votre ordinateur vous remerciera !